Sangat Membantu

Diketahui Rumus Fungsi F


Cara Cepat Menentukan Rumus Fungsi
mafia.mafiaol.com

Diketahui Rumus Fungsi F X Ax B Tentukan Nilai A Dan B Jika F 4 17 Dan F 3 18 Brainly Co Id
brainly.co.id

Cara Cepat Menentukan Invers Suatu Fungsi Rumus Matematika
rumus-matematika.com

Tutorial Cara Mudah Menentukan Rumus Fungsi Dan Nilai Fungsi 1 Youtube
www.youtube.com

Drs Agus Hidayat Program Belajar Paket G Setara Sma Pdf Free Download
docplayer.info

C Menentukan Rumus Fungsi Jika Nilainya Diketahui Ppt Download
slideplayer.info

Cara Menentukan Rumus Fungsi Jika Nilainya Diketahui
mafia.mafiaol.com

8 Education Photos Facebook
www.facebook.com

Fungsi If Rumus Bertumpuk Dan Menghindari Kesalahan Dukungan Office
support.microsoft.com

Menentukan Rumus Suatu Fungsi Dengan Nilai Yang Sudah Diketahui
bangkusekolah.com

Soal Try Out Online Pdf Document
fdokumen.com

Jika Diketahui Rumus Fungsi F X 7 3x Hasil Dari F 2p 4 Adalah Brainly Co Id
brainly.co.id

Diketahui Rumus Fungsi F X 6 X 1 Nilai F 3n 2 Adalah Brainly Co Id
brainly.co.id

Fungsi Komposisi P
id.scribd.com

Fungsi If Rumus Bertumpuk Dan Menghindari Kesalahan Dukungan Office
support.microsoft.com

Soal Dan Pembahasan Matematika Fungsi Komposisi Dan Fungsi Invers 1 5 Istana Mengajar
istanamengajar.wordpress.com

Fungsi Kuadrat Melly Ana Academia Edu
www.academia.edu

Rumus Fungsi Invers Kuadrat Komposisi Dan Contoh Soal
rumusrumus.com

Fungsi Kuadrat Fungsi Rumus Grafik Parabola Soal
www.yuksinau.id

Relasi Dan Fungsi Matematika Kelas 8 Bse K13 Rev 2017 Lat 3 3 No 4 Mencari Fungsi Youtube
www.youtube.com

Fungsi Komposisi Materi Pengertian Rumus Contoh Soal
rumusrumus.com

Un Matematika Smp 2018 No 22 Youtube
www.youtube.com

Cara Cepat Mencari Rumus Fungsi F X Ax B Jika 2 Nilai F X Diketahui Cerdas Matematika
bakhtiarmath.wordpress.com

Tentukan Rumus Untuk Fungsi F X Jika Diketahui Keterangan Berikut A F X 8x 3 Dan F 2 3 Mas Dayat
www.masdayat.net

Fungsi Dan Persamaan Garis
www.slideshare.net

Cara Mudah Menentukan Bentuk Fungsi Kelas 8
www.dosenmatematika.co.id

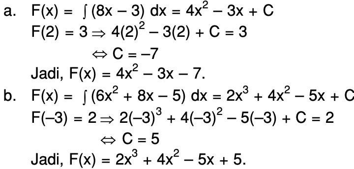
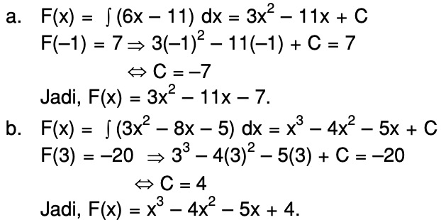
Integral Antidiferensial Belajarmeyenangkan
sites.google.com

Cara Menyelesaikan Soal Un Matematika Smp Materi Fungsi
pt.slideshare.net

Diketahui Rumus Fungsi F X 4 3 X 7 Nilai Dari F 2 Adalah Brainly Co Id
brainly.co.id

Tahun Pelajaran 2009 2010 Diketahui Rumus Fungsi F X A 13 B Segitiga Abc Dan Def Kongruen
pdfslide.tips

Intip Solusi Super Menyelesaikan Soal Fungsi Komposisi Buat Kelas 10 Quipper Line Today
today.line.me

Materi Dan Contoh Soal Kalkulus Fungsi Komposisi Dan Dan Fungsi Invers Coding Ismynr Cara Dan Contoh Pemrograman
www.ismynr.xyz

Diketahui Rumus Fungsi F X Ax B Diagram Pamah Dari Gungsi F X Disajikan Seperti Gambar Brainly Co Id
brainly.co.id

2

Diketahui Rumus Fungsi F X Px Q Jika F 5 17 Dan F 2 11 Maka Nilai 2p 3q Adalah Brainly Co Id
brainly.co.id

Diketahui Rumus Fungsi F X 2 X P Jika F 5 16 Nilai 5p 10adalah Brainly Co Id
brainly.co.id

I Am On Twitter 5 Rt Indoyyy 14 Rt Waktuguesekolah Diketahui Rumus Fungsi F X 2x 6 Nilai F 4 Adalah
twitter.com

Komposisi Fungsi Fungsi Invers Blog Ilmu Pendidikan
blogilmupendidikancom.home.blog

Syarat Dan Rumus Fungsi Invers Serta Contoh Soal
id.scribd.com

Menentukan Rumus Suatu Fungsi
id.scribd.com

Diketahui Rumus Fungsi F 2x 1 4x 5 Nilai Dari F 9 Adalah
id-eduanswers.com

Solusi Enam Soal Fungsi
id.scribd.com

Diketahui Rumus Fungsi F X Px Q Jika F 6 7 Dan F 3 1 Nilai Dari F 3a 4 Adalah A 6a 3 Brainly Co Id
brainly.co.id

Fungsi Matematika
smpn1wonosari.sch.id

Relasi Fungsi Dan Grafik
pt.slideshare.net

Diketahui Rumus Fungsi F X 5x 3 Hasil Dari F 3x 2 Adlah
id-eduanswers.com

Pelajaranmatematika Halaman 143 Diskusi Pr Mejakita
www.mejakita.com

Imath Fungsi Komposisi Fungsi Dan Fungsi Invers 2
imathsolution.blogspot.com

Fungsi Komposisi Dan Fungsi Invers
www.slideshare.net

Menentukan Rumus Fungsi Jika Nilainya Diketahui
www.utakatikotak.com

Menentukan Rumus Fungsi F X Menjadi F 2p 5 Matematika Smp Youtube
www.youtube.com

Integral Antidiferensial Belajarmeyenangkan
sites.google.com

Latihan Soal Un Smp 2014 Fungsi Docx Document
vdocuments.mx

Cara Mudah Belajar Kimia Kumpulan Rumus Cepat Komposisi Fungsi Dilengkapi Contoh
gerbangilmudasar.blogspot.com

Bagaimana Menentukan Rumus Fungsi Jika Nilainya Diketahui Rumus Matematika
rumus-matematika.com

Diketahui Rumus Fungsi F X Ax B Bila Nilai F 5 0 Dan F 5 30 Maka Nilai Dari B 3a Adalah Brainly Co Id
brainly.co.id

Diketahui Rumus Fungsi F X 2 3x 4 Maka Nilai F 5 Adalah Brainly Co Id
brainly.co.id

Mengenal Fungsi Atau Pemetaan Dan Contoh Soalnya Madematika
www.madematika.net

Tentukan Rumus Fungsi F X Jika Diketahui A F X 6x 11 Dan F 1 7 Mas Dayat
www.masdayat.net

Komposisi Fungsi Fungsi Invers Blog Ilmu Pendidikan
blogilmupendidikancom.home.blog

Jika Fungsi F X Ax B Dengan X Anggota Domain F Rumus Fungsi F
studylibid.com

Fungsi Persamaaan Pertidaksamaan Pdf Download Gratis
docplayer.info

Matematika Wajib Kelas Xi Sem 1 By Abdullah Sman 1 Genteng Issuu
issuu.com

Soal Dan Pembahasan Fungsi Kuadrat Mathcyber1997
mathcyber1997.com

Tahun Pelajaran 2009 2010 Diketahui Rumus Fungsi F X A 13 B Segitiga Abc Dan Def Kongruen Pdf Document
fdokumen.com

Invers Fungsi Komposisi Dan Contoh Soal
rumushitung.com

259739010 Soal Fungsi Invers Dan Fungsi Komposisi
id.scribd.com

Relasi Dan Fungsi Matematika Kelas 8 Bse K13 Rev 2017 Lat 3 3 No 4 Mencari Fungsi Youtube
www.youtube.com

Jika F X Ax B Dan F 0 2 F 2 4 Apa Rumus Fungsinya Dan Nilai F 3 Solusi Matematika
solusimatematika85.blogspot.com

C Menentukan Rumus Fungsi Jika Nilainya Diketahui Ppt Download
slideplayer.info

Integral Antidiferensial Belajarmeyenangkan
sites.google.com

Diketahui Rumus Fungsi F X 3x 5 Nilai F 2b 3 Adalah
id-eduanswers.com

Pdf Pembahasan Soal Ujian Nasional 2012 Nur Aenie Academia Edu
www.academia.edu

Intip Solusi Super Menyelesaikan Soal Fungsi Komposisi Buat Kelas 10 Quipper Line Today
today.line.me

Intip Solusi Super Menyelesaikan Soal Fungsi Komposisi Buat Kelas 10
www.quipper.com

C Menentukan Rumus Fungsi Jika Nilainya Diketahui Ppt Download
slideplayer.info

Relasi Dan Fungsi Penjelasan Soal Contoh Pembahasan
www.yuksinau.id

Cara Mengerjakan Fungsi Linear Guru Ilmu Sosial
www.ilmusosial.id

Diketahui Rumus Fungsi F Adalah F X Ax B Nilai F 6 23 Dan F 4 7 Nilai Dari A B Brainly Co Id
brainly.co.id

Tutorial Cara Mudah Dan Cepat Menentukan Rumus Fungsi F X Yang Diketahui Fog X Dan G X Youtube
www.youtube.com

Kelas08 Mudah Belajar Matematika Nuniek By S Van Selagan Issuu
issuu.com

Diketahui Rumus Fungsi F X Ax B Jika F 6 40 Dan F 3 19 Maka Nilai F 5 Adalah Brainly Co Id
brainly.co.id

Matematika Kelas 10 Apakah Fungsi Invers Itu
blog.ruangguru.com

Fungsi F Dinyatakan Dengan Rumus F X Ax B Jika F 4 19
tripasik.com

C Menentukan Rumus Fungsi Jika Nilainya Diketahui Ppt Download
slideplayer.info

Katalog Media Bpmpk
m-edukasi.kemdikbud.go.id

Diketahui Suatu Fungsi F Dengan D Kodomain Himpunan Bilangan Asli F X 3x 4 A Tentukan F 6 Pdf Document
fdokumen.com

Cara Mudah Menentukan Rumus Fungsi Dengan Nilai Yang Sudah Diketahui
lethiks.blogspot.com

Matematika Kelas 10 Apakah Fungsi Invers Itu
blog.ruangguru.com

Diketahui Rumus Fungsi F Adalah F X 3 2x 3 X 1 Dengan X Tidak Sama Dengan 1 Nilai F A 2 Brainly Co Id
brainly.co.id

Diketahui Rumus Fungsi F X 3x 7 Jika F A 8 Dan F B 13 Nilai Dari A B Adalah Brainly Co Id
brainly.co.id

Tutorial Cara Mudah Dan Cepat Menentukan Rumus Fungsi G X Yang Diketahui Fog X Dan F X Youtube
www.youtube.com

Fungsi Komposisi Dan Fungsi Invers Bagian 1 Latihan Soal Un
id.scribd.com

Intip Solusi Super Menyelesaikan Soal Fungsi Komposisi Buat Kelas 10
www.quipper.com

Mtk Relasi Dan Fungsi Xi Ak3
www.slideshare.net

Fungsi Invers Sifat Komposisi Contoh Soal Pembahasan
www.yuksinau.id

Diketahui Rumus Fungsi F X 5x 1 Nilai F 1 4
idedukasi.id

Diketahui Rumus Fungsi F X 2x 3 Jika F M 5 Dan F 2 N Maka Nilao M N Adalah Brainly Co Id
brainly.co.id

Diketahui Suatu Fungsi H Dengan Rumus H X Ax 9 Nilai Fungsi H Untuk X 3 Adalah Youtube
www.youtube.com

Komposisi Fungsi Fungsi Invers Blog Ilmu Pendidikan
blogilmupendidikancom.home.blog

close