Sangat Membantu

Cara Mencari Energi Kinetik Silinder Pejal


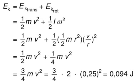
Contoh Soal Energi Kinetik Rotasi Menggelinding Dan Pembahasannya Soalfismat Com
soalfismat.com

Energi Kinetik Bola Pejal 82sport Com
82sport.com

Hitung Ek Total Silinder Pejal Atau Buktikan Besarnya Ek Total Pada Silinder Pejal Ekr 3 4 Brainly Co Id
brainly.co.id

Kelas Xi
fisikakontekstual.com

Gerak Rotasi Benda Tegar
www.slideshare.net

Sebuah Silinder Pejal Menggelinding Murni Di Atas Lantai Datar Yang Kasar Dengan Kecepatan Tetap 4 Brainly Co Id
brainly.co.id

Fisika Veritas Jika Bola Silinder Dan Cincin Balapan Mana Yang Finish Duluan
fisikaveritas.blogspot.com

Soal Jawab Mekanika Bag E Www Examsworld Us
id.123dok.com

Belajar Fisika
bagurubkt.blogspot.com

Kecepatan Percepatan Momen Gaya Bola Mengelinding Pada Bidang Miring Dinamika Rotasi Youtube
m.youtube.com

Sebuah Silinder Pejal I 1 2mr Kuadrat Bermassa 10 Kg Menggelinding Tanpa Slip Pada Suatu Bidang Brainly Co Id
brainly.co.id

Kecepatan Bola Pejal Menggelinding Pada Bidang Miring Fisika Sma Youtube
www.youtube.com

Doc Soal Dinamika Rotasi Yhumex Efendi Academia Edu
www.academia.edu

Momen Gaya Torsi Adalah Pengertian Rumus Dan Contoh Soal
rumus.co.id

Kelas 11 Fisika 2 Sri Handayani Pages 101 150 Flip Pdf Download Fliphtml5
fliphtml5.com

Soal Dan Pembahasan Fisika Part 2
www.slideshare.net

Silinder Pejal Bidang Miring
silinder-pejal-bidang-miring.pratigyapoonal.online

Https S3 Amazonaws Com Video Payment 2017 Sma Fisika Dinamika Rotasi Pdf

Dinamika Rotasi
www.slideshare.net

Tujuan Pengolahan Data Momen Inersia Pdf Free Download
docplayer.info

Fisika Kelas 11 Cara Gampang Memahami Konsep Momen Inersia
blog.ruangguru.com

Soal No 1 Pembahasan
id.scribd.com

V Momentum Dan Impuls
studylibid.com

10 Soal Dinamika Rotasi Dan Kesetimbangan Benda Tegar Jawaban
soalkimia.com

Tugas Akhir Rahmat Widayat M0217058 Pdf Tema Rotasi Benda Tegar Program Analisis Momen Inersia Dan Energi Suatu Benda Berotasi Makalah Ini Disusun Course Hero
www.coursehero.com

Rumus Torsi Momen Inersia Dan Momentum Sudut
www.ilmusainsonline.com

Energi Pada Gerak Rotasi
www.utakatikotak.com

Http Sman30jkt Sch Id Wp Content Uploads 2018 08 Modul Pembelajaran Fisika Pdf

Soal Dan Pembahasan Gerak Menggelinding Guru Ilmu Sosial
www.ilmusosial.id

Momen Gaya Torsi Pengertian Rumus Beserta Contoh Soal
moztrip.com

Fisika Kelas 11 Cara Gampang Memahami Konsep Momen Inersia
blog.ruangguru.com

Energi Pada Gerak Rotasi
www.utakatikotak.com

Fisika 2 Kelas 11 Sri Handayani Ari Damari 2009 Pages 101 150 Flip Pdf Download Fliphtml5
fliphtml5.com

Rangkuman Contoh Soal Dinamika Rotasi Benda Tegar Dan Pembahasan
tanya-tanya.com

Modul Fisika X Pages 51 100 Text Version Anyflip
anyflip.com

10 Soal Dinamika Rotasi Dan Kesetimbangan Benda Tegar Jawaban
soalkimia.com

Dinamika Gerak Rotasi1 Pdf Document
fdokumen.com

Dinamika Rotasi
www.slideshare.net

Sebuah Silinder Pejal Yang Massanya 10 Kg Dan Jari Jari 20 Cm Menggelinding Dengan Kecepatan 8 M S Brainly Co Id
brainly.co.id

Fisika Xi
yoskin.wordpress.com

Torsimomen Inersia Momentum Anguler Energi Kinetik Rotasi
pdfslide.net

Pengertian Gerak Rotasi Kinematika Dan Dinamika Rotasi Momen Gaya Inersia Kesetimbangan Benda Tegar Contoh Soal Kunci Jawaban
www.nafiun.com

Energi Kinetik Rotasi Ayo Sekolah Fisika
www.ayo-sekolahfisika.com

Momen Inersia Silinder Pejal Ardra Biz
ardra.biz

Energi Kinetik Rotasi Ayo Sekolah Fisika
www.ayo-sekolahfisika.com

Soal Dan Pembahasan Energi Kinetik Rotasi
www.edutafsi.com

Fisika Xi
yoskin.wordpress.com

Dinamika Rotasi Fisika Kelas 11 Quipper Blog
www.quipper.com

Fisika Kelas 11 Cara Gampang Memahami Konsep Momen Inersia
blog.ruangguru.com

Pembahasan Soal Un Fisika Sma Ma 2014 Gerak Menggelinding Gurumuda Net
gurumuda.net

Ppt 8 Rotasi Powerpoint Presentation Free Download Id 3250349
www.slideserve.com

Momen Inersia Pengertian Konsep Rumus Contoh Tabel
www.gurupendidikan.co.id

Kumpulan Contoh Soal Contoh Soal Tentang Energi Kinetik Total
bakingupforlosttime.blogspot.com

Momen Inersia Silinder Pejal Ardra Biz
ardra.biz

Momen Inersia Silinder Pejal Ardra Biz
ardra.biz

Materi Strabel Pdf Document
dokumen.tech

Kesetimbangan Dinamika Rotasi Dan Titik Berat
www.yumpu.com

Tentukan Energi Kinetik Rotasi Dari Sebuah Silinder Pejal Dengan Sumbu Putar Berhimpit Dengan Brainly Co Id
brainly.co.id

Soal Dan Pembahasan Fisika Part 2
www.slideshare.net

Dinamika Rotasi Fisika Kelas 11 Quipper Blog
www.quipper.com

Contoh Soal Energi Kinetik Rotasi Menggelinding Dan Pembahasannya Soalfismat Com
soalfismat.com

Dinamika Rotasi Ii Ayoprivate Com
www.ayoprivate.com

Dinamika Rotasi Fisika Kelas 11 Quipper Blog
www.quipper.com

Energi Kinetik Benda Menggelinding Fisika Sma Youtube
www.youtube.com

Silinder Padat Memiliki Massa 2 Kg Dan Jari Jarinya 13 Cm Menggelinding Pada Lantai Mas Dayat
www.masdayat.net

Tentukan Besarnya Energi Kinetik Total Dari Sebuah Silinder Berongga Yang Sedang Menggelinding Pada Mas Dayat
www.masdayat.net

Contoh Soal Energi Kinetik Rotasi Menggelinding Dan Pembahasannya Soalfismat Com
soalfismat.com

Pdf Dinamika Rotasi Ilham Pangestu Academia Edu
www.academia.edu

Http Sman30jkt Sch Id Wp Content Uploads 2018 08 Modul Pembelajaran Fisika Pdf

Kesetimbangan Benda Tegar Gabungan Energi Kinetik Rotasi Dan Translasi Ppt Download
slideplayer.info

Rumus Energi Kinetik Rotasi Translasi Dan Potensial
rumusrumus.com

Momen Inersia Pengertian Rumus Jenis Contoh Soal Latihan
bacaboy.com

Momen Inersia Pengertian Momen Rumus Contoh Penerapan
pengajar.co.id

Dinamika Rotasi Torsi Momen Gaya Momentum Sudut Rumus Contoh Soal
www.studiobelajar.com

Energi Pada Gerak Rotasi 4muda Com
www.4muda.com

Roda Yang Berupa Silinder Pejal Massanya 3 Kg Dan Jari Jari 20 Cm Roda Tersebut Menggelinding Brainly Co Id
brainly.co.id

Momen Inersia Pengertian Rumus Jenis Contoh Soal Latihan
bacaboy.com

Dinamika Rotasi Dan Kesetimbangan Benda Tegar
www.smalsa.sch.id

Soal Dinamika Gerak Rotasi Pdf Document
fdokumen.com

Energi Kinetik Bola Pejal Yang Mengelinding Dinamika Rotasi Youtube
www.youtube.com

Bola Pejal
id.scribd.com

Dinamika Ii Dinamika Rotasi Positif Internet
positifinternet.wordpress.com

Contoh Soal Dan Jawaban Momen Gaya Dan Momen Inersia Guru Ilmu Sosial
www.ilmusosial.id

Contoh Soal Energi Kinetik Rotasi Menggelinding Dan Pembahasannya Soalfismat Com
soalfismat.com

Bola Pejal Bermassa 2m Digelindingkan Pada Lantai Dan Mengalami Gerak Translasi Dan Gerak Rotasi Brainly Co Id
brainly.co.id

Soal Dinamika Rotasi
id.scribd.com

Fisika Veritas Jika Bola Silinder Dan Cincin Balapan Mana Yang Finish Duluan
fisikaveritas.blogspot.com

Materi Dinamika Rotasi Dan Keseimbangan Benda Tegar
fisikakontekstual.com

Dinamika Rotasi Torsi Momen Gaya Momentum Sudut Rumus Contoh Soal
www.studiobelajar.com

Energi Kinetik Bola Pejal 82sport Com
82sport.com

Torsi Momen Inersia Momentum Anguler Energi Kinetik Rotasi
studylibid.com

Dinamika Rotasi Ii Ayoprivate Com
www.ayoprivate.com

Gerak Menggelinding Menggelinding Pada Bidang Datar Miring
fisikazone.com

Momen Inersia Pengertian Konsep Rumus Contoh Tabel
www.gurupendidikan.co.id

Soal Dan Pembahasan Energi Kinetik Rotasi
www.edutafsi.com

V Adalah Kecepatan Bola A V Wr Dengan Menggunakan I 2 5 Mr2 Dan Menyelesaikan Persamaanpersamaan Di Atas Kita Akan Peroleh W Pdf Download Gratis
docplayer.info

Fisika Dinamika Rotasi Smada Palangka Raya Pptx Powerpoint
vdokumen.com

Gerak
id.scribd.com

Belajar Fisika
bagurubkt.blogspot.com

Energi Pada Gerak Rotasi 4muda Com
www.4muda.com

close