Sangat Membantu

Contoh Soal Pembagian Polinomial Dengan Cara Bersusun Panjang


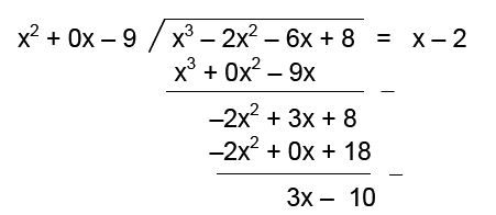
Pembagian Bersusun Pendidikan Matematika
yos3prens.wordpress.com

Suku Banyak Matematika Kelas 11 Pengertian Pembagian Dan Contoh Soal Quipper Blog
www.quipper.com

Suku Banyak Dan Cara Horner Pendidikan Matematika Laman 3
yos3prens.wordpress.com

Pembagian Polinomial Oleh Polinomial Derajat Dua Dengan Cara Bersusun Horner Dan Horner Kino Berkat Ilmu
berkatilmu21.blogspot.com

Operasi Pembagian Pada Polinomial Materi Lengkap Matematika
www.materimatematika.com

Materi Aljabar Polinomial
www.slideshare.net

Aljabar Polinomial
id.scribd.com

Cara Mengerjakan Pembagian Bersusun Guru Ilmu Sosial
www.ilmusosial.id

Pembagian Porogapit Pembagian Bersusun Aljabar Pembagian Suku Banyak Youtube
www.youtube.com

Pembagian Dengan Cara Bersusun Panjang
belajarbarengmudah.web.app

Polinomial Youtube
www.youtube.com

Hlie1qdxkgiu M

Pembagian Suku Banyak Dan Contoh Soalnya Madematika
www.madematika.net

Pembagian Suku Banyak Dalam Bentuk Kuadrat Rizkywahyuindriyani
rizkywahyuindriyani.wordpress.com

Suku Banyak Matematika Kelas 11 Pengertian Pembagian Dan Contoh Soal Quipper Blog
www.quipper.com

Contoh Soal Pembagian Suku Banyak Dengan Cara Horner Dapatkan Contoh
dapatkancontoh.blogspot.com

Cara Mengerjakan Pembagian Bersusun Guru Ilmu Sosial
www.ilmusosial.id

Mencari Nilai Suku Banyak Menggunakan Metode Subtitusi Dan Metode Menurun
www.dosenmatematika.co.id

Pembagian Dengan Cara Bersusun Panjang
belajarbarengmudah.web.app

Pembagian Polinom
maths.id

Operasi Pembagian Suku Banyak Konsep Matematika Koma
www.konsep-matematika.com

Suku Banyak Matematika Kelas 11 Pengertian Pembagian Dan Contoh Soal Quipper Blog
www.quipper.com

Pembagian Polinom
maths.id

Materi Suku Banyak Pojok Matematika
www.pojokmatematika.com

Sisa Pembagian P X X 3 Ax 2 4x 2b 1oleh X 2 4adalah B 3a Jikap X Habis Dibagi X 1 Maka A 2 B Youtube
www.youtube.com

Soal Dan Pembahasan Suku Banyak Polinomial Tingkat Sma Sederajat Mathcyber1997
mathcyber1997.com

Operasi Pembagian Pada Polinomial Materi Lengkap Matematika
www.materimatematika.com

Pembagian Suku Banyak Idschool
idschool.net

Materi Kelas 11 Suku Banyak Pengertian Pembagian Dan Contoh Soal Rumushitung Com
rumushitung.com

Polinomial Suku Banyak Matematika Mudah
yusepbahrul90.blogspot.com

Polinomial Pdf
id.scribd.com

Materi Aljabar Polinomial
www.slideshare.net

Cara Mengerjakan Pembagian Bersusun Guru Ilmu Sosial
www.ilmusosial.id

Contoh Soal Pembagian Contoh Soal Dan Materi Pelajaran 7
duniabelajarsiswapintar207.blogspot.com

Materi Aljabar Polinomial
www.slideshare.net

Operasi Pembagian Pada Polinomial Materi Lengkap Matematika
www.materimatematika.com

Cara Mengerjakan Soal Pembagian Guru Ilmu Sosial
www.ilmusosial.id

Suku Banyak Matematika Kelas 11 Pengertian Pembagian Dan Contoh Soal Quipper Blog
www.quipper.com

Suku Banyak Part 5 Pembagian Horner Kino Youtube
www.youtube.com

Operasi Pembagian Pada Polinomial Materi Lengkap Matematika
www.materimatematika.com

Cara Cepat Pembagian Porogapit Mahir Untuk Aljabar Youtube
www.youtube.com

Cara Mengerjakan Soal Pembagian Guru Ilmu Sosial
www.ilmusosial.id

Operasi Pembagian Pada Polinomial Materi Lengkap Matematika
www.materimatematika.com

Pembagian Polinom
maths.id

Operasi Pembagian Pada Polinomial Materi Lengkap Matematika
www.materimatematika.com

Cara Membagi Bersusun Bentuk Aljabar Polinomial Dengan Mudah Dan Benar 1 Youtube
m.youtube.com

Materi Aljabar Polinomial
www.slideshare.net

Operasi Pembagian Suku Banyak Konsep Matematika Koma
www.konsep-matematika.com

Operasi Pembagian Pada Polinomial Materi Lengkap Matematika
www.materimatematika.com

Pembagian Suku Banyak Dan Contoh Soalnya Madematika
www.madematika.net

Materi Aljabar Polinomial
www.slideshare.net

Contoh Soal Pembagian Suku Banyak Dengan Cara Horner Dapatkan Contoh
dapatkancontoh.blogspot.com

Suku Banyak Matematika Kelas 11 Pengertian Pembagian Dan Contoh Soal Quipper Blog
www.quipper.com

Pembagian Polinomial Oleh Polinomial Derajat Dua Dengan Cara Bersusun Horner Dan Horner Kino M4th Lab
www.m4th-lab.net

Dara Filda
www.slideshare.net

Suku Banyak Matematika Kelas 11 Pengertian Pembagian Dan Contoh Soal Quipper Blog
www.quipper.com

Suku Banyak Pembagian Teorema Sisa Teorema Faktor Contoh Soal
www.studiobelajar.com

Polinom
id.scribd.com

Pembagian Polinom
maths.id

Pembagian Polinomial Oleh Polinomial Derajat Dua Dengan Cara Bersusun Horner Dan Horner Kino Berkat Ilmu
berkatilmu21.blogspot.com

Operasi Pembagian Pada Polinomial Materi Lengkap Matematika
www.materimatematika.com

Operasi Pembagian Pada Polinomial Materi Lengkap Matematika
www.materimatematika.com

Operasi Pembagian Pada Polinomial Materi Lengkap Matematika
www.materimatematika.com

Pembagian Suku Banyak Dan Contoh Soalnya Madematika
www.madematika.net

Suku Banyak Matematika Kelas 11 Pengertian Pembagian Dan Contoh Soal Quipper Blog
www.quipper.com

Pembagian Polinomial Oleh Polinomial Derajat Dua Dengan Cara Bersusun Horner Dan Horner Kino M4th Lab
www.m4th-lab.net

Operasi Pembagian Pada Polinomial Materi Lengkap Matematika
www.materimatematika.com

Soal Dan Pembahasan Suku Banyak Polinomial Tingkat Sma Sederajat Mathcyber1997
mathcyber1997.com

Pembagian Suku Banyak Dalam Bentuk Kuadrat Rizkywahyuindriyani
rizkywahyuindriyani.wordpress.com

Suku Banyak Matematika Kelas 11 Pengertian Pembagian Dan Contoh Soal Quipper Blog
www.quipper.com

Operasi Pembagian Suku Banyak Konsep Matematika Koma
www.konsep-matematika.com

Cara Mengerjakan Pembagian Bersusun Guru Ilmu Sosial
www.ilmusosial.id

Polinomial Materi Syarat Operasi Hitung Contoh Soal Pembahasan
www.yuksinau.id

Contoh Soal Pembagian Suku Banyak Dan Metode Horner
www.utakatikotak.com

Polinomial Suku Banyak Matematika Mudah
yusepbahrul90.blogspot.com

Materi Aljabar Polinomial
www.slideshare.net

Sbmptn Suku Banyak 2x 3 Px 2 Qx 6 Dan 2x 3 3x 2 4x 1 Bersisa Sama Apabila Dibagi X 1 Nilai P Q Youtube
www.youtube.com

Metode Pembagian Suku Banyak Polinomial Rumus Matematika
rumus-matematika.com

Suku Banyak Matematika Kelas 11 Pengertian Pembagian Dan Contoh Soal Quipper Blog
www.quipper.com

Pembagian Dengan Cara Bersusun Panjang
belajarbarengmudah.web.app

Materi Aljabar Polinomial
www.slideshare.net

Suku Banyak Polinomial Contoh Teorema Sisa Dengan Pembagian Youtube
www.youtube.com

Cara Mengerjakan Soal Pembagian Guru Ilmu Sosial
www.ilmusosial.id

Soal Soal Latihan Suku Banyak
www.slideshare.net

Pembagian Suku Banyak Idschool
idschool.net

Cara Membagi Suku Banyak Polinomial Dengan Metode Pembagian Biasa Youtube
www.youtube.com

Pembagian Suku Banyak Idschool
idschool.net

Operasi Pembagian Suku Banyak Konsep Matematika Koma
www.konsep-matematika.com

Soal Soal Latihan Suku Banyak
www.slideshare.net

Jika Polinomial F X Habis Dibagi 2x 1 Maka Sisa Pembagian F X Jika Dibagi Dengan G X 2x 2 X 1 Youtube
www.youtube.com

P O L I N O M I A L Suku Banyak Choirudin M Pd Ppt Download
slideplayer.info

Suku Banyak Matematika Kelas 11 Pengertian Pembagian Dan Contoh Soal Quipper Blog
www.quipper.com

Pembagian Polinomial Oleh Polinomial Derajat Dua Dengan Cara Bersusun Horner Dan Horner Kino M4th Lab
www.m4th-lab.net

Operasi Pembagian Pada Polinomial Materi Lengkap Matematika
www.materimatematika.com

Cara Mengerjakan Soal Pembagian Guru Ilmu Sosial
www.ilmusosial.id

Pembagian Polinomial Oleh Polinomial Derajat Dua Dengan Cara Bersusun Horner Dan Horner Kino M4th Lab
www.m4th-lab.net

Suku Banyak Dan Cara Horner Pendidikan Matematika Laman 2
yos3prens.wordpress.com

Pembagian Polinomial Oleh Polinomial Derajat Dua Dengan Cara Bersusun Horner Dan Horner Kino M4th Lab
www.m4th-lab.net

Pembagian Suku Banyak Idschool
idschool.net

Rangkuman Soal Pembahasan Bab Polinomial
dhamarar.blogspot.com

close