Sangat Membantu

Diketahui Rumus Fungsi F X 5x 3 Hasil Dari F 3x2 Adalah


Fungsi F Dinyatakan Dengan Rumus F X Ax B Jika F 4 19
tripasik.com

Mencari Nilai G X Apabila Fog X Dan F X Diketahui Fungsi Komposisi Samasaya Belajardarirumah Youtube
m.youtube.com

Contoh Soal Fungsi Turunan Beserta Jawaban
id.scribd.com

Kumpulan Soal Matematika
soaldanjawabanmatematikakeren.blogspot.com

Rangkuman Komposisi Fungsi Dan Fungsi Invers Beserta Contoh Soal Yang Di Un Kan Fayza Isna
fayzaisna.wordpress.com

Soal Dan Pembahasan Fungsi Kuadrat Mathcyber1997
mathcyber1997.com

Fungsi Komposisi Materi Pengertian Fungsi Invers Contoh Soal
www.yuksinau.id

Pertemuan I Kalkulus I 3 Sks Ppt Download
slideplayer.info

Diketahui Rumus Fungsi F X 2 3x 4 Maka Nilai F 5 Adalah Brainly Co Id
brainly.co.id

Cara Menentukan Fungsi Genap Atau Ganjil 8 Langkah
id.wikihow.com

Ppt Materi Powerpoint Presentation Free Download Id 3159825
www.slideserve.com

Relasi Dan Fungsi Pertemuan Ii Kalkulus Nina Hairiyah S Tp M Si Ppt Download
slideplayer.info

Diketahui Rumus Fungsi F X 5 3 Hasil Dari F 3x 2 Adalah Brainly Co Id
brainly.co.id

Fungsi Komposisi Pengertian Rumus Sifat Contoh Soal Fungsi Invers
rumus.co.id

Mat S08 Himpunan Relasi Fungsi Fungsi Komposisi Dan Invers Docx
id.scribd.com

Diketahui Suatu Fungsi H Dengan Rumus H X Ax 9 Nilai Fungsi H Untuk X 3 Adalah Youtube
www.youtube.com

Intip Solusi Super Menyelesaikan Soal Fungsi Komposisi Buat Kelas 10 Quipper Line Today
today.line.me

2 Fungsi Komposisi
www.slideshare.net

Diketahui Rumus Fungsi F X 7 3x Jika F A 8dan F 2 B Nilai Dari A B Adalah Brainly Co Id
brainly.co.id

Komposisi Fungsi Fungsi Invers Blog Ilmu Pendidikan
blogilmupendidikancom.home.blog

Fungsi Komposisi A Pengertian Fungsi Komposisi
id.scribd.com

Komposisi Fungsi Dan Fungsi Invers Ppt Download
slideplayer.info

Diketahui Rumus Fungsi F X 3x 7 Dan F 5 A Dan F B 16 F B 16 Tentukan Nilai Dari A B Brainly Co Id
brainly.co.id

Fungsi 1
www.slideshare.net

Tabel Dan Grafik Fungsi
www.slideshare.net

Fungsi Komposisi Materi Pengertian Fungsi Invers Contoh Soal
www.yuksinau.id

1 Integral Nbsp Tentukan Fungsi F X Jika Diketahui Turunan Pertama Fungsi Itu F X 6x 5 Dan F 1 Y Y Dx 4x 3 Dx 2x 2 3x C Melalui Titik A 3 5 Pdf Document
fdokumen.com

Mencari Nilai F X Apabila Fog X Dan G X Diketahui Fungsi Komposisi Samasaya Dirumahaja Youtube
www.youtube.com

Web Viewsuatu Fungsi Dinyatakan Dengan Rumus H X Px Q Jika Diketahui H 6 32 Dan H 4 Docx Document
fdokumen.com

1 Integral Nbsp Tentukan Fungsi F X Jika Diketahui Turunan Pertama Fungsi Itu F X 6x 5 Dan F 1 Y Y Dx 4x 3 Dx 2x 2 3x C Melalui Titik A 3 5 Pdf Document
fdokumen.com

Modul Matematika Kumpulan Soal Akhir Kelas X Xi Xii Pages 1 50 Flip Pdf Download Fliphtml5
fliphtml5.com

Fungsi Part 1 Ppt Matematika Muhlasah Novitasari Mara Fungsi Daftar Slide Definisi Fungsi Invers Fungsi Fungsi Komposisi Operasi Fungsi 3 3 Tujuan Course Hero
www.coursehero.com

Pdf 3 Soal Soal Fungsi Komposisi Dan Fungsi Invers Eka Wulansari Academia Edu
www.academia.edu

1 Himpunan Penyelesaian Dari 5 20 Lt 40 8 Untuk X Anggota Bilangan Bulat Adalah 2 Diketahui Brainly Co Id
brainly.co.id

Soal Matematika Kelas 9
almunawarohbkh.sch.id

Soal Dan Pembahasan Suku Banyak
www.slideshare.net

Soal Dan Pembahasan Matematika Fungsi Komposisi Dan Fungsi Invers 1 5 Istana Mengajar
istanamengajar.wordpress.com

Soal Dan Pembahasan Fungsi Kuadrat Mathcyber1997
mathcyber1997.com

Contoh Soal Fungsi Turunan Beserta Jawaban
id.scribd.com

Smpk Cor Jesu Malang Nama Tugas Matematika Smpk Cor Jesu Malang Tugas Matematika Kelas 8 Materi Pdf Document
fdokumen.com

Doc Rumus Rumus Integral Kalkulus Ii 1 1 Definisi Integral Tak Tentu Indefinite Integral Mamuk Prasetyo Academia Edu
www.academia.edu

Tutorial Cara Mudah Dan Cepat Menentukan Rumus Fungsi G X Yang Diketahui Fog X Dan F X Youtube
www.youtube.com

Soal Menentukan Gof X Dan Gof X Youtube
www.youtube.com

Diketahui Rumus Fungsi F X 3x 7 Jika F A 8 Dan F B 13 Nilai Dari A B Adalah Brainly Co Id
brainly.co.id

Fungsi Invers Sifat Komposisi Contoh Soal Pembahasan
www.yuksinau.id

Doc Bab 10 Fungsi Komposisi Dan Fungsi Invers Fixs Atsnan Fajar Academia Edu
www.academia.edu

Fungsi Komposisi Materi Pengertian Fungsi Invers Contoh Soal
www.yuksinau.id

Intip Solusi Super Menyelesaikan Soal Fungsi Komposisi Buat Kelas 10 Quipper Line Today
today.line.me

19 Modul Turunan Diferensial Pak Sukani
www.slideshare.net

Fungsi Kuadrat Melly Ana Academia Edu
www.academia.edu

Us Mtk Docx
id.scribd.com

Siap Un Matematika Ips Flip Book Pages 201 250 Pubhtml5
pubhtml5.com

April 2016 Ml201 Page 2
ml201.ilearning.me

April 2016 Ml201 Page 2
ml201.ilearning.me

Relasi Dan Fungsi Ppt Download
slideplayer.info

2

Diketahui Rumus Fungsi F X 5x 3 Hasil Dari F 3p 2 Adalah Brainly Co Id
brainly.co.id

Fungsi Komposisi
www.slideshare.net

Fungsi Komposisi
www.slideshare.net

Jika F X 5x 3 Dan G X 2x X 8 Rumus Komposisi Fungsi Fog X Brainly Co Id
brainly.co.id

Fungsi Komposisi
www.slideshare.net

Latihan Mat 8 Docx
id.scribd.com

Soal Mid Semester Kls 8 Docx
id.scribd.com

Diketahui Rumus Fungsi F X 5x 3 Hasil Dari F 3x 2 Adlah Brainly Co Id
brainly.co.id

Latihan Soal Un Smp 2014 Fungsi Docx Document
vdocuments.mx

Fungsi Komposisii
studylibid.com

35 Soal Ujian Nasional 2012 M A T E M A T I K A A Soal Ujian Nasional 2012 M A T E M A T I K A Smp Mts 1 Kelas Ix Jika Banyak Siswa 140 Orang Maka Banyaknya Siswa Yang Pdf Document
fdokumen.com

Pengertian Relasi Dan Fungsi
id.scribd.com

Diketaui F X 2 X G X X2 1 H X 3x Maka Hogof 3 Youtube
www.youtube.com

Pdf 3 Soal Soal Fungsi Komposisi Dan Fungsi Invers Toni Oni Academia Edu
www.academia.edu

1 Diketahui Fungsi F R Gt R Dan G R R Ditentukan F X 6x 2 Dan G X 1 Per 9x 6x 1 Brainly Co Id
brainly.co.id

Doc Fungsi Adu Eduardus Academia Edu
www.academia.edu

Menentukan Rumus Suatu Fungsi Dengan Nilai Yang Sudah Diketahui
bangkusekolah.com

Fungsi Dan Persamaan Garis
www.slideshare.net

Intip Solusi Super Menyelesaikan Soal Fungsi Komposisi Buat Kelas 10 Quipper Line Today
today.line.me

Modul Matematika Kumpulan Soal Akhir Kelas X Xi Xii Pages 1 50 Flip Pdf Download Fliphtml5
fliphtml5.com

Doc Komposisifungsi11 Khoirudin Khoirudin Academia Edu
www.academia.edu

April 2016 Ml201 Page 3
ml201.ilearning.me

Soal Soal Fungsi Komposisi Dan Fungsi Invers
www.slideshare.net

Fungsi Komposisi
www.slideshare.net

Fungsi Komposisi Materi Pengertian Fungsi Invers Contoh Soal
www.yuksinau.id

Contoh Soal Menghitung Nilai Fungsi
jegeristik.blogspot.com

Diketahui Rumus Fungsi F X 5x 3 Hasil Dari F 3x 2 Adalah Brainly Co Id
brainly.co.id

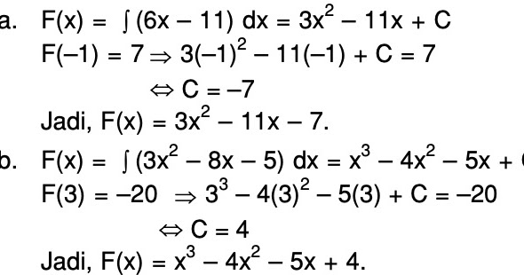
Tentukan Rumus Fungsi F X Jika Diketahui A F X 6x 11 Dan F 1 7 Mas Dayat
www.masdayat.net

Materi Linear Rumus Fungsi Linear Persamaan Kuadrat Contoh
www.yuksinau.id

Pdf Soal Latihan Dan Pembahasan Wahyu Anidah Academia Edu
www.academia.edu

Modul Matematika Kelas X Kd 3 5 Kurikulum 2013 Revisi 2016 Kiki Ismay
www.slideshare.net

Ppt Materi Powerpoint Presentation Free Download Id 3159825
www.slideserve.com

Modul Matematika Kumpulan Soal Akhir Kelas X Xi Xii Pages 1 50 Flip Pdf Download Fliphtml5
fliphtml5.com

Tentukan Fungsi Invers Dari F X 5x 2 Per 3x 5 Brainly Co Id
brainly.co.id

Diketahui Rumus Fungsi F X 5x 8 Nilai F 3b 2 Brainly Co Id
brainly.co.id

Diketahui Rumus Fungsi F X 2x 3 Nilai Dari F 5a 1 Adl Brainly Co Id
brainly.co.id

Kumpulan Soal Matematika
soaldanjawabanmatematikakeren.blogspot.com

Contoh Soal Fungsi Komposisi Dan Invers Dan Jawaban Pembahasan
soalkimia.com

Doc Biimas Biimas Putra Academia Edu
www.academia.edu

Uh Fungsi Komposisi
id.scribd.com

Menentukan Rumus Suatu Fungsi Dengan Nilai Yang Sudah Diketahui
bangkusekolah.com

Fungsi Komposisi Fungsi Fungsi Invers Dan Grafik Fungsi Oleh Allamanda 03
fourzaxiimia4.blogspot.com

Fungsi Fungsi Komposisi Dan Fungsi Invers
studylibid.com

Fungsi Komposisi Fungsi Fungsi Invers Dan Grafik Fungsi Oleh Allamanda 03
fourzaxiimia4.blogspot.com

close