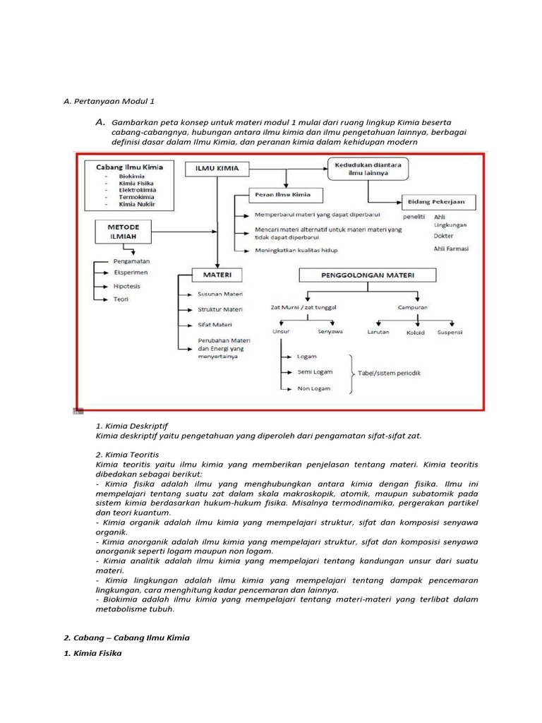
Sangat Membantu

Definisi Ilmu Kimia


Manfaat Ilmu Kimia Dalam Kehidupan
id.scribd.com

Manfaat Ilmu Kimia Website Pendidikan
www.websitependidikan.com

Doc Kimia Lingkungan Glen Aritonanag Academia Edu
www.academia.edu

Pengertian Ilmu Kimia Dan Bidang Bidang Kimia My Stupid Theory
mystupidtheory.com

Pengertian Kimia Unsur Jenis Dan Contohnya Ilmu Kimia
www.pakarkimia.com

Ilmu Kimia Dasar For Android Apk Download
apkpure.com

Pdf Peranan Kimia Dalam Sandang Dan Pangan Imam Bachrul Academia Edu
www.academia.edu

Definisi Ilmu Kimia Dewi Irtawati Blog S
dewiirtawati.wordpress.com

Pengenalan Ilmu Kimia
www.slideshare.net

Pengertian Ilmu Kimia Menurut Para Ahli Dan Cabang Cabangnya
caloninsinyure.com

10 Soal Dan Jawaban Peran Kimia Dalam Kehidupan Serta Hakikat Ilmu Kimia Dan Metode Ilmiah Materi Kimia
materikimia.com

Pengertian Ilmu Kimia Secara Umum Dan Menurut Para Ahli
www.sumberpengertian.id

Kimintekhijau Com Manfaat Kimia Terapan Dalam Kehidupan Sehari Hari
infostudikimia.blogspot.com

Manfaat Kimia
id.scribd.com

Jelaskan Pengertian Ilmu Kimia Brainly Co Id
brainly.co.id

Manfaat Kimia Doc Document
fdokumen.com

Bab 1 Pengenalan Ilmu Kimia Ppt Download
slideplayer.info

Contoh Penerapan Ilmu Kimia Dalam Kehidupan Sehari Hari
www.caloninsinyure.com

Https Encrypted Tbn0 Gstatic Com Images Q Tbn 3aand9gct3ng9iblvlznln86gn7rfjhucz5lrtuvluxpduvcjh5kl0tiwl Usqp Cau
encrypted-tbn0.gstatic.com

Apa Itu Kimia Definisi Sejarah Cabang Hal Yang Dipelajari Ilmu Kimia
www.ilkimia.com

Perbedaan Pengertian Fisika Kimia Biologi Ilmu Bumi Dan Antariksa Kinasa Net
www.kinasa.net

Pengertian Serta Contoh Isotop Isobar Dan Isoton Siswapedia
www.siswapedia.com

Peranan Ilmu Kimia Dalam Bidang Pangan
id.scribd.com

Manfaat Ilmu Kimia Dalam Kehidupan Sehari Hari
www.slideshare.net

Kimia Organik Ilmu Kimia Artikel Dan Materi Kimia
www.ilmukimia.org

Pengertian Ilmu Kimia
www.slideshare.net

Masbadar Com Pelajaran Kimia Smp Kelas 7 Tentang Definisi Sejarah Dan Cabang By Masbadar Issuu
issuu.com

Ilmu Kimia Artikel Dan Materi Kimia
www.ilmukimia.org

Definisi Molaritas Dalam Ilmu Kimia Sains Kimia
sainskimia.com

Hakikat Kimia
www.slideshare.net

Berkenalan Dengan Ilmu Kimia
studylibid.com

Pengertian Kimia Sejarah Cabang Konsep Industri Manfaat
www.gurupendidikan.co.id

Apa Definisi Dari Ilmu Kimia Kimia Dictio Community
www.dictio.id

Cabang Ilmu Kimia Pengertian Manfaat Peranan Dasar Hakikat
www.dosenpendidikan.co.id

Kimia Ekimia Web Id
ekimia.web.id

Hakikat Ilmu Kimia Kimia Kelas 10 Pengertian Prinsip Dasar Ruang Lingkup Quipper Blog
www.quipper.com

Definisi Mudah Ilmu Kimia Dasar Bagi Pelajar Ranau Kabar
ranaukabar.blogspot.com

Kimintekhijau Com Pentingnya Mengetahui Ilmu Kimia
infostudikimia.blogspot.com

Hakikat Ilmu Kimia Bagian Ke 2
anyflip.com

Definisi Atom Beserta Teori Teori Atom
majalahpendidikan.com

Definisi Isotop Dan Contoh Nya Dalam Ilmu Kimia Sains Kimia
sainskimia.com

Bab 1 Pengenalan Ilmu Kimia
id.scribd.com

Definisi Kimia Dasar General Chemistry Adalah Bagian Dari Ilmu Kimia Yang Mempelajari Hukum Hukum Dasar Yang Berlaku Pada Materi Dasar Dasar Sifat Ppt Download
slideplayer.info

Hakikat Ilmu Kimia Dalam Kehidupan Sehari Hari My Stupid Theory
mystupidtheory.com

Kimia Bab1
www.slideshare.net

Warna Warni Molekul Dna Cetak Biologi Dekorasi Kamar Kimia Definisi Ilmu Kantor Dinding Art Lukisan Minimalis Poster Aliexpress
id.aliexpress.com

Bidang Ilmu Kimia
erapee.com

Pengertian Kimia Cabang Ilmu Contoh Zat Rumus Dan Pelajaran Sma Jagad Id
jagad.id

Pengenalan Ilmu Kimia
www.slideshare.net

Stoikiometri Materi Pengertian Rumus Contoh Soal
rumusrumus.com

Dasar Dasar Ilmu Kimia Dan Reaksi Kimia Kimia Dasar I Najih Web Id
najihullah.blogspot.com

Ilmu Kimia Peranan Dan Perkembangannya Ppt Download
slideplayer.info

Definisi Ilmu Kimia Dewi Irtawati Blog S
dewiirtawati.wordpress.com

Analisis Konsep Sma Kelompok Docx
pdfslide.tips

Hakikat Ilmu Kimia Easy Zyluv
sites.google.com

Hukum Hukum Dasar Ilmu Kimia Siswapedia
www.siswapedia.com

Pengertian Ciri Sifat Unsur Serta Contoh Dalam Ilmu Kimia
www.jatikom.com

Manfaat Ilmu Kimia Dalam Kehidupan
id.scribd.com

Kimia Bab2
dokumen.tips

Pengenalan Ilmu Kimia
www.slideshare.net

Hukum Kekekalan Massa Hukum Lavoisier Ilmu Kimia Contoh Soal
rumusrumus.com

Kimia Wikipedia Bahasa Indonesia Ensiklopedia Bebas
id.wikipedia.org

Pengertian Asam Dan Contoh Asam Dalam Ilmu Kimia Sekolah007
www.sekolah007.com

Kimia Definisi Ilmu Gambar Png
www.pngdownload.id

Pengertian Ilmu Kimia Cabang Cabang Ilmu Kimia Lengkap
seputarilmu.com

Campuran Homogen Heterogen Contoh Perbedaan Ciri Jenis
www.gurupendidikan.co.id

Diskusi Kimia 1 Ut
id.scribd.com

Pengertian Kimia Dasar Hukum Dan Cabangnya Ilmu Kimia
www.pakarkimia.com

Ilmu Kimia Dasar For Android Apk Download
apkpure.com

Peran Kimia Dalam Kehidupan Hakikat Ilmu Kimia Metode Ilmia Dan Keselamatan Kerja Dream High Make It True
sites.google.com

Definisi Kimia Dari Berbagai Sumber
rumushitung.com

Pengertian Bahan Kimia Jenis Dan Contohnya Ilmu Kimia
www.pakarkimia.com

Jelaskan Pengertian Ilmu Kimia Secara Lengkap Brainly Co Id
brainly.co.id

Pengenalan Ilmu Kimia Part 1 Youtube
www.youtube.com

Doc Peranan Ilmu Kimia Dalam Bidang Pertanian Romario Amri Academia Edu
www.academia.edu

Kimia Ruang Lingkup Dan Perkembangan Ilmu Kimia
www.slideshare.net

Definisi Kimia Analisis Ppt Download
slideplayer.info

Brand Organization Product Design Line Efek Asap Angle Text Png Pngegg
www.pngegg.com

Kimintekhijau Com Mengenal Ilmu Kimia
infostudikimia.blogspot.com

Peranan Ilmu Kimia Dalam Bidang Kesehatan My Stupid Theory
mystupidtheory.com

Sekilas Tentang Ilmu Kimia
kismk.blogspot.com

30 Contoh Soal Pengenalan Ilmu Kimia Dan Jawaban Pembahasan
soalkimia.com

Bab 1
studylibid.com

Pengantar Kimia Analisis
studylibid.com

Peranan Ilmu Kimia Dalam Kehidupan Sehari Hari
www.jatikom.com

Hukum Dasar Kimia Lengkap Dengan Bunyi Hukum Dan Rumus
materibelajar.co.id

Hakikat Ilmu Kimia Dan Penerapannya Dalam Kehidupan Sehari Hari Youtube
www.youtube.com

Cabang Ilmu Kimia Pengertian Manfaat Peranan Dasar Hakikat
www.dosenpendidikan.co.id

Kimia Wikipedia Bahasa Indonesia Ensiklopedia Bebas
id.wikipedia.org

Bab 1 Berkenalan Dengan Ilmu Kimia Ppt Download
slideplayer.info

Pengertian Ilmu Kimia
www.slideshare.net

Definisi Kimia Dasar General Chemistry Adalah Bagian Dari Ilmu Kimia Yang Mempelajari Hukum Hukum Dasar Yang Berlaku Pada Materi Dasar Dasar Sifat Ppt Download
slideplayer.info

Hakikat Ilmu Kimia Kimia Kelas 10 Pengertian Prinsip Dasar Ruang Lingkup Quipper Blog
www.quipper.com

Belajar Dan Pembelajaran Kimia Kimia Sentral Semua Ilmu Pengetahuan
danarsaddam.blogspot.com

Definisi Kimia Dasar
bukuipa.co.id

4 Teori Atom Menurut Para Ahli Dan Perkembangannya Ilmu Kimia
www.pakarkimia.com

Definisi Kimia Material
id.scribd.com

Hakikat Ilmu Kimia Pengertian Konsep Dan Karakteristiknya
penerbitbukudeepublish.com

Pengertian Perubahan Fisika Dan Kimia
blog.ruangguru.com

Ruang Lingkup Perkembangan Kimia
www.slideshare.net

Pengertian Ilmu Kimia Sejarah Cabang Manfaat Dan Sifat
www.gurupendidikan.co.id

close