Sangat Membantu

Flowchart Menghitung Luas Permukaan Bola


Tutorial Membuat Program Luas Dan Volume Kubus Dengan C Youtube
www.youtube.com

900 Gambar Flowchart Menghitung Volume Kubus Hd Paling Baru Infobaru
www.infobaru.id

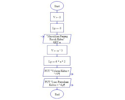
Menghitung Volume Dan Luas Permukaan Kubus Niehennys
niehennys.wordpress.com

3 Tugas Pendahuluan Dan Soal Praktikum Docx Modul I Dasar Pemrograman Fungsi Dan Prosedure Tugas Pendahuluan 1 Sebutkan Dan Jelaskan Secara Rinci Course Hero
www.coursehero.com

Pdf Program Menghitung Rumus Bangun Datar Dan Bangun Ruang Menggunakan Fasilitas Bot Telegram
www.researchgate.net

Supandi 30 Algoritma
id.scribd.com

Makalah Algoritma Dan Pemrograman
www.slideshare.net

Rumus Volume Tabung Luas Permukaan Tinggi Dan Contoh Soal
www.gurupendidikan.co.id

Prokom Pascal Menghitung Luas Permukaan Balok Mochamadnasyir S Blog
mochamadnasyir.wordpress.com

Rumus Volume Tabung Luas Permukaan Tinggi Dan Contoh Soal
www.gurupendidikan.co.id

Buat Flowchart Untuk Mencari Volume Dan Luas Permukaan Bola Brainly Co Id
brainly.co.id

Penurunan Formula Luas Permukaan Bola Dari Berpikir Tingkat Rendah Hingga Berpikir Tingkat Tinggi Oleh Purwoko Pdf Free Download
docplayer.info

Rumus Volume Dan Luas Permukaan Bola Beserta Contoh Soal
www.utakatikotak.com

88 Gambar Flowchart Menghitung Volume Kubus Paling Keren Gambar Pixabay
www.gambar.pro

Cara Mengerjakan Volume Kerucut Guru Ilmu Sosial
www.ilmusosial.id

Flowchart Menghitung Volume Bola Kholid Rohman Saputro
kholidsemakainngetop.wordpress.com

Rumus Volume Tabung Luas Permukaan Tinggi Dan Contoh Soal
www.gurupendidikan.co.id

Welcome To My Blog Menghitung Volume Dan Luas Permukaan Bola Menggunakan Flowchart Dan Dev C
lazuardiimania.blogspot.com

Algoritma Flowchart Menghitung Luas Lingkaran Segitiga Persegi Panjang Dan Menampilkan Hasilnya Referensi Siswa
referensisiswa.blogspot.com

Doc Modul I Pengetahuan Dasar Pemrograman Aan Junior Academia Edu
www.academia.edu

C Untuk Menghitung Volum Dan Luas Permukaan Kubus
gpamungkaz.blogspot.com

Cara Mengerjakan Volume Kerucut Guru Ilmu Sosial
www.ilmusosial.id

Buat Flowchart Untuk Luas Dan Keliling Langsung Buat Flowchart Untuk Volume Dan Luas Permukaan Langsung
es.scribd.com

Penurunan Formula Luas Permukaan Bola Dari Berpikir Tingkat Rendah Hingga Berpikir Tingkat Tinggi Oleh Purwoko Pdf Free Download
docplayer.info

Contoh Flowchart Menghitung Luas Lingkaran Kelas Programmer
kelasprogrammer.com

88 Gambar Flowchart Menghitung Volume Kubus Paling Keren Gambar Pixabay
www.gambar.pro

Rumus Menghitung Luas Permukaan Balok Beserta Contoh Soalnya
rumusbilangan.com

Cara Mengerjakan Volume Balok Guru Ilmu Sosial
www.ilmusosial.id

Rumus Volume Tabung Luas Permukaan Tinggi Dan Contoh Soal
www.gurupendidikan.co.id

Tugas Pseudocode Dede Putra 0075
student.unisbank.ac.id

Welcome To My Blog Menghitung Volume Dan Luas Permukaan Bola Menggunakan Flowchart Dan Dev C
lazuardiimania.blogspot.com

Flowchart Menghitung Luas Segitiga
gpamungkaz.blogspot.com

Modul Pratikum Algoritma Dan Pemrograman Dalam Bahasa Visual C 2010
www.slideshare.net

Hqsdqgpvw4goom

Tb Dpk
dokumen.tips

Buatlah Sebuah Flowchart Algoritma Untuk Penyelesain Masalah Menghitung Volume Kerucut Brainly Co Id
brainly.co.id

Tugas Kuliah Algoritma Pemrograman Wahyueutomo
wahyueutomo.wordpress.com

Build For Triumph Blog Mahasiswa Universitas Brawijaya
blog.ub.ac.id

Http Ejournal Upnjatim Ac Id Index Php Scan Article Download 1853 1427

Konsep Dasar Pemrograman Komputer Dan Algoritma Ppt Download
slideplayer.info

Program Algoritma Flowchart Untuk Menghitung Volume Bola Flowchart Algoritma Pemrograman Raptor
raptorflowchart.wordpress.com

Rumus Bola Rumus Volume Bola Dan Luas Permukaan Bola
www.advernesia.com

Penurunan Formula Luas Permukaan Bola Dari Berpikir Tingkat Rendah Hingga Berpikir Tingkat Tinggi Oleh Purwoko Pdf Free Download
docplayer.info

Penurunan Formula Luas Permukaan Bola Dari Berpikir Tingkat Rendah Hingga Berpikir Tingkat Tinggi Oleh Purwoko Pdf Free Download
docplayer.info

Cara Menghitung Rumus Luas Permukaan Dan Volume Tabung
rumusbilangan.com

Menghitung Luas Permukaan Dan Volume Bola Kelas Pintar
www.kelaspintar.id

Rika Nursita 1 Menghitung Volume Dan Luas Permukaan Bola
rikanursita.blogspot.com

Modul 1 Algoritma Dan Flowchart
id.scribd.com

Rumus Menghitung Luas Permukaan Tabung Tanpa Tutup Dan Contoh Soalnya
rumusbilangan.com

Flowchart Untuk Menghitung Volume Dan Permukaan Kubus Dan Program Nanangyuniarto
nanangyuniarto.wordpress.com

Konsep Dasar Pemrograman Komputer Dan Algoritma Ppt Download
slideplayer.info

Rumus Volume Tabung Luas Permukaan Tinggi Dan Contoh Soal
www.gurupendidikan.co.id

Galangs015 Flowchart Menghitung Volume Bola
galangocz.blogspot.com

Tugas Kuliah Algoritma Pemrograman Wahyueutomo
wahyueutomo.wordpress.com

Penurunan Formula Luas Permukaan Bola Dari Berpikir Tingkat Rendah Hingga Berpikir Tingkat Tinggi Oleh Purwoko Pdf Free Download
docplayer.info

Algoritma Flowchart Menghitung Volume Balok Kubus
kelasprogrammer.com

3 Tugas Pendahuluan Dan Soal Praktikum Docx Modul I Dasar Pemrograman Fungsi Dan Prosedure Tugas Pendahuluan 1 Sebutkan Dan Jelaskan Secara Rinci Course Hero
www.coursehero.com

Rumus Bola Rumus Volume Bola Dan Luas Permukaan Bola
www.advernesia.com

Modul Pratikum Algoritma Dan Pemrograman Dalam Bahasa Visual C 2010
www.slideshare.net

Supandi 30 Algoritma
id.scribd.com

Latihan 2 Penjumlahan Menghitung Luas Permukaan Bola Mencari Luas Dan Keliling Lingkaran Menghitung Volume Tabung Menghitung Luas Segitiga
lampasio.blogspot.com

Latihan 2 Penjumlahan Menghitung Luas Permukaan Bola Mencari Luas Dan Keliling Lingkaran Menghitung Volume Tabung Menghitung Luas Segitiga
lampasio.blogspot.com

Modul Pratikum Algoritma Dan Pemrograman Dalam Bahasa Visual C 2010
www.slideshare.net

Algoritma Pemrograman Struktur Data Menghitung Volume Bola Dan Luas Bola
muhchrominsucrons.blogspot.com

Menghitung Luas Permukaan Dan Volume Bola Kelas Pintar
www.kelaspintar.id

Http Dhianfendina Blogspot Com 2017 03 Membuat Program Untuk Mencari Isi Bola Html

Cara Mengerjakan Volume Kerucut Guru Ilmu Sosial
www.ilmusosial.id

88 Gambar Flowchart Menghitung Volume Kubus Paling Keren Gambar Pixabay
www.gambar.pro

Soal Uas Pemrograman Dasar Kelas 10 Semester Genap Tahun Ajaran 2014
www.slideshare.net

Menghitung Volume Bola Niehennys
niehennys.wordpress.com

Alpro Flowchart Program Menghitung Luas Lingkaran Volume Bola Ismu Nugraha
icenugraha.wordpress.com

Cara Mengerjakan Volume Kerucut Guru Ilmu Sosial
www.ilmusosial.id

Cara Mengerjakan Volume Kerucut Guru Ilmu Sosial
www.ilmusosial.id

Rumus Volume Tabung Luas Permukaan Tinggi Dan Contoh Soal
www.gurupendidikan.co.id

Contoh Flowchart Menghitung Luas Segitiga Kelas Programmer
kelasprogrammer.com

Rumus Bola Rumus Volume Bola Dan Luas Permukaan Bola
www.advernesia.com

Untitled Smkn1klaten
studylibid.com

2

Http Ejournal Upnjatim Ac Id Index Php Scan Article Download 1853 1427

Http Ejournal Upnjatim Ac Id Index Php Scan Article Download 1853 1427

Rumus Bola Rumus Volume Bola Dan Luas Permukaan Bola
www.advernesia.com

21 Contoh Algoritma Dan Flowchart Badoy Studio
badoystudio.com

Persentasi Kelompok 2 Komputer Dan Pemrograman Volume Dan Luas Permukaan Bangun Ruang C Youtube
www.youtube.com

Rumus Bola Rumus Volume Bola Dan Luas Permukaan Bola
www.advernesia.com

Delly Ardhiansyah Delly Ardhianz Blog
blog.ub.ac.id

Jendela Dunia Algoritma Dan Flowchart Menghitung Volume Kerucut
zani-thecreator.blogspot.com

Rumus Luas Permukaan Bola Dan Contoh Soalnya
rumus.co.id

Welcome To My Blog Menghitung Volume Dan Luas Permukaan Bola Menggunakan Flowchart Dan Dev C
lazuardiimania.blogspot.com

Soal Uas Pemrograman Dasar Kelas 10 Semester Genap Tahun Ajaran 2014 2015 Docx Document
fdokumen.com

Rumus Bola Rumus Volume Bola Dan Luas Permukaan Bola
www.advernesia.com

Cara Mengerjakan Volume Kerucut Guru Ilmu Sosial
www.ilmusosial.id

Flowchart Menghitung Volume Tabung Brainly Co Id
brainly.co.id

21 Contoh Algoritma Dan Flowchart Badoy Studio
badoystudio.com

Tugas Kuliah Algoritma Pemrograman Wahyueutomo
wahyueutomo.wordpress.com

Flowchart Volume Bola Singgihsap
singgihss.wordpress.com

88 Gambar Flowchart Menghitung Volume Kubus Paling Keren Gambar Pixabay
www.gambar.pro

Flowchart Dan Program Menghitung Volume Balok Kubus Menggunakan C Alfanriyadi
malfanriyadi.wordpress.com

Rumus Volume Tabung Luas Permukaan Tinggi Dan Contoh Soal
www.gurupendidikan.co.id

Delly Ardhiansyah Delly Ardhianz Blog
blog.ub.ac.id

Arlhos Strife Flowchart Mencari Volume Dan Luas Permukaan Kubus
arlhosstrife.blogspot.com

close