Sangat Membantu

Cara Menentukan Rumus Empiris


Kimia Dasar
pdfslide.net

Pemisahan Senyawa Dari Campuran Dan Penentuan Rumus Empiris
www.slideshare.net

Stoikiometri Pengertian Rumus Jenis Dan Contoh Soalnya
rumusbilangan.com

Rumus Empiris Dan Rumus Molekul Stoikiometri Kimia Sbmptn Sma Youtube
www.youtube.com

Kimia Kelas 10 Mengetahui Cara Menentukan Rumus Empiris Senyawa
blog.ruangguru.com

Tatanama Senyawa Dan Persamaan Reaksi Sederhana Pembelajaran Kimia
musnainimusnaini.wordpress.com

Cara Menentukan Rumus Empiris Dan Rumus Molekul Data Percobaan Haus Wawasan
haus-wawasan.blogspot.com

Stoikiometri
www.sma1banda.sch.id

Rumus Empiris Dan Rumus Molekul
www.kimiamath.com

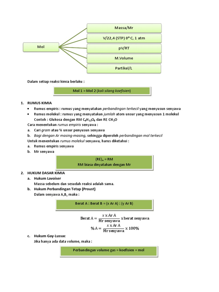
1 Rumus Kimia
sites.google.com

Cara Menentukan Rumus Empiris Dan Rumus Molekul Suatu Senyawa Tania J Hutasoit Youtube
www.youtube.com

Pengertian Cara Menentukan Contoh Soal Rumus Empiris Dan Rumus Molekul Senyawa Lengkap Pelajaran Sekolah Online
www.pelajaran.co.id

Suatu Hidrokarbon Memiliki Komposisi Berikut C 85 7 H 14 3 Gas Hidrokarbon Ini Memiliki Massa Brainly Co Id
brainly.co.id

Rumus Empiris
id.scribd.com

Persiapan Un
id.scribd.com

Stoikiometri
www.sma1banda.sch.id

Cara Menentukan Rumus Empiris Beserta Contoh Soalnya
www.kontensekolah.com

Empiris
id.scribd.com

Rumus Empiris Dan Rumus Molekul Ok
www.slideshare.net

Penentuan Rumus Dari Data Percobaan
www.slideshare.net

Chemistrylovers Rumus Molekul Dan Rumus Empiris
forchemistrylovers.blogspot.com

Cara Menentukan Rumus Molekul Senyawa Idschool
idschool.net

Mengetahui Cara Menentukan Rumus Molekul Senyawa
blog.ruangguru.com

Pdf Contoh Soal Rumus Empiris Beserta Pembahasannya Joey Stotele Academia Edu
www.academia.edu

Cara Menentukan Rumus Empiris Kimia Dan Contoh Soalnya Rumus Dasar
rumusdasar.com

Ppt Rumus Empiris Dan Rumus Molekul
www.slideshare.net

Konsep Mudah Menentukan Rumus Molekul Dari Rumus Empiris Kimia Sma Youtube
www.youtube.com

Menentukan Rumus Kimia Senyawa Brainly Co Id
brainly.co.id

Mohon Dengan Caranyaa Brainly Co Id
brainly.co.id

Menentukan Rumus Empiris Dan Rumus Molekul Senyawa Docx Document
vdocuments.mx

Percobaan 2 Rumus Empiris Senyawa
www.slideshare.net

Rpp Materi Rumus Empiris
www.slideshare.net

Perhitungan Kimia Pembelajaran Kimia
musnainimusnaini.wordpress.com

Rumus Kimia Youtube
www.youtube.com

Cara Menentukan Rumus Empiris Dan Rumus Molekul
id.scribd.com

Menentukan Rumus Empiris Dan Rumus Molekul
rumushitung.com

Kelas X Materikimia
materikimia.com

Pemisahan Senyawa Dari Campuran Dan Penentuan Rumus Empiris
www.slideshare.net

Rumus Empiris Dan Rumus Molekul Stoikiometri Kimia Sbmptn Sma Youtube
www.youtube.com

Chemistrylovers Rumus Molekul Dan Rumus Empiris
forchemistrylovers.blogspot.com

Kadar Senyawa Rumus Empiris Stoikiometri Reaksi Soal Latihan Klik Link Di Deskripsi Youtube
www.youtube.com

Percobaan 2 Rumus Empiris Senyawa
www.slideshare.net

Kalkulator Rumus Empiris Dan Rumus Molekul Urip Dot Info
www.urip.info

Rumus Empiris Dan Rumus Molekul
dokumen.tips

Stoikiometri Reaksi Dan Stoikiometri Larutan Beserta Contoh Soal Belajar Ipa
www.belajaripa.net

Contoh Soal Menentukan Rumus Empiris Dan Rumus Molekul1111
id.scribd.com

Rumus Empiris Dan Rumus Molekul Pengertian Rumus Contoh Soal
www.studiobelajar.com

Rumus Empiris Dan Rumus Molekul
www.plengdut.com

Contoh Soal Penentuan Rumus Kimia Empiris Molekul Hidrat Kadar Dalam Zat Dan Pereaksi Pembatas Senyawa Materiedukasi Com
www.materiedukasi.com

Rpp Materi Rumus Empiris
www.slideshare.net

Persamaan Reaksi Pengertian Cara Menyetarakan Penulisan
theinsidemag.com

Rumus Kimia Senyawa Kimia Sma Youtube
www.youtube.com

Menentukan Rumus Empiris Dan Molekul 1 Youtube
www.youtube.com

Rumus Empiris Dan Rumus Molekul Kimia Asyik Belajar
asyikbelajar.com

Pengertian Rumus Empiris Cara Menentukan Contoh Soal Menentukan Rumus Empiris Empirical Formula Berbagaireviews Com
www.berbagaireviews.com

Rumus Empiris Dan Rumus Molekul Beserta Contoh Soal
www.utakatikotak.com

1 Rumus Kimia
sites.google.com

Cara Menentukan Rumus Molekul Senyawa Idschool
idschool.net

Kimia Kelas 10 Mengetahui Cara Menentukan Rumus Empiris Senyawa
blog.ruangguru.com

Stoikiometri
www.sma1banda.sch.id

Rumus Empiris
id.scribd.com

Rangkuman Materi Rumus Empiris Dan Rumus Molekul Pengertian Cara Menentukan Contoh Soal Persamaan Dan Perbedaan Materi Kimia
materikimia.com

Stoikiometri Kimia Kelas 10 Pengertian Rumus Dan Persamaan Quipper Blog
www.quipper.com

Percobaan 3
id.scribd.com

Perbedaan Rumus Empiris Dan Rumus Molekul Rumus Kimia
www.rumuskimia.net

Perhitungan Kimia
belajarkimiablogger.blogspot.com

Stoikiometri Ppt Download
slideplayer.info

Cara Mudah Menentukan Rumus Molekul Senyawa Kimia Sma Youtube
www.youtube.com

Pengertian Rumus Empiris Cara Menentukan Pola Soal Memilih Rumus Empiris Empirical Formula Delima
duniainformasisemasa369.blogspot.com

Cara Menentukan Rumus Molekul Senyawa Idschool
idschool.net

Cara Menentukan Rumus Empiris Dan Rumus Molekul
jempolkimia.com

Ratu Kimia Penentuan Rumus Molekul Suatu Senyawa
www.ratukimia.com

Stoikiometri Pptx
id.scribd.com

Pemisahan Senyawa Dari Campuran Dan Penentuan Rumus Empiris
www.slideshare.net

Perhitungan Kimia Foeryp
foeryp.wordpress.com

Contoh Soal Stoikiometri Menentukan Rumus Empiris Jika Diketahui Massa Masing Masing Atom Youtube
m.youtube.com

Kimia Kelas 10 Mengetahui Cara Menentukan Rumus Empiris Senyawa
blog.ruangguru.com

Soal Dan Pembahasan Penentuan Rumus Empiris Dan Rumus Molekul Wanibesak
id.scribd.com

Mengenal Rumus Kimia Rumus Molekul Dan Rumus Empiris
segalaserbaserbi.blogspot.com

Pemisahan Senyawa Dari Campuran Dan Penentuan Rumus Empiris
www.slideshare.net

Doc Modul Kls X 1 Kiki Farel Academia Edu
www.academia.edu

Bagaimana Cara Menentukan Rumus Molekul Dan Kadar Unsur Dalam Senyawa
segalaserbaserbi.blogspot.com

Persamaan Reaksi Tim Dosen Pengampu Mk Kimia Dasar Ppt Download
slideplayer.info

C Rumus Empiris Dan Rumus Molekul Rahmi Educations
rahmikimia.wordpress.com

Cara Menentukan Rumus Molekul Beserta Contoh Soal Dan Pembahasan Rumusrumus Com
rumusrumus.com

Rumus Empiris Dan Rumus Molekul Ok Cute766
cute766.info

Stoikiometri Kimia Kelas 10 Pengertian Rumus Dan Persamaan Quipper Blog
www.quipper.com

Pengertian Stoikiometri Berasal Dari Kata Kata Yunani Stoicheion Unsur Dan Metrein Mengukur Berarti Mengukur Unsur Unsur Ilmu Yang Mmempelajari Ppt Download
slideplayer.info

Bagaimana Menentukan Rumus Empiris Zat Fisika Kimia
fisikakimia2.blogspot.com

Soal2 Rumus Empiris Docx
id.scribd.com

Cara Mencari Rumus Molekul 13 Langkah Dengan Gambar Wikihow
id.wikihow.com

Percobaan 2 Rumus Empiris Senyawa
www.slideshare.net

Menentukan Rumus Molekul Hidrokarbon Youtube
www.youtube.com

Rumus Empiris Dan Rumus Molekul
id.scribd.com

Kimia Kelas 10 Mengetahui Cara Menentukan Rumus Empiris Senyawa
blog.ruangguru.com

Contoh Soal Stoikiometri Menentukan Rumus Empiris Jika Diketahui Massa Masing Masing Atom Youtube
m.youtube.com

Tentukan Rumus Empiris Senyawa Senyawa Jika Diketahui Komposisinya Sebagai Berikut A C 54 55 Brainly Co Id
brainly.co.id

Pemisahan Senyawa Dari Campuran Dan Penentuan Rumus Empiris
www.slideshare.net

Doc Cara Menentuan Rumus Empiris Fahmi Ffi Academia Edu
www.academia.edu

Rumus Empiris Dan Rumus Molekul Tutorialpelajaran Com
tutorialpelajaran.com

close