Sangat Membantu

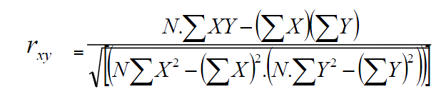
Gambar Rumus Product Moment


Cara Uji Validitas Kuesioner Dengan Microsoft Excel Teknik Elektronika
teknikelektronika.com

Validitas Dengan Korelasi Product Moment Dengan Angka Kasar Ishaq Madeamin Blog
www.ishaqmadeamin.com

Korelasi Korelasi Product Moment Digunakan Untuk Melukiskan Hubungan Antara 2 Buah Variabel Yg Sama Sama Berjenis Interval Atau Rasio Rumus Ppt Download
slideplayer.info

Menghitung Koefisien Korelasi Dengan Menggunakan Microsoft Excel Teknik Elektronika
teknikelektronika.com

Membuat Tabel Korelasi Product Moment R Tabel Dengan Menggunakan Excel Matrix Plus Analis
rajaolahdata.blogspot.com

Korelasi Product Moment Karl Pearson Maglearning Id
maglearning.id

Cara Membaca Distribusi Nilai R Tabel Product Moment Lengkap Spss Indonesia
www.spssindonesia.com

Menulis Tak Lelah Belajar
taklelahbelajar.wordpress.com

Contoh Soal Dan Jawaban Koefisien Korelasi Product Moment Guru Ilmu Sosial
www.ilmusosial.id

Timber Frame Moment Joints With Glued In Steel Rods Ii Experimental Investigation Of Long Term Performance Request Pdf
www.researchgate.net

Validitas Dengan Korelasi Product Moment Dengan Angka Kasar Ishaq Madeamin Blog
www.ishaqmadeamin.com

2

Analisis Validitas Butir Item Soal Assesmen Evaluasi Pembelajaran Makalah Pendidikan Islam Lengkap
makalahpendidikanislamlengkap.blogspot.com

Korelasi Product Moment Pearson
id.scribd.com

Https Eprints Uny Ac Id 18168 5 5 20bab 20iii 2009 07 030 20asy 20h Pdf

Korelasi Product Moment Pearson Open Statistik Blog
openstatistik.wordpress.com

Cara Membaca Tabel T Spss Statistik
www.spssstatistik.com

Korelasi Product Moment Karl Pearson Maglearning Id
maglearning.id

Pearson Product Moment Rank Spearmann Ppt Download
slideplayer.info

Korelasi Pearson Product Moment Dan Corrected Item Correlation
www.scribd.com

Contoh Soal Dan Jawaban Koefisien Korelasi Product Moment Guru Ilmu Sosial
www.ilmusosial.id

Cara Membaca Distribusi Nilai R Tabel Product Moment Lengkap Spss Indonesia
www.spssindonesia.com

Doc Validitas Dengan Korelasi Product Moment Dengan Angka Kasar Jun Cha Academia Edu
www.academia.edu

Pearson Product Moment Correlation Coefficient
juraganskripsinih.blogspot.com

Cara Menghitung Korelasi Menggunakan Excel Gempurdewani Grmpurdewani Academia Edu
www.academia.edu

Https Encrypted Tbn0 Gstatic Com Images Q Tbn 3aand9gcsdr1ba2 Yrrryzrz8lctwjl2 Aqdfpj7z9pqron Pbjhtadmsy Usqp Cau
encrypted-tbn0.gstatic.com

Cara Melakukan Uji Validitas Product Moment Dengan Spss Spss Indonesia
www.spssindonesia.com

Gambar 3 Model Regresi Antara Kecerdasan Naturalis Dan Perilaku Download Scientific Diagram
www.researchgate.net

Validitas Dengan Korelasi Product Moment Dengan Angka Kasar Ishaq Madeamin Blog
www.ishaqmadeamin.com

Korelasi Korelasi Product Moment Digunakan Untuk Melukiskan Hubungan Antara 2 Buah Variabel Yg Sama Sama Berjenis Interval Atau Rasio Rumus Ppt Download
slideplayer.info

Analisis Validitas Tes Objektif Ishaq Madeamin Blog
www.ishaqmadeamin.com

Pengertian Dan Analisis Korelasi Sederhana Dengan Rumus Pearson
teknikelektronika.com

Membuat Rumus Pearson Product Moment Di Ms Word
mathtype6.blogspot.com

Interpretasi Koefisien Korelasi Saya Heriyanto
heriyantolim.wordpress.com

Cara Membaca Distribusi Nilai R Tabel Product Moment Lengkap Spss Indonesia
www.spssindonesia.com

Cara Melakukan Analisis Korelasi Bivariate Pearson Dengan Spss Spss Indonesia
www.spssindonesia.com

Contoh Dan Cara Melakukan Uji Validitas Dengan Rumus Korelasi Pearson
www.wawasan-edukasi.web.id

Menghitung Koefisien Korelasi Dengan Menggunakan Microsoft Excel Teknik Elektronika
teknikelektronika.com

Cara Membaca Distribusi Nilai R Tabel Product Moment Lengkap Spss Indonesia
www.spssindonesia.com

Materi Statistika 2 Korelasi Ganda Mathematics E Learning Syahidan27
elearningmath27.wordpress.com

Cara Melakukan Uji Validitas Product Moment Dengan Spss Spss Indonesia
www.spssindonesia.com

Membuat Rumus Pearson Product Moment Di Ms Word
mathtype6.blogspot.com

Materi Statistika 2 Korelasi Ganda Mathematics E Learning Syahidan27
elearningmath27.wordpress.com

2

Uji Hubungan Korelasi Dan Regresi Ppt Download
slideplayer.info

Cara Melakukan Analisis Korelasi Bivariate Pearson Dengan Spss Spss Indonesia
www.spssindonesia.com

Cara Membaca Distribusi Nilai R Tabel Product Moment Lengkap Spss Indonesia
www.spssindonesia.com

Http Eprints Uny Ac Id 18168 5 5 20bab 20iii 2009 07 030 20asy 20h Pdf

Rumus Korelasi Pengertian Jenis Macam Macamnya Contoh Soal
rumus.co.id

Korelasi Adalah Pengertian Rumus Korelasi Ganda Dan Parsial
rumusrumus.com

Contoh Dan Cara Melakukan Uji Validitas Dengan Rumus Korelasi Pearson
www.wawasan-edukasi.web.id

Minggu 9 Teknik Analisis Korelasi
www.slideshare.net

A Korelasi Product Moment Dengan Angka Kasar
id.scribd.com

Cara Membaca Distribusi Nilai R Tabel Product Moment Lengkap Spss Indonesia
www.spssindonesia.com

Pearson Product Moment Rank Spearmann Ppt Download
slideplayer.info

Rumus Korelasi Pengertian Jenis Macam Macamnya Contoh Soal
rumus.co.id

Cara Membaca Distribusi Nilai R Tabel Product Moment Lengkap Spss Indonesia
www.spssindonesia.com

Rumus Korelasi Pengertian Jenis Macam Macamnya Contoh Soal
rumus.co.id

21 Gambar Wallpaper Rumus Aku Pake Excel 2007 Lagi2 Komen Yang Masuk Menjadi Inspirasi Untuk Menulis Artikel Baru Isma 17 Maret 2013 In 2020 Sins Weather Screenshot
www.pinterest.co.uk

Cara Merapikan Foto Atau Gambar Di Word Segagah Mungkin Youtube
www.youtube.com

Rumus Korelasi Pengertian Jenis Macam Macamnya Contoh Soal
rumus.co.id

Minggu 9 Teknik Analisis Korelasi
www.slideshare.net

Korelasi Product Moment Pearson Teorionline
teorionline.wordpress.com

Bariqlana Blog Spss Cara Analisis Korelasi Product Moment Berbantuan Spss
bariqlanajasaanalisis.blogspot.com

Validitas Dengan Korelasi Product Moment Dengan Angka Kasar Ishaq Madeamin Blog
www.ishaqmadeamin.com

Uji Validitas Dan Reliabilitas
qmc.binus.ac.id

Korelasi Ganda Statistika
statistikaikip.blogspot.com

Validity And Reability Test Using Excel
rizkynovyantika.com

Jajaka Aja Uji Reliabilitas Dan Uji Validasi
jajaka-aja.blogspot.com

Rumus Korelasi Pengertian Jenis Macam Macamnya Contoh Soal
rumus.co.id

Cara Membaca Dan Mencari R Tabel Product Moment Spss Statistik
www.spssstatistik.com

Contoh Soal Dan Jawaban Koefisien Korelasi Product Moment Guru Ilmu Sosial
www.ilmusosial.id

Rumus Korelasi Pengertian Jenis Macam Macamnya Contoh Soal
rumus.co.id

Annasya Nada Zalfa Cara Menghitung Korelasi Product Moment Pearson Manual
annasyanadazalfa.blogspot.com

Rumus Korelasi Pengertian Jenis Macam Macamnya Contoh Soal
rumus.co.id

Pengertian Jenis Dan Cara Menghitung Validitas Kajianpustaka Com
www.kajianpustaka.com

Validitas Dengan Korelasi Product Moment Dengan Angka Kasar Ishaq Madeamin Blog
www.ishaqmadeamin.com

9 Gambar Fisika Terbaik Fisika Penekanan Sma
id.pinterest.com

Contoh Dan Cara Melakukan Uji Validitas Dengan Rumus Korelasi Pearson
www.wawasan-edukasi.web.id

Korelasi Product Moment Karl Pearson Maglearning Id
maglearning.id

Cara Menghitung Nilai R Dan Membaca Mencari R Dalam Tabel
www.wawasan-edukasi.web.id

Materi Statistika 2 Korelasi Ganda Mathematics E Learning Syahidan27
elearningmath27.wordpress.com

Korelasi Product Moment Pearson Teorionline
teorionline.wordpress.com

Korelasi Product Moment Karl Pearson Maglearning Id
maglearning.id

4 Cara Untuk Mencari Koefisien Korelasi Wikihow
id.wikihow.com

Membuat Tabel Korelasi Product Moment R Tabel Dengan Menggunakan Excel Matrix Plus Analis
rajaolahdata.blogspot.com

Cara Membaca Dan Mencari R Tabel Product Moment Spss Statistik
www.spssstatistik.com

Korelasi Adalah Pengertian Rumus Korelasi Ganda Dan Parsial
rumusrumus.com

Uji Validitas Dan Reliabilitas
qmc.binus.ac.id

Uji Validitas Dan Reliabilitas
qmc.binus.ac.id

Menghitung Koefisien Korelasi Dengan Menggunakan Microsoft Excel Teknik Elektronika
teknikelektronika.com

Korelasi Product Moment Pearson Open Statistik Blog
openstatistik.wordpress.com

R Tabel Spss Pengertian Fungsi Rumus Cara Membaca Tabel R
rumusbilangan.com

Rumus Korelasi Pengertian Jenis Macam Macamnya Contoh Soal
rumus.co.id

Menghitung Koefisien Korelasi Dengan Menggunakan Microsoft Excel Teknik Elektronika
teknikelektronika.com

Cara Membaca Distribusi Nilai R Tabel Product Moment Lengkap Spss Indonesia
www.spssindonesia.com

Nairnania Metodologi Proposal Metode Riset
nairnania.blogspot.com

Hell O Korelasi
blog.ub.ac.id

Cara Melakukan Uji Validitas Product Moment Dengan Spss Spss Indonesia
www.spssindonesia.com

Contoh Dan Cara Melakukan Uji Validitas Dengan Rumus Korelasi Pearson
www.wawasan-edukasi.web.id

Analisis Data Survey Dengan Spss
srihardiantik.blogspot.com

close