Sangat Membantu

Bagaimana Hubungan Pembilang Dan Penyebut Pada Pecahan Senilai


Cara Mengerjakan Bilangan Pecahan Lebih Besar Atau Lebih Kecil Guru Ilmu Sosial
www.ilmusosial.id

Pengertian Dan Cara Menentukan Pecahan Senilai
mafia.mafiaol.com

Pembelajaran 2 Tema 2 Subtema 2 Manfaat Energi
www.nidokna.com

Bilangan Pecahan
www.slideshare.net

Pecahan Senilai Dan Cara Menentukan Pecahan Senilai Tips Belajar Matematika
www.tipsbelajarmatematika.com

Cara Menyatakan Hubungan Antara Dua Pecahan
mafia.mafiaol.com

Pengertian Dan Konsepsi Dari Pecahan Pecahan Senilai Menyamakan Penyebut Membandingkan Pecahan Dan Operasi Pecahan Solusimatika Sd
solusimatikasd.blogspot.com

Bagaimana Hubungan Antara Pembilang Dan Penyebut Pada Pecahan Senilai Trimakasih Brainly Co Id
brainly.co.id

Hubungan Antar Pecahan Dan Latihan Soal Pages 1 11 Flip Pdf Download Fliphtml5
fliphtml5.com

Pecahan Pengertian Hubungan Jenis Operasi Edura Blog
www.edura.id

Kk Tolong Di Jawab Ya Kk Dan Teman2 Ku Yg Pintar Plisss Di Jawab 1 2 3 4 Itu Di Kerjakan Pliss Di Brainly Co Id
brainly.co.id

Kunci Jawaban Halaman 59 60 61 63 64 65 66 67 Buku Tematik Kelas 4 Tema 2 Pembelajaran 2 Subtema 2 Halaman All Tribun Ternate
ternate.tribunnews.com

Pelajaran Matematika Pintar 2
mapelmatematikapintar.blogspot.com

Pengertian Dan Cara Menentukan Pecahan Senilai
mafia.mafiaol.com

Penjumlahan Pecahan Pendidikan Matematika
yos3prens.wordpress.com

Rpp Mapel Matematika K4 S1
docs.google.com

Pecahan Senilai Halaman 63 66 Heart Id
heart.lezzat.id

Cara Menentukan Pecahan Yang Nilainya Di Antara 2 Pecahan Contoh Soal Dan Pembahasan Materi Smp Blog Mtk Smp
math4junior.blogspot.com

Konsep Ilmu Pendidikan Kampus Makalah Meningkatkan Minat Belajar Siswa Untuk Materi Pecahan Melalui Media Pembelajaran Domino Matematika
kiseriotamatematika.blogspot.com

Rpp Mapel Matematika K4 S1
docs.google.com

Pecahan
www.slideshare.net

Pecahan Senilai Halaman 63 66 Heart Id
heart.lezzat.id

Tolong Dijawab Perhatikan Tiap2 Kesamaan Misalkan 1 Per 2 2 Per 4 1 Per 3 2 Per 6 Bagaimana Brainly Co Id
brainly.co.id

Pengertian Dan Konsepsi Dari Pecahan Pecahan Senilai Menyamakan Penyebut Membandingkan Pecahan Dan Operasi Pecahan Solusimatika Sd
solusimatikasd.blogspot.com

Https Encrypted Tbn0 Gstatic Com Images Q Tbn 3aand9gcsd8mczwv99unsk9niuyk9 6abnikb8 0ko5hnk6fjpuq S0ftv Usqp Cau
encrypted-tbn0.gstatic.com

Kunci Jawaban Tema 2 Kelas 4 Halaman 63 64 65 66 67 Buku Tematik Subtema 2 Pembelajaran 2 Halaman 2 Tribun Padang
padang.tribunnews.com

Pengertian Dan Konsepsi Dari Pecahan Pecahan Senilai Menyamakan Penyebut Membandingkan Pecahan Dan Operasi Pecahan Solusimatika Sd
solusimatikasd.blogspot.com

Bagaimana Hubungan Antara Pembilang Dan Penyebut Pada Pecahan Senilai 1 2 2 4 Atau 1 3 2 6 Brainly Co Id
brainly.co.id

Bilangan Pecahan
www.slideshare.net

Relasi Dan Fungsi
studylibid.com

Bilangan Pecahan Tarokutu Com
tarokutu.com

1
encrypted-tbn0.gstatic.com

Pecahan Senilai Dan Cara Menentukan Pecahan Senilai Tips Belajar Matematika
www.tipsbelajarmatematika.com

Hubungan Antar Pecahan Dan Latihan Soal Pages 1 11 Flip Pdf Download Fliphtml5
fliphtml5.com

Pengertian Dan Konsepsi Dari Pecahan Pecahan Senilai Menyamakan Penyebut Membandingkan Pecahan Dan Operasi Pecahan Solusimatika Sd
solusimatikasd.blogspot.com

Pengertian Dan Cara Menentukan Pecahan Senilai Berpendidikan Com
www.berpendidikan.com

Kunci Jawaban Buku Tematik Kelas 4 Tema 2 Subtema 2 Halaman 59 60 61 63 63 64 65 66 Soal Dan Jawaban
soaldanjawabanpg.blogspot.com

Membandingkan Pecahan Dengan Pembilang Dan Penyebut Sama Pecahan Matematika Khan Academy Youtube
m.youtube.com

Bilangan Pecahan
www.slideshare.net

Pembelajaran 2 Tema 2 Subtema 2 Manfaat Energi
www.nidokna.com

Rpp Mapel Matematika K4 S1
docs.google.com

Pemecahan Web Viewperbandingannya Dibuat Dalam Bentuk Pecahan Yang Paling Sederhana Dan Dinyatakan Doc Document
fdokumen.com

Sumber Belajar Seamolec
sumberbelajar.seamolec.org

Penerapan Pendekatan Realistic Mathematics Education Pdf Download Gratis
docplayer.info

Kk C Pages 151 200 Flip Pdf Download Fliphtml5
fliphtml5.com

Bilangan Pecahan
www.slideshare.net

Cara Mengerjakan Pecahan Senilai 13 Guru Ilmu Sosial
www.ilmusosial.id

Pengertian Dan Cara Menentukan Pecahan Senilai
mafia.mafiaol.com

Rpp Mapel Matematika K4 S1
docs.google.com

Maretong Soal Dan Pembahasan Operasi Hitung Bilangan Pecahan
www.maretong.com

Mengenal Pembilang Dan Penyebut Dalam Pecahan Youtube
www.youtube.com

Kunci Jawaban Tema 2 Kelas 4 Halaman 63 64 65 66 67 Buku Tematik Subtema 2 Pembelajaran 2 Halaman 2 Tribun Padang
padang.tribunnews.com

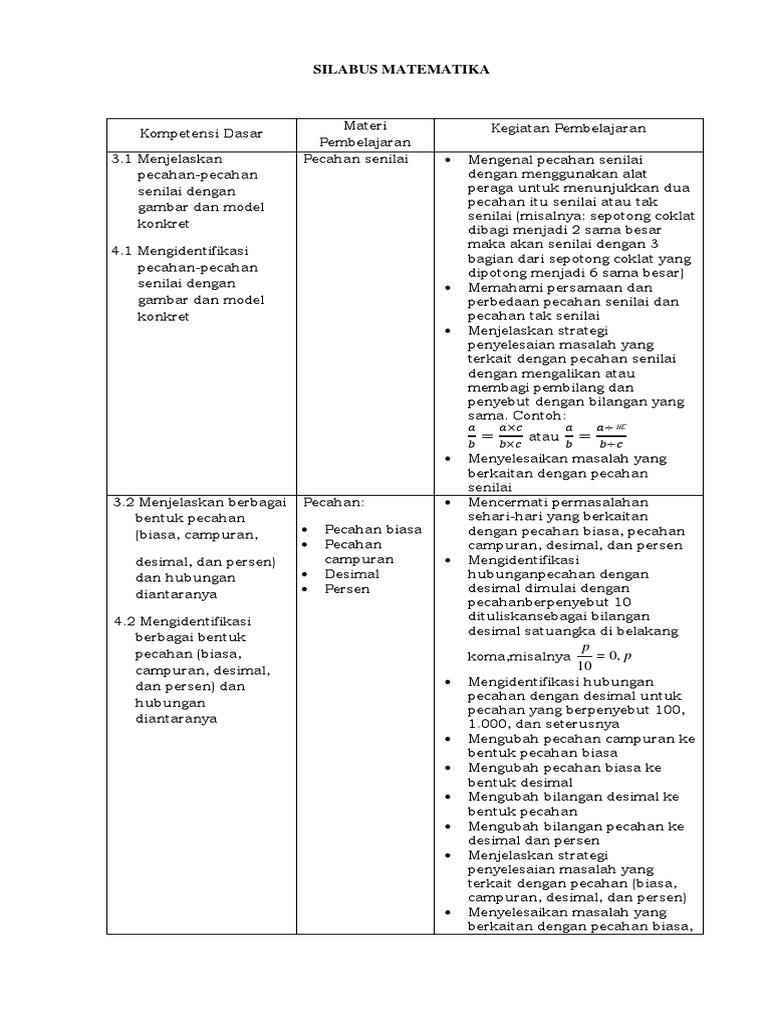
Silabus Matematika
id.scribd.com

Pecahan Senilai Dan Cara Menentukan Pecahan Senilai Tips Belajar Matematika
www.tipsbelajarmatematika.com

2 Pecahan Sim Garis Bilangan 2 Tentukan Dua Pe Cahan Yang Senilai Dengan 1 4 3 Nyatakan Pdf Document
fdokumen.com

Menuliskan Manfaat Sinar Matahari Bagi Kehidupan Di Bumi Dalam Bentuk Peta Course Hero
www.coursehero.com

Https Journal Uny Ac Id Index Php Jpms Article Download 3887 3359

Cara Menyederhanakan Bilangan Pecahan
mafia.mafiaol.com

Buku Matematika Kelas 7
www.slideshare.net

Bilangan Pecahan Tarokutu Com
tarokutu.com

Cara Mengerjakan Pecahan Senilai 13 Guru Ilmu Sosial
www.ilmusosial.id

Pengertian Dan Cara Menentukan Pecahan Senilai
www.leybold.co.id

Rpp Mapel Matematika K4 S1
docs.google.com

Bilangan Pecahan
www.slideshare.net

Https Encrypted Tbn0 Gstatic Com Images Q Tbn 3aand9gcsd8mczwv99unsk9niuyk9 6abnikb8 0ko5hnk6fjpuq S0ftv Usqp Cau
encrypted-tbn0.gstatic.com

Mengenal Pecahan Belajar Dari Rumah Tvri Kelas 1 3 Sd 4 Juni 2020 Halaman All Kompas Com
www.kompas.com

Kunci Jawaban Halaman 59 60 61 63 64 65 66 67 Buku Tematik Kelas 4 Tema 2 Pembelajaran 2 Subtema 2 Halaman All Tribun Ternate
ternate.tribunnews.com

Pengertian Dan Cara Menentukan Pecahan Senilai Berpendidikan Com
www.berpendidikan.com

Pecahan Senilai Dan Cara Menentukan Pecahan Senilai Tips Belajar Matematika
www.tipsbelajarmatematika.com

Matematika Pecahan Senilai
es.scribd.com

Perhatikan Tiap Tiap Kesamaan Misalkan 1 2 2 4 Atau 1 3 2 6 Bagaimana Hubungan Pembilang Dan Brainly Co Id
brainly.co.id

Https Repository Usd Ac Id 23669 2 061414008 Full Pdf

Cara Mengerjakan Pecahan Senilai 13 Guru Ilmu Sosial
www.ilmusosial.id

Tolongg Hahahhahaha Brainly Co Id
brainly.co.id

Pecahan Senilai Dan Cara Menentukan Pecahan Senilai Tips Belajar Matematika
www.tipsbelajarmatematika.com

Http Repository Upi Edu 29181 5 S Tm 1301329 Chapter2 Pdf

Cara Mudah Membandingkan 2 Bilangan Pecahan Contoh Soal Dan Pembahasan Materi Smp Blog Mtk Smp
math4junior.blogspot.com

Kunci Jawaban Tema 2 Kelas 4 Halaman 63 64 65 66 67 Buku Tematik Subtema 2 Pembelajaran 2 Halaman 2 Tribun Padang
padang.tribunnews.com

Cara Menentukan Pecahan Senilai Youtube
m.youtube.com

Doc Bab I Bilangan Bulat Dan Bilangan Pecahan Baity Zahra Academia Edu
www.academia.edu

Kisi Kisi Penulisan Instrumen Penilaian
id.scribd.com

Hubungan Antara Pembilang Dan Penyebut Pada Pecahan Senilai
oriflameid.com

Pengertian Dan Cara Menentukan Pecahan Senilai Berpendidikan Com
www.berpendidikan.com

Hubungan Antara Pembilang Dan Penyebut Pada Pecahan Senilai
oriflameid.com

Apa Hubungan Pembilang Dan Penyebut Pada Pecahan Senilai Brainly Co Id
brainly.co.id

Pecahan
www.slideshare.net

Https Repository Usd Ac Id 23669 2 061414008 Full Pdf

Kunci Jawaban Tema 2 Kelas 4 Halaman 63 64 65 66 67 Buku Tematik Subtema 2 Pembelajaran 2 Halaman 2 Tribun Padang
padang.tribunnews.com

Cara Menyatakan Hubungan Antara Dua Pecahan Tarokutu Com
tarokutu.com

Rpp Mapel Matematika K4 S1
docs.google.com

Bilangan Pecahan
www.slideshare.net

Bab Ii Kajian Teoretis 2 1 Deskripsi Kemampuan
studylibid.com

Buku Matematika Kelas 7
www.slideshare.net

Rpp Tema 2 St 2 Pb 2 Docx
id.scribd.com

Bagaimana Cara Menentukan Letak Pecahan Pada Garis Bilangan
mafia.mafiaol.com

Https Encrypted Tbn0 Gstatic Com Images Q Tbn 3aand9gcsmt5w5p H2mbd 3vsyximejuct7twka8eqmo A6lb9zy1b9yi8 Usqp Cau
encrypted-tbn0.gstatic.com

Pecahan Senilai Dan Cara Menentukan Pecahan Senilai Tips Belajar Matematika
www.tipsbelajarmatematika.com

Http Imathsolution Blogspot Com 2017 07 Mengenal Pecahan Senilai Html

Bilangan Pecahan Jejak 1000 Pena
studylibid.com

Pengertian Dan Cara Menentukan Pecahan Senilai
mafia.mafiaol.com

Hubungan Antar Pecahan Dan Latihan Soal Pages 1 11 Flip Pdf Download Fliphtml5
fliphtml5.com

Cara Mengubah Bentuk Pecahan Ke Bentuk Persen
mafia.mafiaol.com

Pengertian Dan Cara Menentukan Pecahan Senilai Contoh Soal Dan Pembahasan Materi Smp Blog Mtk Smp
math4junior.blogspot.com

Pecahan Senilai Dengan 1 4 Dgn Cara Brainly Co Id
brainly.co.id

close