Sangat Membantu

Cara Menghitung Operasi Bilangan Berpangkat


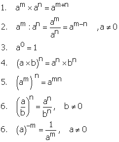
Bilangan Berpangkat Jenis Sifat Operasi Hitung Soal Penyelesaian
www.yuksinau.id

Bilangan Pangkat Pecahan Pengertian Rumus Sifat Operasi Hitung Dan Contoh Soal Bilangan Pangkat Pecahan Lengkap Pelajaran Sekolah Online
www.pelajaran.co.id

Sifat Sifat Operasi Bilangan Berpangkat Beserta Contoh Soal Dan Pembahasannya Berpendidikan Com
www.berpendidikan.com

Imath Menyelesaikan Bentuk Pangkat Aljabar Dan Pangkat Suatu Bilangan
imathsolution.blogspot.com

Sifat Operasi Hitung Bilangan Berpangkat Beserta Contoh Soal Dan Penyelesaiannya
mediakalimantan.co.id

Contoh Soal Bilangan Berpangkat Bulat Positif Negatif Dan Nol Buat Kamu Anak Kelas 9
www.quipper.com

Soal Bilangan Berpangkat Bulat Positif Negatif Dan Nol
www.utakatikotak.com

Cara Mengerjakan Operasi Hitung Akar Pangkat 3 Guru Ilmu Sosial
www.ilmusosial.id

Contoh Soal Bilangan Berpangkat Bulat Positif Negatif Dan Nol Buat Kamu Anak Kelas 9
www.quipper.com

Contoh Soal Bilangan Berpangkat Bulat Positif Negatif Dan Nol Buat Kamu Anak Kelas 9
www.quipper.com

Contoh Soal Dan Pembahasan Bilangan Berpangkat Bulat Positif Guru Ilmu Sosial
www.ilmusosial.id

Bilangan Berpangkat Pecahan Pengertian Sifat Rumus Contoh Soal
rumusbilangan.com

Pembahasan Soal Operasi Hitung Bilangan Berpangkat Matematika Smp Kelas 9 Youtube
www.youtube.com

Matematika Kelas 9 Bilangan Berpangkat Pengertian Dan Sifatnya
blog.ruangguru.com

Sifat Operasi Hitung Bilangan Berpangkat Beserta Contoh Soal Dan Penyelesaiannya Blog Matematika
blogmipa-matematika.blogspot.com

Hitung Operasi Bilangan Berpangkat Dibawah Ini A Tex 4 Frac 1 2 X 3 2 4 Tex Youtube
www.youtube.com

Matematika Kelas 9 Bilangan Berpangkat Pengertian Dan Sifatnya
blog.ruangguru.com

Contoh Soal Bilangan Berpangkat Bulat Positif Negatif Dan Nol Buat Kamu Anak Kelas 9
www.quipper.com

Operasi Hitung Bilangan Urutan Dan Operasi Campuran Advernesia
www.advernesia.com

Pengertian Bilangan Berpangkat Bulat Negatif Beserta Contoh Soal Dan Pembahasannya Berpendidikan Com
www.berpendidikan.com

Tutorial Cara Mudah Menentukan Angka Satuan Pada Operasi Bilangan Berderajat Tinggi Youtube
www.youtube.com

Contoh Soal Operasi Bilangan Berpangkat Kelas 7 Kumpulan Soal Pelajaran 8
soalujian-78.blogspot.com

Soal Bilangan Berpangkat Bulat Positif Negatif Dan Nol
www.utakatikotak.com

Operasi Bilangan Berpangkat Nol Dan Negatif Latihan 1 4 Youtube
www.youtube.com

Sederhanakan Hasil Operasi Bilangan Berpangkat Berikut 5 6 25 2 125 Youtube
m.youtube.com

Bahan Ajar Materi Bilangan Berpangkat K13 Untuk Kelas Vii Smp
www.slideshare.net

Bilangan Berpangkat Jenis Sifat Operasi Hitung Soal Penyelesaian
www.yuksinau.id

Cara Mengerjakan Bilangan Berpangkat Pecahan Guru Ilmu Sosial
www.ilmusosial.id

Modul Bentuk Pangkat
www.slideshare.net

Perkalian Bilangan Berpangkat Youtube
www.youtube.com

Hasil Operasi Bilangan Berpangkat Part 1 Matematika Kelas 9 Smp Youtube
www.youtube.com

Perpangkatan Cara Menghitung Pangkat Sifat Dan Tabel Perpangkatan
www.advernesia.com

Contoh Soal Bilangan Berpangkat Bulat Positif Negatif Dan Nol Buat Kamu Anak Kelas 9
www.quipper.com

Soal Bilangan Berpangkat Bulat Positif Negatif Dan Nol
m.utakatikotak.com

Bilangan Berpangkat Dan Bentuk Akar Anikasari
anikasari.wordpress.com

Sifat Sifat Operasi Bilangan Berpangkat Beserta Contoh Soal Dan Pembahasannya Berpendidikan Com
www.berpendidikan.com

Cara Menghitung Operasi Perpangkatan Pecahan Bilangan Pecahan Berpangkat Berpendidikan Com
www.berpendidikan.com

Contoh Soal Operasi Bilangan Berpangkat Kelas 7 Kumpulan Soal Pelajaran 8
soalujian-78.blogspot.com

Cara Mengerjakan Bilangan Berpangkat Besar Guru Ilmu Sosial
www.ilmusosial.id

Sifat Sifat Operasi Bilangan Berpangkat Beserta Contoh Soal Dan Pembahasannya Berpendidikan Com
www.berpendidikan.com

Rumus Rumus Matematika Pengertian Operasi Rumus Dan Sifat Sifat Bilangan Berpangkat
rumus-matematika-sd-sma.blogspot.com

Hasil Operasi Bilangan Berpangkat Part 1 Matematika Kelas 9 Smp Youtube
www.youtube.com

Bilangan Berpangkat 1 Soal Dan Penyelesaian Youtube
www.youtube.com

Sederhanakan Bentuk Berikut Menggunakan Sifat Sifat Operasi Hitung Bilangan Brainly Co Id
brainly.co.id

Materi Tutorial Un Matematika 2014 1 Melakukan Menghitung Hasil Operasi Bilangan Berpangkat 3 Menyederhanakan Pecahan Bentuk Akar 4 Pengertian Pangkat Berdasarkan Perkalian Pdf Document
fdokumen.com

Anak Kelas 9 Yuk Pahami Materi Bilangan Berpangkat Bulat Positif Negatif Dan Nol Ini
www.quipper.com

Bilangan Berpangkat N Lengkap Dengan Contoh Soal Dan Pembahasan
m.utakatikotak.com

Bab 1 Matematika Wajib By Abdullah Sman 1 Genteng Issuu
issuu.com

Mengenal Pangkat Tak Sebenarnya Rumus Matematika
rumus-matematika.com

Https Encrypted Tbn0 Gstatic Com Images Q Tbn 3aand9gct2widqlkwyuksskh6aieojjhvorw3uij68wnhm2erynsemfm9q Usqp Cau
encrypted-tbn0.gstatic.com

Imath Menyelesaikan Bentuk Pangkat Aljabar Dan Pangkat Suatu Bilangan
imathsolution.blogspot.com

Operasi Hitung Bilangan Berpangkat Mari Berhitung
catatanutamidewi.wordpress.com

Sifat Penjumlahan Dan Pengurangan Bilangan Berpangkat
mafia.mafiaol.com

Rpp Revisi 2017 Matematika Kelas 9 Smp
www.slideshare.net

Operasi Penjumlahan Bilangan Pecahan Dan Berpangkat Youtube
www.youtube.com

Operasi Hitung Bilangan Berpangkat 2 Dengan Cara Metris Guraruguraru
guraru.org

Contoh Soal Operasi Bilangan Berpangkat Dan Bentuk Akar Kumpulan Soal Pelajaran 8
soalujian-78.blogspot.com

Contoh Soal Bilangan Berpangkat
rumusrumus.com

Bilangan Berpangkat Jenis Sifat Operasi Hitung Soal Penyelesaian
www.yuksinau.id

Cara Mengerjakan Operasi Hitung Bilangan Pangkat 3 Guru Ilmu Sosial
www.ilmusosial.id

Bilangan Berpangkat Jenis Sifat Operasi Hitung Soal Penyelesaian
www.yuksinau.id

Penjumlahan Pangkat Pecahan Ucun Matematika Smp 2019 Mgmp Dki Prediksi Unbk Youtube
m.youtube.com

Doc Bab 5 Bilangan Berpangkat Dan Bentuk Akar Deasyra Syamsudin Academia Edu
www.academia.edu

Bilangan Berpangkat Jenis Sifat Operasi Hitung Soal Penyelesaian
www.yuksinau.id

Operasi Hitung Campuran Bilangan Bulat Contohsoal Idschool
idschool.net

Sifat Sifat Operasi Bilangan Berpangkat Beserta Contoh Soal Dan Pembahasannya Berpendidikan Com
www.berpendidikan.com

Tentukan Hasil Operasi Bilangan Berpangkat Berikut Ini A 3 Pangkat 1 3 Pangkat 0 B Negatif 3 Brainly Co Id
brainly.co.id

Bilangan Berpangkat School Math
matematika672.wordpress.com

Sifat Sifat Operasi Bilangan Berpangkat Beserta Contoh Soal Dan Pembahasannya Berpendidikan Com
www.berpendidikan.com

Perpangkatan Cara Menghitung Pangkat Sifat Dan Tabel Perpangkatan
www.advernesia.com

Matematika Kelas 9 Bilangan Berpangkat Pengertian Dan Sifatnya
blog.ruangguru.com

6 Sifat Operasi Hitung Bilangan Berpangkat Beserta Contoh Soal Dan Penyelesaiannya
mathinsciences.blogspot.com

Operasi Hitung Campuran Bilangan Pangkat Dua Dan Contohnya
www.belajarmtk.com

Contoh Soal Bilangan Berpangkat Bulat Positif Negatif Dan Nol Buat Kamu Anak Kelas 9
www.quipper.com

Matematika Kelas 9 Bilangan Bentuk Akar Sifat Sifat Dan Cara Merasionalkannya
blog.ruangguru.com

Materi Bilangan Berpangkat Cara Menghitung Pangkat Sifat Dan Tabel Perpangkatan
www.utakatikotak.com

Contoh Soal Bilangan Berpangkat Bulat Positif Negatif Dan Nol Buat Kamu Anak Kelas 9
www.quipper.com

Bilangan Berpangkat Dan Bentuk Akar Anikasari
anikasari.wordpress.com

Sifat Sifat Operasi Bilangan Berpangkat Beserta Contoh Soal Dan Pembahasannya Berpendidikan Com
www.berpendidikan.com

Sederhanakan Hasil Operasi Bilangan Berpangkat Berikut Brainly Co Id
brainly.co.id

Buku Matematika Kelas 9 Pages 51 100 Flip Pdf Download Fliphtml5
fliphtml5.com

Cara Menghitung Nilai Pangkat 2 Pangkat 3 Dan Pangkat N Dari Sebuah Bilangan Matematika Empati Luas Lingkaran
id.pinterest.com

Bilangan Berpangkat Dan Bentuk Akar 9
studylibid.com

Bilangan Berpangkat Jenis Sifat Operasi Hitung Soal Penyelesaian
www.yuksinau.id

Cara Mengerjakan Bilangan Berpangkat Pecahan Guru Ilmu Sosial
www.ilmusosial.id

Tentukan Hasil Operasi Bilangan Berpangkat Berikut Dalam Bentuk Akar Dibantu Ya Brainly Co Id
brainly.co.id

Bilangan Berpangkat Dan Bentuk Akar Anikasari
anikasari.wordpress.com

Contoh Soal Pecahan Berpangkat Bilangan Bulat Kumpulan Soal Pelajaran 8
soalujian-78.blogspot.com

Bilangan Berpangkat Jenis Sifat Operasi Hitung Soal Penyelesaian
www.yuksinau.id

Hitunglah Hasil Operasi Bilangan Berpangkat Brainly Co Id
brainly.co.id

Rangkuman Dan Soal Bilangan Berpangkat Dan Bentuk Akar Materi Belajar Dari Rumah Di Tvri Untuk Smp Semua Halaman Bobo
bobo.grid.id

Operasi Perpangkatan Bse Matematika Kelas 9 K13 Lat1 5 No 06 Eksponensial Youtube
www.youtube.com

Bilangan Pangkat Pecahan Definisi Rumus Sifat Operasi Hitung Contoh Soal Dan Pembahasan Blog Matematika
blogmipa-matematika.blogspot.com

Matematika Kelas 9 Bilangan Berpangkat Pengertian Dan Sifatnya
blog.ruangguru.com

Bab Iv Bilangan Berpangkat Dan Bentuk Akar
studylibid.com

Bilangan Berpangkat Materi Contoh Soal Operasi Hitung Sifat Jenis
www.pintarnesia.com

Bilangan Berpangkat Nol Berpangkat Negatif Berpangkat Pecahan Dan Operasi Bentuk Akar Youtube
www.youtube.com

Tentukan Hasil Operasi Bilangan Berpangkat Berikut Dalam Bentuk Akar Dibantu Ya Brainly Co Id
brainly.co.id

Sifat Sifat Operasi Bilangan Berpangkat Beserta Contoh Soal Dan Pembahasannya Berpendidikan Com
www.berpendidikan.com

Cara Mengerjakan Bilangan Berpangkat Besar Guru Ilmu Sosial
www.ilmusosial.id

Contoh Soal Dan Pembahasan Sifat Sifat Bilangan Bulat Smp Kelas 7 Vii Terbaru
www.sheetmath.com

close