Sangat Membantu

Contoh Soal Pembagian Bersusun Panjang


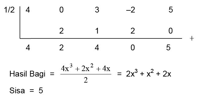
Suku Banyak Dan Cara Horner Pendidikan Matematika Laman 2
yos3prens.wordpress.com

Hasil Bagi Dan Sisa Pembagian Rizkywahyuindriyani
rizkywahyuindriyani.wordpress.com

Pembagian Susun Dengan Hasil Desimal Gurukatro
www.gurukatro.com

Cara Cepat Menjumlahkan Dua Bilangan 3 Angka Dengan Bersusun Panjang
www.dosenmatematika.co.id

Https Encrypted Tbn0 Gstatic Com Images Q Tbn 3aand9gcrziiwdwq9k0aukghkeheyasua4p1l Nskcnxdotbwiucvzrmpo Usqp Cau
encrypted-tbn0.gstatic.com

Matematika Menjawab Cara Baru Operasi Pembagian Dengan Metode Hitung Cepat Matematika Menjawab
www.matematikamenjawab.com

Perkalian Tabel Perkalian 1 10 Dan Cara Menghitung Perkalian
www.advernesia.com

Soal Matematika Kelas 2 Penjumlahan Bersusun Panjang
belajarbarengs.web.app

50 Contoh Soal Pembagian Bersusun Dan Pembahasannya
penapengajar.com

Cara Pembagian Bersusun Porogapit 2 76 Brainly Co Id
brainly.co.id

Soal Soal Latihan Suku Banyak
www.slideshare.net

Cara Pembagian Bersusun Porogapit Puluhan Ratusan Ribuan
bidangstudi.com

Https Bsd Pendidikan Id Data Sd 3 Cerdas Berhitung Matematika 3 Kelas 3 Nur Fajariah Devi Triratnawati 2008 Pdf

Soal Operasi Hitung Perkalian Satu Angka Dengan 3 Angka
www.dosenmatematika.co.id

Matematika Kelas 3 Sd
www.slideshare.net

Cara Pembagian Bersusun Pendek 215 5 Brainly Co Id
brainly.co.id

Operasi Hitung Bilangan Cacah Tutorialpelajaran Com
tutorialpelajaran.com

Suku Banyak Matematika Kelas 11 Pengertian Pembagian Dan Contoh Soal Quipper Blog
www.quipper.com

Cara Menghitung Pembagian Ribuan Dengan Metode Bersusun Porogapit
www.matematika.anaktoraja.com

Cara Mengerjakan Porogapit Ribuan Guru Ilmu Sosial
www.ilmusosial.id

Kumpulan Soal Perkalian Satu Angka Dengan 2 Angka
www.dosenmatematika.co.id

Soal Dan Pembahasan Suku Banyak Polinomial Tingkat Sma Sederajat Mathcyber1997
mathcyber1997.com

Cara Cepat Pembagian Bersusun Panjang Poro Gapit Kurung Pistol 2 Youtube
www.youtube.com

Cara Mengerjakan Bagi Kurung Ratusan Guru Ilmu Sosial
www.ilmusosial.id

Operasi Pembagian Pada Polinomial Materi Lengkap Matematika
www.materimatematika.com

Matematika Kelas 3 Sd
www.slideshare.net

Contoh Soal Cerita Perkalian Dan Pembagian Kelas 3 Sd Chafia Science
chafias.com

Pembagian Bersusun Panjang 364 4 Brainly Co Id
brainly.co.id

Soal Operasi Hitung Pembagian 4 Sd
www.dosenmatematika.co.id

Http E Repository Perpus Iainsalatiga Ac Id 386 1 Siti 20ratnasari 11510041 Pdf

5 Cara Untuk Mengerjakan Pembagian Wikihow
id.wikihow.com

Contoh Soal Operasi Pembagian Bentuk Aljabar
mafia.mafiaol.com

Cara Mudah Bersusun Pendek Untuk Menyelesaikan Perkalian
www.dosenmatematika.co.id

Materi Pembelajaran Kelas 4 Sekolah Dasar Ppt Download
slideplayer.info

Pembagian Tabel Pembagian Dan Cara Pembagian Bersusun
www.advernesia.com

Pembagian Polinom
maths.id

Berbagainfo Operasi Hitung Perkalian Dan Pembagian
berbagainfo12.blogspot.com

Perkalian Tabel Perkalian 1 10 Dan Cara Menghitung Perkalian
www.advernesia.com

Cara Mengerjakan Bagi Kurung Ribuan Guru Ilmu Sosial
www.ilmusosial.id

Suku Banyak Matematika Kelas 11 Pengertian Pembagian Dan Contoh Soal Quipper Blog
www.quipper.com

Porogapit Cara Pembagian Bersusun Mudah Tanpa Kalkulator
rumusonline.com

Cara Mengerjakan Pembagian Bersusun Guru Ilmu Sosial
www.ilmusosial.id

Cara Bersusun Panjang Perkalian Dua Angka Dengan Bilangan Dua Angka
www.dosenmatematika.co.id

Berbagainfo Soal Uh Operasi Hitung Perkalian Dan Pembagian
berbagainfo12.blogspot.com

2 Sd Menjumlahkan Dua Angka Dengan Tiga Angka Dengan Cara Bersusun Pendek
www.dosenmatematika.co.id

Cara Mengerjakan Soal Pembagian Bilangan Asli Youtube
www.youtube.com

Pembagian Tabel Pembagian Dan Cara Pembagian Bersusun
www.advernesia.com

Contoh Soal Matematika Pembagian Ribuan Kumpulan Soal Pelajaran 3
kumpulansoal-113.blogspot.com

Penjumlahan Dan Pengurangan Bilangan Bersusun
www.belajarmtk.com

Contoh Soal Pembagian Sd Kelas 3
belajarbarengmudah.web.app

Operasi Pembagian Pada Polinomial Materi Lengkap Matematika
www.materimatematika.com

Cara Mengerjakan Soal Pembagian Bilangan Asli Youtube
www.youtube.com

Matematika Kelas 3 Sd
www.slideshare.net

Soal Matematika Kelas 3 Sd Pembagian
belajarbarengsay.web.app

Sc 5 Pembagian Bersusun Kelas 3 Matematika Sd Youtube
www.youtube.com

Operasi Hitung Perkalian Dan Pembagian
mandiribelajarsains.blogspot.com

Operasi Hitung Perkalian Dan Pembagian Perkalian Dengan Cara Bersusun Panjang
es.scribd.com

Edisi Revisi 2017 Kelas 7 Smp Matematika Siswa 42423 Pages 101 150 Text Version Fliphtml5
fliphtml5.com

Pembagian Polinom
maths.id

Http Digilib Uinsby Ac Id 31084 1 Hani 27 20annuni D97215092 Pdf

Http Publikasijurnalilmiah Com Wp Content Uploads 2020 05 Volume 2 Nomor 2 10 Pdf

Gimana Cara Atau Contoh Soal 3 72 Pembagian Bersusun Panjang Brainly Co Id
brainly.co.id

Penggunaan Paket Polynom Latex Pada Pembagian Fungsi Polinomial Wellcome To My Blog
alfysta.wordpress.com

Operasi Pembagian Suku Banyak Konsep Matematika Koma
www.konsep-matematika.com

Soal Soal Latihan Suku Banyak
www.slideshare.net

Cara Menyelesaikan Pembagian Bersusun Dengan Metode Porogapit Materi Belajar
www.materi4belajar.com

Pembagian Bilangan Dan Cara Pembagian Bersusun Porogapit
www.belajarmtk.com

Assalamu Alaikum Wr Wb Ppt Download
slideplayer.info

Http Digilib Uinsby Ac Id 31084 1 Hani 27 20annuni D97215092 Pdf

Pembagian Polinomial Oleh Polinomial Derajat Dua Dengan Cara Bersusun Horner Dan Horner Kino M4th Lab
www.m4th-lab.net

Pembagian Bersusun Kelas 3 Sd
belajarbarengmudah.web.app

Pembagian Susun Tingkat Awal Gurukatro
www.gurukatro.com

Edisi Revisi 2017 Kelas 7 Smp Matematika Siswa 42423 Pages 101 150 Text Version Fliphtml5
fliphtml5.com

Operasi Pembagian Pada Polinomial Materi Lengkap Matematika
www.materimatematika.com

4 Cara Untuk Melakukan Pembagian Bersusun Panjang Wikihow
id.wikihow.com

Operasi Pembagian Pada Polinomial Materi Lengkap Matematika
www.materimatematika.com

Cara Mengerjakan Pembagian Guru Ilmu Sosial
www.ilmusosial.id

Pdf Rangkuman Materi Matematika Contoh Soal Dan Pembahasan Berdasarkan Kisi Kisi Ujian Sekolah Berstandart Nasional Usbn Tahun Pelajaran 2017 2018 Eko Siswanto Academia Edu
www.academia.edu

Soal Perkalian Bersusun Panjang Kelas 4 Kunci Ujian
kunciujianbaru.blogspot.com

Doc Rpp Matematika Bab 3 Kls 3 Reny Oktonia Academia Edu
www.academia.edu

Soal Pembagian Kelas 3 Sd Beserta Jawabannya Terbaru 2020
materibelajar.co.id

Soal Matematika Bersusun Panjang Kunci Dunia
kuncidunia-31.blogspot.com

Perkalian Bilangan Cara Perkalian Bersusun Panjang Dan Pendek
www.belajarmtk.com

Cara Menghitung Pembagian Dengan Mudah Dan Benar
caraharian.com

Pembagian Sekolah Dasar Kelas 4 Youtube
www.youtube.com

Hot Contoh Soal Pembagian Bersusun Panjang
terupdatelatihansoal.blogspot.com

Pembagian Suku Banyak Dan Contoh Soalnya Madematika
www.madematika.net

Pembagian Bersusun Panjang
belajarbarengmudah.web.app

Operasi Pembagian Pada Polinomial Materi Lengkap Matematika
www.materimatematika.com

4 Cara Untuk Melakukan Pembagian Bersusun Panjang Wikihow
id.wikihow.com

Perkalian Bersusun Pembagian Bersusun Pendek Kelas 3 Sd
belajarbarengmudah.web.app

Doc Perkalian Dan Pembagian Kelas 3 Sd Lilik L Muharian Sari Academia Edu
www.academia.edu

Bagaimana Cara Mengerjakan Pembagian Guru Ilmu Sosial
www.ilmusosial.id

Materi Kelas 11 Suku Banyak Pengertian Pembagian Dan Contoh Soal Rumushitung Com
rumushitung.com

5 Cara Untuk Mengerjakan Pembagian Wikihow
id.wikihow.com

Matematika Untuk Kelas 3 Tri Dayat
www.slideshare.net

Saya Mau Tanya Cara Pembagian Porogapit 1 364 4 2 444 4 3 225 5 4 335 5 Tolong Bantu Jawab Brainly Co Id
brainly.co.id

Contoh Soal Matematika Pembagian Ribuan Kunci Dunia
kuncidunia-31.blogspot.com

Operasi Hitung Perkalian Dan Pembagian Kelas 3 Sd Chafia Science
chafias.com

4 Cara Untuk Melakukan Pembagian Bersusun Panjang Wikihow
id.wikihow.com

Materi Kelas 11 Suku Banyak Pengertian Pembagian Dan Contoh Soal Rumushitung Com
rumushitung.com

close