Sangat Membantu

Cara Menghitung Luas Tanah Bentuk L


Mencari Luas Persegi Panjang Jika Diketahui Kelilingnya Youtube
m.youtube.com

Test Logika Pak Kasin Mempunyai Sebidang Tanah Seperti Facebook
id-id.facebook.com

Ketentuan Dan Cara Menghitung Luas Bangunan Rumah
www.99.co

Cara Menghitung Luas Bangunan Yang Mudah Benar
www.99.co

Cara Menghitung Luas Tanah Yang Tepat Bisa Pakai Gmaps Lho Artikel Spacestock
blog.spacestock.com

3 Cara Menghitung Luas Bangunan Rumah Dengan Tepat Rumah123 Com
artikel.rumah123.com

Diketahui Luas Bidang Tanah 140m Berbentuk Persegi Panjang Jika Selisih Panjangnya Dan Lebar 4m Brainly Co Id
brainly.co.id

Cara Menghitung Luas Bangunan Yang Mudah Benar
www.99.co

Ilmu Pengetahuan Adalah Bekal Masa Depan Cara Menghitung Luas Persegi Panjang
menuntut-bekal.blogspot.com

Rumus Luas Persegi Panjang Beserta Contoh Soalnya
rumus.co.id

Cara Menghitung Luas Tanah Yang Benar Timelogr
www.timelogr.com

Cara Menghitung Keliling Dan Luas Bujursangkar Ukuran Dan Satuan
ukurandansatuan.com

Cara Menghitung Luas Tanah Dengan Benar
definisipengertian.net

3 Cara Menghitung Luas Tanah Tidak Beraturan Secara Manual Atau Menggunakan Software Segudangcara Note Your Solutions
www.segudangcara.com

Cara Menghitung Luas Tanah Dengan Benar
caraharian.com

Perpustakaan Sd Nusantara Berbentuk Huruf L Dan Akan Dipasangi Karpet Berapa Luas Karpet Yang Brainly Co Id
brainly.co.id

Cara Menghitung Luas Tanah Tidak Beraturan Rumus Dan Aplikasi
bangunan.web.id

Cara Mengukur Luas Bangunan Dengan Mudah Penting Untuk Diketahui Merdeka Com
www.merdeka.com

Kumpulan Contoh Soal Contoh Soal Keliling Bangun Datar Gabungan Dan Jawabannya
bakingupforlosttime.blogspot.com

Cara Menghitung Luas Bangunan Dengan Benar Beton Instan Aneka Bangunan
anekabangunan.com

Cara Menghitung Luas Bangunan Rumah Dan Luas Tanah
caraharian.com

Menghitung Luas Daerah Yang Diarsir Idschool
idschool.net

Cara Menghitung Luas Tanah Yg Berbentuk Huruf L Brainly Co Id
brainly.co.id

Luas Tanah Mengukur Dan Menghitung Luas Tanah
luastanah.wordpress.com

Cara Menghitung Luas Tanah Yang Tepat Bisa Pakai Gmaps Lho Artikel Spacestock
blog.spacestock.com

Cara Menghitung Luas Tanah Yang Tepat Bisa Pakai Gmaps Lho Artikel Spacestock
blog.spacestock.com

Cara Menghitung Luas Tanah Yang Akurat
www.pencariilmu.com

Cara Menghitung Luas Tanah Yang Akurat Dan Mudah Bisa Anda Ikuti Rumah Com
www.rumah.com

Cara Menghitung Luas Sebenarnya Contoh Soal Skala Youtube
www.youtube.com

Bangun Datar Gabungan Jenis Contoh Soal Pembahasan
www.yuksinau.id

Pak Budi Memiliki Sawah Berbentuk Huruf L Jika Diketahui Bahwa Sawahnya Pak Budi Hanya Memiliki Brainly Co Id
brainly.co.id

Cara Menghitung Luas Tanah Yang Akurat Dan Mudah Bisa Anda Ikuti Rumah Com
www.rumah.com

Rumah Dengan Bentuk L Baik Satu Ataupun Dua Lantai Homify
www.homify.co.id

Blognya Lorens Menghitung Luas Areal Dengan Rumus Luas Segitiga
lorenskambuaya.blogspot.com

3 Cara Menghitung Luas Tanah Secara Mudah Dan Benar
www.99.co

Cara Menghitung Kelilling Dan Luas Segi Empat Persegi Panjang Ukuran Dan Satuan
ukurandansatuan.com

Cara Menghitung Luas Dan Keliling Bujursangkar Persegi Jadi Paham
jadipaham.com

Cara Menghitung Luas Tanah Yang Tepat Bisa Pakai Gmaps Lho Artikel Spacestock
blog.spacestock.com

Menghitung Luas Tanah Persegi Panjang Adri Firdaus
www.adrifirdaus.com

3 Cara Menghitung Luas Tanah Tidak Beraturan Secara Manual Atau Menggunakan Software Segudangcara Note Your Solutions
www.segudangcara.com

Cara Menghitung Luas Bangunan Rumah Dan Luas Tanah
caraharian.com

3 Cara Menghitung Luas Tanah Secara Mudah Dan Benar
www.99.co

Cara Menghitung Luas Tanah Yang Tepat Bisa Pakai Gmaps Lho Artikel Spacestock
blog.spacestock.com

Cara Menghitung Luas Dan Keliling Bujursangkar Persegi Jadi Paham
jadipaham.com

Cara Menghitung Luas Segitiga Sembarang Idschool
idschool.net

1
encrypted-tbn0.gstatic.com

Rumus Persegi Panjang Lengkap Luas Keliling Dan 4 Contoh Soal
saintif.com

Pak Wisnu Mempunyai Sebidang Tanah Berbentuk Persegi Panjang Dengan Ukuran Panjang 40 M Dan Lebar Brainly Co Id
brainly.co.id

Cara Menghitung Luas Tanah Dengan Benar
definisipengertian.net

Cara Menghitung Luas Tanah Yang Benar Timelogr
www.timelogr.com

Contoh Menghitung Soal Skala Menghitung Luas Kebun Sebenarnya Jika Diketahui Denah Youtube
www.youtube.com

Cara Menghitung Luas Bangunan Rumah Dengan Rumus Dan Aplikasi
caramenghitung.com

Cara Menghitung Luas Tanah Yang Benar Timelogr
www.timelogr.com

Cara Menghitung Luas Bangunan Yang Mudah Benar
id.scgbuildingmaterials.com

Cara Menghitung Luas Tanah Yang Akurat
www.pencariilmu.com

Cara Menghitung Luas Tanah Yang Akurat
www.pencariilmu.com

Cara Menghitung Luas Tanah Yang Akurat
www.pencariilmu.com

Cara Mudah Mengukur Tanah Lewat Sertifikat Youtube
www.youtube.com

Cara Mudah Dan Cepat Menentukan Keliling Dan Luas Trapesium Soal Matematika Sd Youtube
www.youtube.com

Rumus Bangun Datar Menghitung Luas Keliling Dengan Contoh Soal Cara Satu
carasatu.web.id

Menghitung Luas Segi Banyak Gurukatro
www.gurukatro.com

Sebuah Karton Berbentuk Huruf L Dengan Ukuran Seperti Pada Gambar Tentukan Letak Titik Beratnya Brainly Co Id
brainly.co.id

Rumus Trapesium Cara Menghitung Luas Keliling Contoh Soal
www.haruspintar.com

Cara Menghitung Luas Tanah Yang Benar Timelogr
www.timelogr.com

Menghitung Luas Tanah Tidak Beraturan Dengan Rumus Dan Aplikasi
caramenghitung.com

Ingin Rumah Impian Ketahui Contoh Desain Rumah Bentuk L
thegorbalsla.com

3 Cara Menghitung Luas Tanah Secara Mudah Dan Benar
www.99.co

Cara Menghitung Luas Tanah Yang Akurat Dan Mudah Bisa Anda Ikuti Rumah Com
www.rumah.com

Cara Menghitung Luas Bangunan Rumah Dengan Rumus Dan Aplikasi
caramenghitung.com

Menghitung Luas Tanah Persegi Panjang Adri Firdaus
www.adrifirdaus.com

Persegi Panjang Rumus Luas Keliling Contoh Soal
rumuspintar.com

4 Cara Untuk Mencari Keliling Persegi Panjang Wikihow
id.wikihow.com

Cara Menghitung Luas Tanah Yang Akurat Dan Mudah Bisa Anda Ikuti Rumah Com
www.rumah.com

Cara Menghitung Luas Bangunan Yang Mudah Benar
www.99.co

60 Denah Rumah Type 36 Desain Minimalis 1 2 Lantai
rumahpedia.info

Cara Menghitung Luas Tanah Yang Tepat Bisa Pakai Gmaps Lho Artikel Spacestock
blog.spacestock.com

Cara Menghitung Luas Tanah Yang Akurat
www.pencariilmu.com

Cara Mengukur Menghitung Luas Tanah Bidang Yang Tidak Beraturan Www Berilmu Com
www.berilmu.com

Menghitung Luas Trapesium Termasuk Menghitung Tinggi Sisi Atas Dan Bawah Jika Diketahui Luas Youtube
www.youtube.com

Sebidang Tanah Berbentuk Persegi Panjang Dengan Panjangnya 5m Lebih Dari Lebarnya Jika Keliling Brainly Co Id
brainly.co.id

Cara Menghitung Luas Bangunan Rumah Dan Luas Tanah
caraharian.com

1 Hitunglah Berapa Luas Sawah Paman Udin 2 Pada Saat Panen Tiba Biasanya Setiap 100 M Tanah Brainly Co Id
brainly.co.id

Cara Menghitung Luas Tanah M2 Ahadi
www.ahadi.id

4 Cara Menghitung Luas Tanah Dari Manual Hingga Pakai Google Maps Rumah123 Com
artikel.rumah123.com

Cara Menghitung Luas Segitiga Sembarang Idschool
idschool.net

Cara Menghitung Luas Tanah Yang Akurat Dan Mudah Bisa Anda Ikuti Rumah Com
www.rumah.com

Cara Menghitung Luas Jajar Genjang
www.utakatikotak.com

Https Encrypted Tbn0 Gstatic Com Images Q Tbn 3aand9gctqmnxjdbb 5l Vkhlj5wnydxiezotg4xmhgoznrt5klb Yzdqm Usqp Cau
encrypted-tbn0.gstatic.com

Nyatakan Keliling Bangun Datar Berikut Dalam Bentuk Aljabar Brainly Co Id
brainly.co.id

Cara Menghitung Luas Tanah Yang Tepat Bisa Pakai Gmaps Lho Artikel Spacestock
blog.spacestock.com

Luas Tanah Mengukur Dan Menghitung Luas Tanah
luastanah.wordpress.com

Rumus Persegi Panjang Luas Keliling Dan Contoh Soalnya
rumusbilangan.com

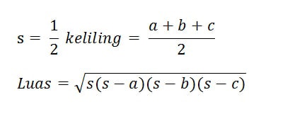
Cara Mudah Menghitung Luas Tanah Yang Tidak Beraturan Dengan Rumus Heron Dengan Applikasi Android Youtube
www.youtube.com

Cara Menghitung Luas Bangunan Yang Mudah Benar
id.scgbuildingmaterials.com

Cara Menghitung Luas Tanah Yang Benar Timelogr
www.timelogr.com

Cara Menghitung Luas Tanah Yang Akurat
www.pencariilmu.com

Cara Mengukur Meter Persegi 11 Langkah Dengan Gambar Wikihow
id.wikihow.com

Bagaimana Cara Perhitungan Dalam Mendesain Tangga Arginuring Arsitek
www.arginuring.com

Rumus Persegi Panjang Cara Aimyaya Cara Semua Cara
www.cara.aimyaya.com

3 Cara Menghitung Luas Tanah Secara Mudah Dan Benar
www.99.co

Cara Mengetahui Luas Tanah Yang Akan Diurug
www.jasaservis.net

Ilmu Pengetahuan Adalah Bekal Masa Depan Cara Menghitung Luas Persegi
menuntut-bekal.blogspot.com

close