Sangat Membantu

Ayo Kita Berlatih 34 Matematika Kelas 7


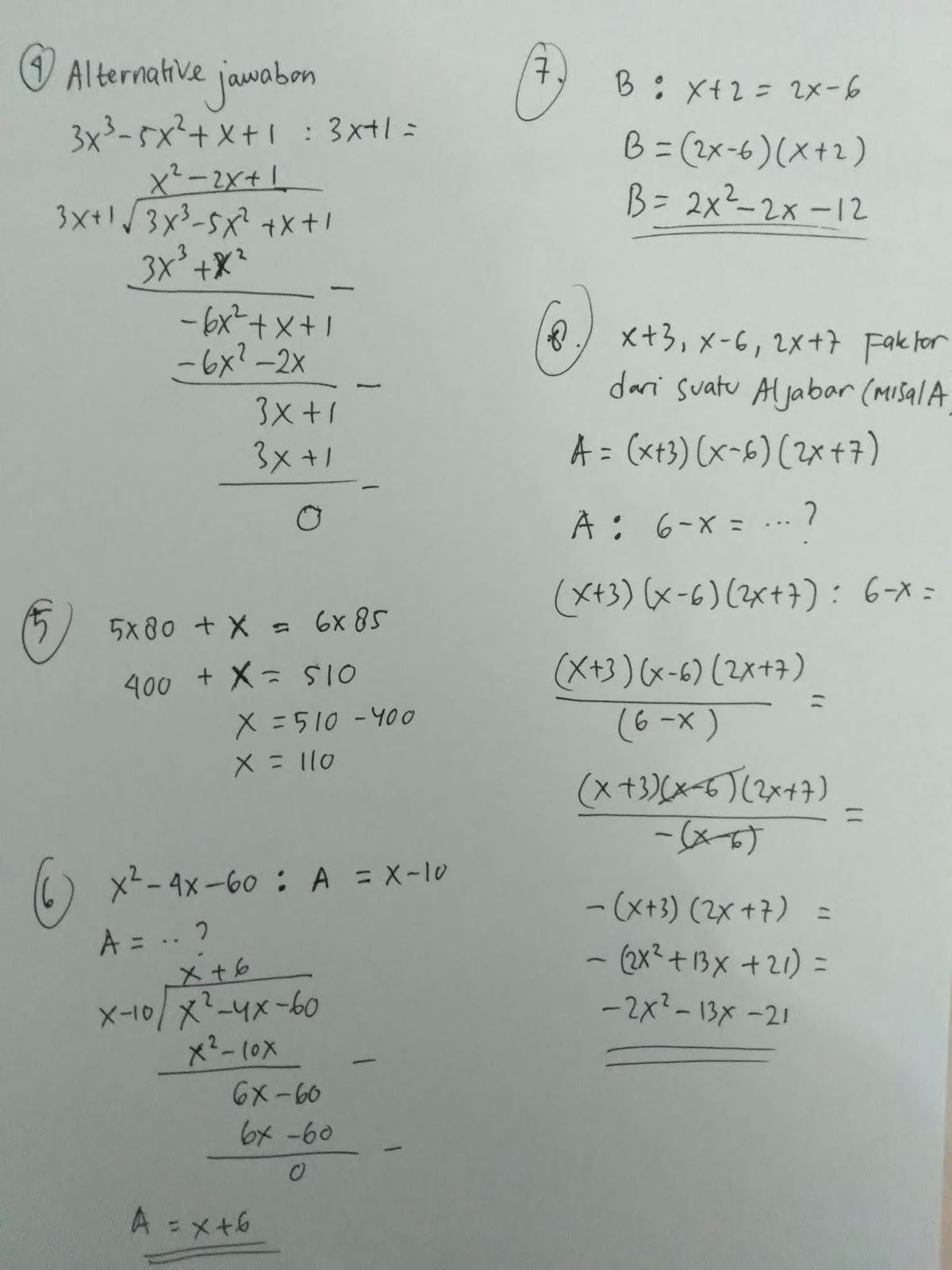
Ayo Kita Berlatih 3 4 Hlm 231 Kls 7 Brainly Co Id
brainly.co.id

Jawaban Ayo Kita Berlatih 9 3 Halaman 253 Matematika Kelas 8 Statistika Bastechinfo
www.bastechinfo.com

Kelas I Buku Tema 2 Bg Pages 151 184 Text Version Fliphtml5
fliphtml5.com

Kelas Vii Matematika Bs Sem 1
www.slideshare.net

Kelas Vii Matematika Bg
www.slideshare.net

Tentukan Hasil Bagi A 12x3 4x2 Oleh 2x2 B X2 5x 6 Oleh X 2 C 2x2 X 10 Oleh X 2 D Brainly Co Id
brainly.co.id

Contoh Soal Aljabar Kelas 7 Brainly Contoh Soal Pelajaran Anak Sd
contoahsoalpelajaransd.blogspot.com

Uji Kompetensi 4 Esai No 6 11 Mat Kelas 8 Bab 4 Persamaan Garis Lurus By Bu And Channel
cyberspaceandtime.com

Jawaban Esai Ayo Kita Berlatih 7 4 Halaman 104 Matematika Kelas 8 Lingkaran Bastechinfo
www.bastechinfo.com

Ruang Belajar Siswa Kelas 1 Contoh Soal Aljabar Kelas 7 Brainly
contohpidatodansoallengkap10.blogspot.com

Jawaban Latihan Mtk Hlm 114 Ayo Kita Berlatih 3 3 Kelas 8 Semester 1 K 13 Brainly Co Id
brainly.co.id

Jawaban Tugas Seni Budaya Kelas 8 Halaman 124 Guru Ilmu Sosial
www.ilmusosial.id

Buku Guru K 13 Revisi 2016 Kelas 7 Smpmts Matematika
www.yumpu.com

Ayo Kita Berlatih 3 4 Kelas 7 Brainly Co Id
brainly.co.id

Jawaban Buku Lks Ipa Kelas 7 Semester 2 Kurikulum 2013 Guru Ilmu Sosial
www.ilmusosial.id

Tolong Bantu Dijawab Ayo Kita Berlatih 3 3 Matematika Brainly Co Id
brainly.co.id

Kunci Jawaban Matematika Kelas 8 Halaman 64 Ayo Kita Berlatih 2 3 Kosingkat
www.kosingkat.id

Buku Matematika Kelas 7 Revisi 2016 Semester 1
id.scribd.com

Kunci Jawaban Matematika Kelas 7 Halaman 75 Ayo Kita Berlatih 6 1 Kosingkat
www.kosingkat.id

Buku Guru K 13 Revisi 2016 Kelas 7 Smpmts Matematika
www.yumpu.com

Kelas 7 Aljabar Ayo Kita Berlatih 3 4 By Un Petit Dejeuner86
cyberspaceandtime.com

Ayo Kita Berlatih 3 3 Mtk Kelas 8 K13 No 1 5 Youtube
m.youtube.com

Kelas Vii Matematika Bs Sem 1
www.slideshare.net

Kkueyhdw0mbi1m

Matematika Hal 230 Ayo Kita Mencoba No 1 Amp 2 Hal 231 Ayo Kita Berlatih 3 4 No 1 Pake Cara Brainly Co Id
brainly.co.id

Kunci Jawaban Matematika Kelas 8 Halaman 52 Ayo Kita Berlatih 2 1 Kosingkat
www.kosingkat.id

Jawaban Pg Uji Kompetensi Bab 2 Matematika Kelas 8 Halaman 66 Koordinat Kartesius Bastechinfo
www.bastechinfo.com

Matematika Kelas 7 Hal 231 Berlatih 3 4 Jawabannya Apa Ya Terimakasih Brainly Co Id
brainly.co.id

Jawaban Ayo Kita Berlatih 3 4 Buku Paket Kelas Vii Brainly Co Id
brainly.co.id

Jawaban Ayo Kita Berlatih 3 4 Halaman 124 Matematika Kelas 8 Relasi Dan Fungsi Belajar 84 Belajarlagi
belajar84belajarlagi.blogspot.com

Kelas 08 Smp Matematika S1 Siswa 2017 By P E Thea Issuu
issuu.com

Jawaban Buku Matematika Kelas 8 Ayo Kita Berlatih 3 4 Hal 124 125 Diantara Diagram Panah Pentium Sintesi
pentiumsintesi.blogspot.com

Flj5swdxem4rgm

Buku Siswa Kelas 8 Mm Smt 1
www.slideshare.net

Buku Siswa Kelas 8 Mm Smt 1
www.slideshare.net

Ayo Kita Berlatih 3 4 Matematika Smp Kelas 7 K13 Matei Aljabar By Matematika Danlajanto
cyberspaceandtime.com

Ayo Kita Berlatih 3 4 Nomor 1 2 3 4 Kelas 7 Smp Mts Aljabar Mtk Paket Bse Halaman 231 Youtube
www.youtube.com

Matematika Ayo Kita Berlatih 3 3 Kelas 8 Revisi 2017 Brainly Co Id
brainly.co.id

Ayo Kita Berlatih 3 4 Hlm 231 Kls 7 Brainly Co Id
brainly.co.id

Bahasa Indonesia Kelas Vii Smp Mts 2016 P K
www.slideshare.net

Kelas Vii Matematika Bs Sem 1
www.slideshare.net

Pembahasan Ayo Kita Berlatih 2 3 Matematika Kelas 7 Bab Himpunan K13 Kedai Mipa
www.allmipa.com

Buku Siswa Kelas Vii Matematika Pdf
id.scribd.com

Kunci Jawaban Matematika Kelas 7 Halaman 10 11 12 Ayo Kita Berlatih 5 1 Kosingkat
www.kosingkat.id

Buku Guru K 13 Revisi 2016 Kelas 7 Smpmts Matematika
www.yumpu.com

Jawaban Ayo Kita Berlatih 3 4 Halaman 124 Matematika Kelas 8 Relasi Dan Fungsi Bastechinfo
www.bastechinfo.com

Jawaban Buku Paket Seni Budaya Kelas 8 Halaman 124 Guru Ilmu Sosial
www.ilmusosial.id

Jawaban Ayo Kita Berlatih 8 1 Halaman 191 Matematika Kelas 7 Segiempat Dan Segitiga Bastechinfo
www.bastechinfo.com

Jawaban Buku Siswa Matematika Kelas 9 Latihan 3 4 Dilatasi Pentium Sintesi
pentiumsintesi.blogspot.com

Kunci Jawaban Matematika Kelas 7 Kurikulum 2013 Edisi Revisi 2016 Guru Ilmu Sosial
www.ilmusosial.id

Jawaban Ayo Kita Berlatih 4 4 Halaman 167 Matematika Kelas 8 Persamaan Garis Lurus Bastechinfo
www.bastechinfo.com

Kelas 8 Relasi Dan Fungsi Ayo Kita Berlatih 3 4 Youtube
www.youtube.com

Kunci Jawaban Matematika Kelas 7 Halaman 28 31 Ayo Kita Berlatih 5 3 Kosingkat
www.kosingkat.id

Ayo Kita Berlatih 3 4 Nomor 5 6 7 8 9 Kelas 7 Smp Mts Aljabar Mtk Paket Bse Halaman 231 Youtube
www.youtube.com

Ayo Kita Kita Berlatih 8 2 Tolong Jawab Ya Brainly Co Id
brainly.co.id

Kunci Jawaban Matematika Kelas 7 Halaman 48 49 Ayo Kita Berlatih 5 5 Kosingkat
www.kosingkat.id

Ayo Kita Berlatih 3 4 Hlm 231 Kls 7 Brainly Co Id
brainly.co.id

Doc Rpp Bentuk Aljabar Docx Emilia Gentini Academia Edu
www.academia.edu

Kunci Jawaban Matematika Kelas 7 Halaman 76 Ayo Kita Berlatih 6 1 Kosingkat
www.kosingkat.id

Https Bsd Pendidikan Id Data 2013 Kelas 7smp Guru Kelas 07 Smp Matematika Guru 2017 Pdf

Kunci Jawaban Matematika Kelas 8 Halaman 124 125 Ayo Kita Berlatih 3 4 Kosingkat
www.kosingkat.id

Kunci Jawaban Matematika Kelas 8 Halaman 56 57 Ayo Kita Berlatih 2 2 Kosingkat
www.kosingkat.id

Buku Guru K 13 Revisi 2016 Kelas 7 Smpmts Matematika
www.yumpu.com

Vbufohllcgtdbm

Kelas 7 Aljabar Ayo Kita Berlatih 3 4 Youtube
www.youtube.com

Ayo Kita Berlatih 3 4 Matematika Kelas 7 Bse K13 Rev 2016 Bentuk Aljabar Pembagian Youtube
www.youtube.com

Kunci Jawaban Matematika Kelas 8 Halaman 124 125 Ayo Kita Berlatih 3 4 Kosingkat
www.kosingkat.id

Jawaban Ayo Kita Berlatih 9 4 Halaman 260 Matematika Kelas 8 Statiska Bastechinfo
www.bastechinfo.com

Kelas Vii Matematika Bs Semester 1 Isi Database Dadang Jsn Pages 151 200 Flip Pdf Download Fliphtml5
fliphtml5.com

Buku Siswa Kelas 8 Mm Smt 1
www.slideshare.net

Amwh7chxmhw9bm

Kelas Vii Matematika Bs Sem 1
www.slideshare.net

Https Bsd Pendidikan Id Data 2013 Kelas 7smp Guru Kelas 07 Smp Matematika Guru 2016 Pdf

Koresponden Satu Satu Relasi Dan Fungsi Matematika Kelas 8 Bse K13 Rev 2017 Lat 3 4 No 1 K1 1 Youtube
www.youtube.com

Kelas Vii Matematika Bs Sem 1
www.slideshare.net

Kunci Jawaban Matematika Kelas 8 Halaman 52 Ayo Kita Berlatih 2 1 Kosingkat
www.kosingkat.id

Ayo Kita Berlatih 3 4 Hal 231 No 1 Aja A E Brainly Co Id
brainly.co.id

Kelas 08 Smp Matematika S1 Siswa 2017 By P E Thea Issuu
issuu.com

Kelas Vii Matematika Bs Semester 1 Isi Database Dadang Jsn Pages 151 200 Flip Pdf Download Fliphtml5
fliphtml5.com

Buku Siswa Kelas 8 Matematika New Compressed Pages 1 50 Text Version Anyflip
anyflip.com

Pdf Buku Kurikulum 2013 Matematika Kelas Vii Buku Guru Tejo Susiratmoko Academia Edu
www.academia.edu

Ayo Kita Berlatih 3 4 Matematika Kelas 7 Bse K13 Rev 2016 Bentuk Aljabar Pembagian By Insight Chamber
cyberspaceandtime.com

Kunci Jawaban Matematika Kelas 7 Halaman 28 31 Ayo Kita Berlatih 5 3 Kosingkat
www.kosingkat.id

Ayo Kita Berlatih 4 4 Mtk Kelas 7 No 2 Brainly Co Id
brainly.co.id

Jawaban Pg Ayo Kita Berlatih 1 5 Halaman 61 Mtk Kelas 7 Bilangan Belajar Belajar Wirausaha
belajar322.blogspot.com

Ayo Kita Berlatih 2 1 Matematika Kelas 8 Semester Brainly Co Id
brainly.co.id

Jawaban Pg Uji Kompetensi Semester 2 Halaman 339 Matematika Kelas 7 Bastechinfo
www.bastechinfo.com

Ayo Kita Berlatih 3 4 Matematika Kelas 7 Bse K13 Rev 2016 Bentuk Aljabar Pembagian Youtube
www.youtube.com

Ayo Kita Berlatih 3 4 Hal 231 No 1 Aja A E Brainly Co Id
brainly.co.id

Kelas Vii Matematika Bs Semester 1 Isi Database Dadang Jsn Pages 151 200 Flip Pdf Download Fliphtml5
fliphtml5.com

Soal Dan Jawaban Ayo Berlatih 3 4 Aljabar Matematika Kelas 7 Halaman 231 232 M4thguru
www.m4thguru.info

Kunci Jawaban Matematika Kelas 8 Halaman 165 166 Ayo Kita Berlatih 8 4 Kosingkat
www.kosingkat.id

Kunci Jawaban Matematika Kelas 7 Halaman 28 31 Ayo Kita Berlatih 5 3 Kosingkat
www.kosingkat.id

Kunci Jawaban Matematika Kelas 7 Halaman 10 Ayo Kita Berlatih 1 1 Kosingkat
www.kosingkat.id

Jawaban Ayo Kita Berlatih 3 4 Buku Paket Kelas Vii Brainly Co Id
brainly.co.id

Kelas Vii Matematika Bs Sem 1 Pdf Document
fdokumen.com

Kunci Jawaban Matematika Kelas 7 Halaman 90 91 Ayo Kita Berlatih 6 3 Kosingkat
www.kosingkat.id

Jawaban Buku Matematika Kelas 8 Ayo Kita Berlatih 3 1 Hal 86 88 Relasi Yang Dapat Dibuat Dari Pentium Sintesi
pentiumsintesi.blogspot.com

Ayo Kita Berlatih 3 4 No 1 4 Matematika Kelas 8 Bab 3 Relasi Dan Fungsi Youtube
m.youtube.com

Kunci Jawaban Matematika Kelas 7 Halaman 12 13 Ayo Kita Berlatih 5 1 Kosingkat
www.kosingkat.id

close