Sangat Membantu

Ayunan Sederhana Fisika


Lks Ayunan Sederhana
id.scribd.com

Catatan Gaya Pemulih Pada Ayunan Matematis
golengku.blogspot.com

Praktik Ayunan
www.yumpu.com

Https Encrypted Tbn0 Gstatic Com Images Q Tbn 3aand9gcskwtxhc4dte0ibt4ruw8 Mo4leezbcjqs98smsqwc Usqp Cau
encrypted-tbn0.gstatic.com

Tugas Kuliah Fisika Dasar I Bandul Sederhana Younie S Kingdom
yunikemath28.wordpress.com

Macam Macam Getaran Pengertian Rumus Contoh Soalnya Lengkap
seputarilmu.com

Laporan Praktikum Fisika Ayunan Sederhana
id.scribd.com

Pengukur Percepatan Gravitasi Menggunakan Gerak Harmonik Sederhana Metode Bandul Pdf Download Gratis
docplayer.info

Ayunan Sederhana
www.slideshare.net

Laoran Praktikum Ayunan Sederhana
pdfslide.net

Praktikum Ayunan Sederhana Xi Ia 3 Smansasoo Wmv Youtube
www.youtube.com

Ruang Fisika Cara Mendapatkan Rumus Periode Frekuensi Ayunan Sederhana
ruangfisika97.blogspot.com

Ayunan Sederhana Pendulum Ayo Sekolah Fisika
www.ayo-sekolahfisika.com

Laporan Fisika Ayunan Sederhana
dokumen.tips

Sebuah Ayunan Sederhana Terbuat Dari Bandul Bermassa 0 3 Kg Yang Diikat Seutas Tali Yang Panjangnya Brainly Co Id
brainly.co.id

Getaran Harmonik Pengertian Syarat Rumus Dan Contoh Soal
www.gurupendidikan.co.id

Contoh Laporan Praktikum Percepatan Gravitasi Bumi Inigema Com
www.inigema.com

Laporan Fisika Bandul Sederhana
id.scribd.com

Fisika Prigell Priya Ragil Page 5
4ntz.mlblogs.com

Ayunan Sederhana1 Doc I Topik Ayunan Sederhana Ii Tujuan 1 Menentukan Hubungan Antara Panjang Tali Dengan Periode Getaran 2 Menentukan Antara Panjang Course Hero
www.coursehero.com

Ringkasan Mata Pelajaran Laporan Percobaan Ayunan Sederhana Praktik Sma
ringkasanmapel.blogspot.com

Ayunan Bandul Matematis Docx Docx Document
fdokumen.com

Ayunan Yang Mempunyai Periode Dan Frekuensi Terbesar Berturut Turut Adalah A S Dan P B P Dan Brainly Co Id
brainly.co.id

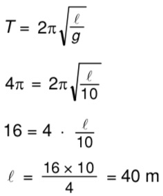
Suatu Ayunan Sederhana Memiliki Periode 4p Sekon Di Suatu Tempat Yang Gravitasinya 10 M S2 Mas Dayat
www.masdayat.net

Pdf Percobaan Osilasi Bandul Fisis Bentuk Sederhana Sebagai Tugas Proyek Penelitian Pada Materi Momen Inersia Di Sma
www.researchgate.net

Modul Praktikum Kelas X Sma Semester Genap Pages 101 121 Text Version Anyflip
anyflip.com

Modul 3 Periode Bandul Revisi Pdf Modul Praktikum Fisika Dasar 1 Modul 3 Osilasi Bandul Dan Percepatan Gravitasi Bumi Penyusun Tim Fisika Dasar Course Hero
www.coursehero.com

Laporan Praktikum Fisika Elastisitas Pegas Indeks Bias Gelas Dan Ayunan Sederhana Pdf Document
fdokumen.com

Getaran Ayunan Bandul Youtube
www.youtube.com

2

Faktor Yang Mempengaruhi Periode Dan Frekuensi Ayunan Idschool
idschool.net

11 Getaran Harmonik
id.123dok.com

Laporan Praktikum Bandul Matematis Hajar Fisika
www.hajarfisika.com

Jurnal Online Uin Raden Fatah Palembang
jurnal.radenfatah.ac.id

Laporan Praktek Fisika Bandul Ayunan
id.scribd.com

Https Encrypted Tbn0 Gstatic Com Images Q Tbn 3aand9gcsjaipmpxckiu Nt08vgtg4wpsdea9s2gwtkw Usqp Cau

Pendulum Bandul Matematis 3 Jenis 50 100 150 Gr Ayunan Bandul Sederhana Bola Bulat Getaran Circel Ba Shopee Indonesia
shopee.co.id

2

Contoh Soal Fisika Ayunan
melatiiputiih.blogspot.com

Praktikum Pdf Ayunan Sederhana
www.slideshare.net

Gerak Harmonik Sederhana Lovecappucino S Blog
lovecappucino.wordpress.com

Gerak Harmonik Sederhana Wikipedia Bahasa Indonesia Ensiklopedia Bebas
id.wikipedia.org

Rumus Getaran Harmonik Ayunan Sederhana
rumushitung.com

Gerak Harmonik Pengertian Rumus Dan Bentuk Gerak Harmonik Sederhana Pelajaran Sekolah Online
www.pelajaran.co.id

Suatu Bandul Sederhana Dengan Panjang Tali Ayunan 1 2 M Bergetar Pada Tempat Dimana G 10 M S Brainly Co Id
brainly.co.id

Bandul Matematis Pdf Entwist S Blog
entwist.hatenablog.com

Ayunan Bandul Sederhana
www.scribd.com

Doc Ayunan Dan Percepatan Gravitasi Riza Ibnu Fajar Academia Edu
www.academia.edu

1
encrypted-tbn0.gstatic.com

Laporan Fisika
dokumen.tips

Praktikum Fisika Ayunan Sederhana Alif Pustaka
www.alifpustaka.com

Ayunan Konis Rumus Periode Kecepatan Percepatan Sentripetal Tegangan Tali Contoh Soal Dan Pembahasan Fisikabc
www.fisikabc.com

Cara Menghitung Frekuensi Dan Periode Getaran Benda Matra Pendidikan
www.matrapendidikan.com

Doc Bandul Nur Arizkah Nur Arizkah Academia Edu
www.academia.edu

Materi Fisika Kelas 12 Bab 1 Gerak Harmonik Pramita Khaerunisa
khaerunisapramitapti.wordpress.com

Contoh Soal Bandul Sederhana Pendulum Sederhana Gurumuda Net
gurumuda.net

Faktor Yang Mempengaruhi Periode Dan Frekuensi Ayunan Idschool
idschool.net

Praktikum Ipa Fisika Ayunan Sederhana Kelas 8 Smp Roudlotus Sholihin Pucuk
www.smp-roudlotussholihin.sch.id

Laporan Ayunan Sederhana
www.slideshare.net

Pengertian Getaran Getaran Pegas Vertikal Dan Getaran Ayunan Sederhana
www.materikelasipa.net

Pdf Optimalisasi Bandul Matematis Menggunakan Tracker Dalam Penentuan Perubahan Percepatan Gravitasi Permukaan Bumi G Akibat Gerhana Matahari Sebagian Gms 9 Maret 2016
www.researchgate.net

10 Soal Getaran Harmonik Gerak Harmonis Sederhana Pembahasan
soalkimia.com

Https Encrypted Tbn0 Gstatic Com Images Q Tbn 3aand9gcrj5fq4cwnodzeqqu6baltsxcbkvgwrkx8i2g Usqp Cau

Super Sale Pendulum Bandul Matematis 150 Gr Ayunan Bandul Sederhana Bola Bulat Ready Stock Shopee Indonesia
shopee.co.id

Laporan Fisika Ayunan Sederhana
www.slideshare.net

Rumus Osilasi Beserta Dengan Pengertian Dan Contoh Soalnya
rumus.co.id

Getaran Ayunan Sederhana Ppt Download
slideplayer.info

Sebuah Ayunan Bandul Sederhana Membuat 30 Ayunan Dalam 1 Menit
pdfslide.tips

Doc Laporan Praktikum Fisika Ayunan Sederhana Makalah Dearanny Gita Putri Academia Edu
www.academia.edu

Ayunan Sederhana
dokumen.tips

Ayunan Doc Document
vdocuments.site

Rumus Periode Dan Frekuensi Pada Ayunan Dan Pegas Idschool
idschool.net

Fisika Siswa Periode Dan Frekuensi Pada Ayunan Sederhana
prima.fisikasiswa.com

Getaran Ayunan Sederhana Ppt Download
slideplayer.info

Prolog Materi Prinsip Dan Rumus Gerak Harmonik Sederhana Bandul Zenius Net
www.zenius.net

Http Lecturer Ppns Ac Id Ente Wp Content Uploads Sites 64 2019 09 Modul Praktikum Fisika Terapan 2019 Pdf

Laporan Fisika Ayunan Sederhana
www.slideshare.net

Rumus Periode Dan Frekuensi Pada Ayunan Dan Pegas Idschool
idschool.net

Jual Ayunan Bandul Murah Harga Terbaru 2020
www.tokopedia.com

Silabus Fisika Smk Kelas Xi Mega Anggrek 05 07
studylibid.com

Dokumen Bandul 1 Docx
id.123dok.com

Https Encrypted Tbn0 Gstatic Com Images Q Tbn 3aand9gctdwdiol Pku72vodyfqmgqprj Fafzlxvyjw Usqp Cau

Ayunan Bandul
www.slideshare.net

Pdf Laporan Bandul Herayanti Yusuf Academia Edu
www.academia.edu

Gerak Harmonik Sederhana Makalah Pengertian Teori Contoh
materibelajar.co.id

Praktikum Fisika Ayunan Sederhana
id.scribd.com

Alat Peraga Fisika Ayunan Bandul Youtube
www.youtube.com

Ayunan Sederhana
www.slideshare.net

Getaran Ayunan Sederhana Ppt Download
slideplayer.info

Rumus Getaran Harmonik Ayunan Sederhana
rumushitung.com

Bandul Wikipedia Bahasa Indonesia Ensiklopedia Bebas
id.wikipedia.org

Ayunan Sederhana1 Doc
pdfslide.tips

Soal Dan Penyelesaian Ayunan Sederhana Bandul Ayo Sekolah Fisika
www.ayo-sekolahfisika.com

Doc Ayunan Sederhana Nadiyah Dia Academia Edu
www.academia.edu

Praktikum Fisika Semster I
www.slideshare.net

Praktikum Ipa Fisika Ayunan Sederhana Kelas 8 Smp Roudlotus Sholihin Pucuk
www.smp-roudlotussholihin.sch.id

Sebuah Ayunan Bandul Sederhana Memiliki Panjang Tali 64 Cm Dan Massa Beban 0 1 Kg Saat Beban Mas Dayat
www.masdayat.net

Sistem Ayunan Bandul Sederhana Fisika Sekolah
www.fisikasekolah.com

Ujian Praktek Fisika Kelas 12 Sederhana Guru Ilmu Sosial
www.ilmusosial.id

Getaran Ayunan Bandul Youtube
www.youtube.com

Rumus Getaran Harmonik Ayunan Sederhana
rumushitung.com

Sifat Elastisas Bahan Persamaan Gerak Harmonik Hukum Hooke Pegas Gaya Pemulih Ayunan Periode Frekuensi Fase Sudut
www.nafiun.com

close