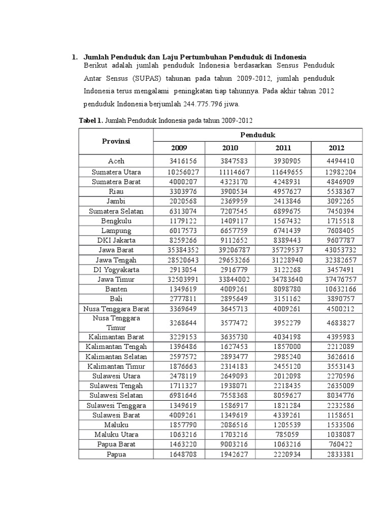
Sangat Membantu

Cara Menghitung Laju Pertumbuhan Penduduk Dengan Excel


Compound Interest Apa Yang Dimaksud Dengan Bunga Majemuk
blog.pluang.com

Https Journal Ipb Ac Id Index Php Jsil Article View 26639 17332

Jumlah Dan Laju Pertumbuhan Penduduk Sumatera Selatan Statistics Solution
fahar26.wordpress.com

Cara Menghitung Persentase Jumlah Penduduk
belajarbarengmudah.web.app

Cara Membuat Grafik Garis Line Chart Di Excel Computer 1001
www.computer1001.com

Metode Rata Rata Bergerak Dalam Microsoft Excel Menghaluskan Serangkaian Menggunakan Metode Rata Rata Bergerak
travelerscoffee.ru

Cara Membuat Piramida Penduduk Di Excel
id.scribd.com

Proyeksi Laju Pertumbuhan Penduduk Di Indonesia Tahun 2010
id.123dok.com

Jumlah Dan Proporsi Penduduk Menurut Umur Dan Jenis Kelamin Disdukcapil Aceh Jaya
disdukcapil.acehjayakab.go.id

Junaidi Fe Unja May 2009
junaidichaniago.blogspot.com

Rumus Hitung Laju Pertumbuhan Penduduk Xls Pdf Document
fdokumen.com

Https Jurnal Uns Ac Id Itsmart Article Viewfile 1928 10104

Laju Pertumbuhan Penduduk Eksponensial
www.rumusstatistik.com

Berapa Jumlah Penduduk Indonesia Databoks
databoks.katadata.co.id

Cara Menghitung Pertumbuhan Penduduk Menggunakan Excel 2007 Pdf Document
fdokumen.com

Pertumbuhan Penduduk Pengertian Faktor Jenis Rumus Contoh
sarjanaekonomi.co.id

Cara Membuat Grafik Di Excel Praktis Dengan Hasil Rapi Tekno Liputan6 Com
www.liputan6.com

Laju Pertumbuhan Penduduk Eksponensial
www.rumusstatistik.com

Https Journal Ipb Ac Id Index Php Jsil Article View 26639 17332

Laju Pertumbuhan Penduduk
id.scribd.com

Cara Menghitung Pendapatan Per Kapita Yang Benar
caraharian.com

Cara Membuat Piramida Penduduk Dengan Microsoft Excel
www.rumusstatistik.com

Sp2020 Menyatukan Dualisme Data Kependudukan Menuju Satu Data Indonesia Zuna
www.nurafiyahmaizunati.com

Laju Pertumbuhan Penduduk Eksponensial
www.rumusstatistik.com

Rumus Proyeksi Penduduk
id.scribd.com

Cara Menghitung Pertumbuhan Penduduk Menggunakan Excel 2007
www.scribd.com

Http Elearning Upnjatim Ac Id Courses Ps141112 Document Materi Ppt Pertemuan 13 Proyeksi Pdf Cidreq Ps141112

Cara Menghitung Persentase Jumlah Penduduk
belajarbarengmudah.web.app

Proyeksi Penduduk Portal Statistik
www.portal-statistik.com

Jumlah Dan Laju Pertumbuhan Penduduk Sumatera Selatan Statistics Solution
fahar26.wordpress.com

Jumlah Dan Laju Pertumbuhan Penduduk Sumatera Selatan Statistics Solution
fahar26.wordpress.com

Simulasi Dan Pemodelan Pertumbuhan Penduduk Rizky Novriandri S
rizkynovriandri.wordpress.com

2

Cara Menghitung Prediksi Pertumbuhan Penduduk Youtube
www.youtube.com

Jaringan Syaraf Tiruan Untuk Memprediksi Jumlah Penduduk Pemrograman Matlab
pemrogramanmatlab.com

Lutfi Agus Salim Skm M Si Ppt Download
slideplayer.info

Menghitung Pertumbuhan Ekonomi
shmadyweb.blogspot.com

Cara Menghitung Rasio Pertumbuhan 7 Langkah Dengan Gambar
id.wikihow.com

Https Jdih Kemnaker Go Id Data Wirata 2009 1 3 Pdf

Cara Membuat Piramida Penduduk Dengan Microsoft Excel
www.rumusstatistik.com

Perhitungan Jumlah Penduduk Pdf Download Gratis
docplayer.info

Simulasi Dan Pemodelan Pertumbuhan Penduduk Rizky Novriandri S
rizkynovriandri.wordpress.com

Menghitung Pertumbuhan Ekonomi Youtube
www.youtube.com

Proyeksi Penduduk Portal Statistik
www.portal-statistik.com

Ppt Analisis Kependudukan Hasya Aghnia Academia Edu
www.academia.edu

2

Cara Menghitung Persentase Pertumbuhan Tahunan 7 Langkah
id.wikihow.com

Trend Forecasting Menggunakan Ms Excel Statistics Solution
fahar26.wordpress.com

Rumus Proyeksi Penduduk Geometrik Dan Aritmetika Fungsinya
rumus.co.id

Pdf Penerapan Persamaan Diferensial Verhulst Dalam Menentukan Proyeksi Penduduk Di Kabupaten Tulungagung
www.researchgate.net

Proyeksi Penduduk Portal Statistik
www.portal-statistik.com

Cara Menghitung Kepadatan Penduduk Fisiologis Dan Agraris
caraharian.com

Cara Menghitung Persentase Jumlah Penduduk
belajarbarengmudah.web.app

Cara Menghitung Pertumbuhan Penduduk Menggunakan Excel 2007
id.scribd.com

Rumus Hitung Laju Pertumbuhan Penduduk Xls Pdf Document
fdokumen.com

Download Cara Menghitug Pertumbuhan Penduduk 2
www.slideshare.net

Http Eprints Ums Ac Id 58944 1 Naskah 20publikasi Pdf

Cara Menghitung Pertumbuhan Penduduk Menggunakan Excel 2007
id.scribd.com

Wowww Indonesia Salah Satu Negara Dengan Proyeksi Pertumbuhan Penduduk Paling Besar Di Dunia Swanstatistics
swanstatistics.com

Perhitungan Jumlah Penduduk Pdf Download Gratis
docplayer.info

Laju Pertumbuhan Penduduk Eksponensial
www.rumusstatistik.com

Https Www Researchgate Net Profile Wilson Rajagukguk5 Publication 325795730 Demografi Formal Links 5b24a75f458515270fd242c8 Demografi Formal Pdf Origin Publication Detail

Cara Menghitung Pertumbuhan Penduduk Menggunakan Excel 2007 Pdf Document
fdokumen.com

Lutfi Agus Salim Skm M Si Ppt Download
slideplayer.info

Laju Pertumbuhan Penduduk Geometrik
www.rumusstatistik.com

Https Repository Uksw Edu Bitstream 123456789 8590 2 Ti 671007177 Full 20text Pdf

Cara Hitung Persentase Di Excel Mealy Backup
mealybackup.blogspot.com

Perhitungan Jumlah Penduduk Pdf Download Gratis
docplayer.info

Cara Membuat Piramida Penduduk Dengan Microsoft Excel
www.rumusstatistik.com

Cara Mengukur Laju Pertumbuhan Ekonomi Suatu Negara
caraharian.com

Laporan Praktikum Ti Semester 1 Microsoft Word Dan Excel
www.slideshare.net

Cara Menghitung Tingkat Pertumbuhan Pertahun Agung Budi Santoso
agungbudisantoso.com

Cara Menghitung Prediksi Pertumbuhan Penduduk Youtube
www.youtube.com

Simulasi Dan Pemodelan Pertumbuhan Penduduk Rizky Novriandri S
rizkynovriandri.wordpress.com

Lutfi Agus Salim Skm M Si Ppt Download
slideplayer.info

Adapun Rumus Laju Pertumbuhan Penduduk
es.scribd.com

Cara Mudah Membuat Grafik Sederhana Secara Otomatis Dengan Ms Word Youtube
www.youtube.com

Lutfi Agus Salim Skm M Si Ppt Download
slideplayer.info

Perhitungan Jumlah Penduduk Pdf Download Gratis
docplayer.info

Laju Pertumbuhan Penduduk Mohnurdin S Blog
mohnurdin.wordpress.com

Download Cara Menghitug Pertumbuhan Penduduk 2
www.slideshare.net

Peramalan Jumlah Penduduk Pada Tahun 2016 Di Kabupaten Karo Berdasarkan Data Tahun 2005 2014
id.123dok.com

Menghitung Laju Pertumbuhan Di Excel Youtube
www.youtube.com

Menghitung Laju Pertumbuhan Per Periode Di Excel Youtube
www.youtube.com

Download Cara Menghitug Pertumbuhan Penduduk 2
www.slideshare.net

Membuat Perkiraan Di Excel Untuk Windows Excel
support.microsoft.com

Metode Rata Rata Bergerak Dalam Microsoft Excel Menghaluskan Serangkaian Menggunakan Metode Rata Rata Bergerak
travelerscoffee.ru

Inst2000
studylibid.com

Membuat Perkiraan Di Excel Untuk Windows Excel
support.microsoft.com

6 Cbgnkedxuocm

Download Cara Menghitug Pertumbuhan Penduduk 2
www.slideshare.net

Simulasi Pemodelan Pertumbuhan Penduduk Documents
topslide.net

Cara Menghitung Pertumbuhan Penduduk Menggunakan Excel 2007
id.scribd.com

Pertumbuhan Ekonomi Pengertian Teori Dan Faktor Yang Mempengaruhi
rumus.co.id

Lutfi Agus Salim Skm M Si Ppt Download
slideplayer.info

Http Fourier Or Id Index Php Fourier Article Download 78 80

Rumus Hitung Laju Pertumbuhan Penduduk Xls
dokumen.tips

Cara Menghitung Pertumbuhan Penduduk Menggunakan Excel 2007 Pdf Document
fdokumen.com

Http Repositori Usu Ac Id Bitstream Handle 123456789 8291 152407096 Pdf Sequence 1 Isallowed Y

Perhitungan Jumlah Penduduk Pdf Download Gratis
docplayer.info

close