Sangat Membantu

Garis Bilangan Kelipatan 7


Coretlah Bilangan Kelipatan 2 Kecuali 2 Brainly Co Id
brainly.co.id

Yang Bilangan Prima Kotak Tu Pakai Foto Y Makasih Brainly Co Id
brainly.co.id

Kelas 07 Smp Matematika S1 Siswa 2017 By P E Thea Issuu
issuu.com

Cara Mengurangi Pecahan 11 Langkah Dengan Gambar Wikihow
id.wikihow.com

Kelipatan Persekutuan Dan Faktor Persekutuan Matematika
mandiribelajarsains.blogspot.com

Bilangan Prima Pengertian Contoh Dan Soal
rumuspintar.com

Kpk Dan Fpb Penjelasan Dan Contoh Soal Lengkap
saintif.com

Rpp Kelipatan Persekutuan Terkecil Kpk Kurikulum 2013
www.slideshare.net

Kelipatan Dan Kpk Youtube
www.youtube.com

Flowchart Bilangan Kelipatan 7 Dr 1 50while Geubi S Weblog
geubi.wordpress.com

Yang Bilangan Prima Kotak Tu Pakai Foto Y Makasih Brainly Co Id
brainly.co.id

Jumlah Semua Bilangan Kelipatan 7 Antara Antara 13 Dan 93 Adalah Brainly Co Id
brainly.co.id

Deret Aritmatika Jumlah Bilangan Kelipatan 7 Antara 21 Dan 99 Youtube
www.youtube.com

Banyaknya Bilangan Kelipatan 7 Diantara 100 Dan 1000 Youtube
www.youtube.com

Tugas Algoritma Dan Flowchart Lilyamalia90 S Weblog
lilyamalia90.wordpress.com

Kelipatan Persekutuan Terkecil
www.slideshare.net

Mtk Faktor
id.scribd.com

Cara Membuat Program Menampilkan Bilangan Kelipatan 7 Genap 1 50 C Sublime Text 2 Youtube
www.youtube.com

Keliling Lingkaran Jari Jari Kelipatan 7 Youtube
www.youtube.com

Jumlah Bilangan Kelipatan 7 Antara 21 Dan 99 Brainly Co Id
brainly.co.id

Matematika Untuk Sd Mi Kelas 4
www.slideshare.net

Page 54 Ayo Belajar Mtk 4
ebook.banyuwangikab.go.id

Penyelesaian Masalah Dalam Sistem Bilangan Cacah
studylibid.com

Mencari Jumlah Nilai Bilangan Kelipatan
id.scribd.com

Faktor Dan Kelipatan Bilangan Matematika Lengkap
pendidikanmu.com

Mata Pelajaran Matematika Ppt Download
slideplayer.info

Kumpulan Soal Ulangan Harian Ke 2 Matematika Kelas 4 Semester 2
id.scribd.com

Ayo Belajar Matematika Kelas 4 Burhan Moestaqiem Ary Astuty 2008 Pages 51 100 Flip Pdf Download Fliphtml5
fliphtml5.com

Kelipatan Dan Faktor
id.scribd.com

Kelipatan Kelipatan Persekutuan Dan Kpk Pendidikan Matematika
yos3prens.wordpress.com

4 Cara Untuk Mencari Kelipatan Persekutuan Terkecil Dari Dua Angka
id.wikihow.com

Nur Arifatul Hairiyah
nur-arifatul-hairiyah-fst14.web.unair.ac.id

Cara Menentukan Kelipatan Suatu Bilangan Bulat Positif Rumushitung Com
rumushitung.com

Jumlah Bilangan Asli Kelipatan 7 Antara 40 Dan 150 Adalah Brainly Co Id
brainly.co.id

Kumpulan Materi Matematika Kelipatan Dan Faktor Kelas 4 Sd
matematika3dan4.blogspot.com

Kelipatan Dan Faktor
id.scribd.com

Ayo Belajar Matematika Kelas 4 Burhan Moestaqiem Ary Astuty 2008 Pages 51 100 Flip Pdf Download Fliphtml5
fliphtml5.com

Bilangan Prima 1 100 Dan Coretlah Bilangan 1 Coretlah Bilangan Kelipatan 2 Kecuali 2 Youtube
www.youtube.com

Kelas 07 Smp Matematika S1 Siswa 2017 By P E Thea Issuu
issuu.com

Komentar Widya Kencana
kencanadewidotnet.wordpress.com

Cara Mudah Mengalikan Bilangan Kelipatan 10
www.dosenmatematika.co.id

Semua Bilangan Kelipatan 7 Yang Habis Di Bagi Dua Dari 1 50 Looping Youtube
www.youtube.com

Kelas04 Ayo Belajar Matematika Burhan Ary By S Van Selagan Issuu
issuu.com

Official Blog Of Rizki Cahyana Program Untuk Menentukan Bilangan Kelipatan Atau Bukan Dengan Bahasa C Project 4
rizkicahyana.blogspot.com

Tolong Ya Mksih Sblumnya Yg Mau Bntu Dpt Pahala Dri Allah Swt Aamin Brainly Co Id
brainly.co.id

Bilangan Prima Adalah Pengertian Rumus Genap Faktornya
www.dosenpendidikan.co.id

Kelipatan Dan Faktor Bilangan 2 Soal 1 Kelipatan Dan Faktor Bilangan 2 Soal Kelas 4 Sd 1 Pdf Document
fdokumen.com

Algoritma Bilangan Kelipatan 7 Dari 1 50 My Weblog
mettasari90.wordpress.com

Kumpulan Materi Matematika Kelipatan Dan Faktor Kelas 4 Sd
matematika3dan4.blogspot.com

Dyah Citra Wardani Kelipatan Dan Faktor Bilangan
dyahonblog.blogspot.com

Kelas 4 Ayo Belajar Matematika Burhan By Yeti Herawati Issuu
issuu.com

Grvycjx Y Gx9m

Dessy Maharani Usman
dessy-maharani-usman-fst14.web.unair.ac.id

Menampilkan Bilangan Kelipatan 7 Yang Habis Dibagi 2 Dari 1 Sampai 50 Youtube
www.youtube.com

Jumlah Semua Bilangan Kelipatan 7 Dari 80 Sampai 170 Adalah Brainly Co Id
brainly.co.id

4 Cara Untuk Mencari Kelipatan Persekutuan Terkecil Dari Dua Angka
id.wikihow.com

Nur Arifatul Hairiyah
nur-arifatul-hairiyah-fst14.web.unair.ac.id

Bilangan Prima 1 100 Dan Coretlah Bilangan 1 Coretlah Bilangan Kelipatan 2 Kecuali 2 Coret Brainly Co Id
brainly.co.id

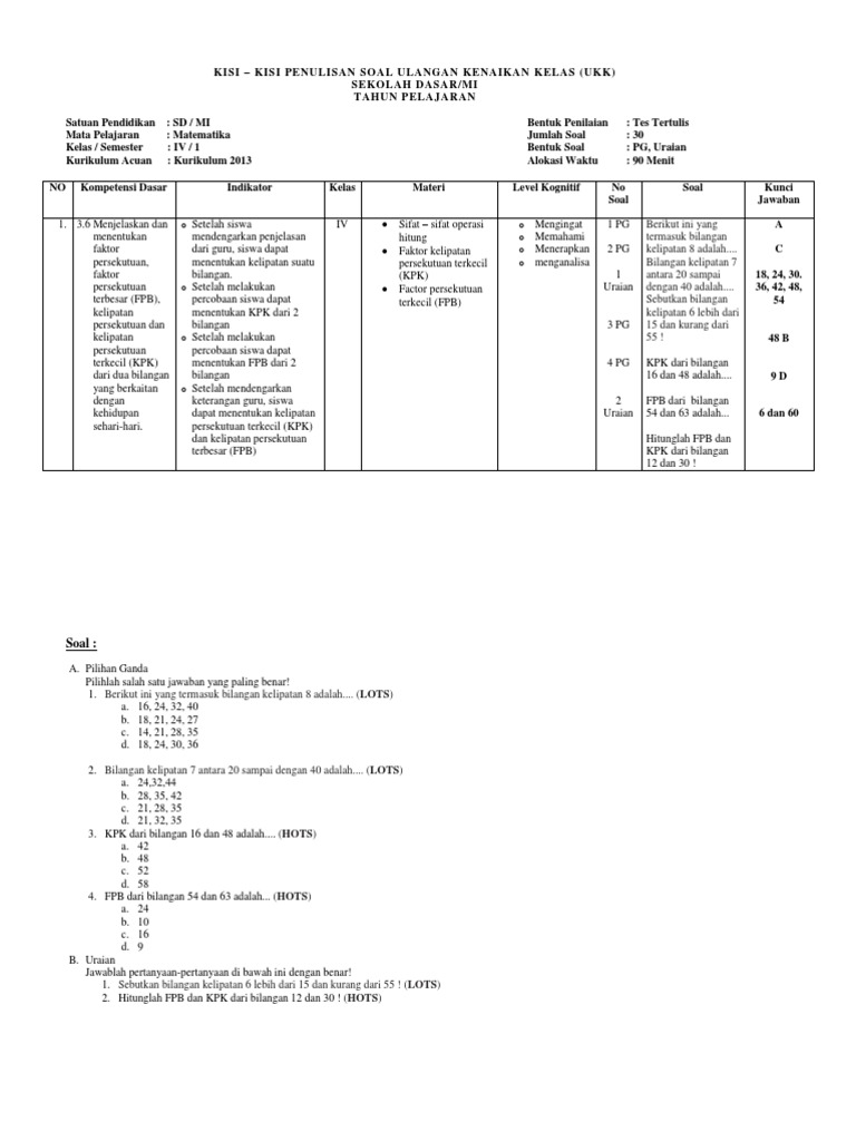
Kisi New 1 Docx
www.scribd.com

Algoritma Bilangan Prima F Nal
fnalblog.wordpress.com

Contoh Soal Kpk Dan Fpb Youtube
www.youtube.com

Dua Puluh Buah Kartu Diberi Nomor 1 Sampai Dengan 20 Dari Kumpulan Kartu Tersebut Diambil Mas Dayat
www.masdayat.net

Materi Matematika Smp Mts Kelas 7 Semester 1 Kelipatan Dan Faktor Bilangan Bulat Brainesia
www.brainesia.com

2 Kelipatan Dan Faktor Bilangan Kelipatan 9 Lebih Besar Dari 30 Dan Lebih Kecil Dari 80 D Kpk Dan Fpb Kpk Dari 4 Dan 7 Adalah 2 Pdf Document
fdokumen.com

Lembar Kerja Kelipatan Nama Kelas Sekolah
id.scribd.com

Jumlah Bilangan Kelipatan 7 Antara 100 Dan 400 Adalah Brainly Co Id
brainly.co.id

Buku Matematika 7 Smp Mts Semester 1 Siswa
www.slideshare.net

Kelas04 Ayo Belajar Matematika Burhan Ary By S Van Selagan Issuu
issuu.com

Jumlah Bilangan Kelipatan 7 Antara 20 Dan 100 Adalah A 883b 763c 714d 595 Tolong Jawabkan Pake Brainly Co Id
brainly.co.id

Jumlah Bilangan Kelipatan 6 Antara 100 Sampai 300 Youtube
m.youtube.com

Sd4mat Ayo Belajarmatematika Burhan
www.slideshare.net

Makalah Matematika Kelipatan Dan Faktor Bilangan
id.scribd.com

Matematika Kelas 7 Fpb Dan Kpk Serupa Tetapi Tak Sama
blog.ruangguru.com

Moduler Prima
www.slideshare.net

Kelipatan Dan Faktor Bilagan 2 Kelas Iv
studylibid.com

Contoh Soal Kpk Dan Fpb Youtube
www.youtube.com

Matematika Untuk Sd Mi Kelas 4 Fatkul Anam Maria Pretty Tj Su
www.slideshare.net

Cara Menentukan Kelipatan Persekutuan Dari Dua Bilangan
www.dosenmatematika.co.id

Page 60 Ayo Belajar Mtk 4
ebook.banyuwangikab.go.id

Kelipatan Persekutuan Terkecil Kpk
www.nidokna.com

Kpk Dan Fpb
id.scribd.com

Rizki S Blog Teori Algoritma Pemrograman Bag 2
rizkilamola.blogspot.com

Makalah Matematika Kelipatan Dan Faktor Bilangan
id.scribd.com

Kpk Dan Fpb Penjelasan Dan Contoh Soal Lengkap
saintif.com

Bilangan Kelipatan 7 Antara 50 Dan 80 Brainly Co Id
brainly.co.id

Dessy Maharani Usman
dessy-maharani-usman-fst14.web.unair.ac.id

Rpp Kelipatan Persekutuan Terkecil Kpk Kurikulum 2013
www.slideshare.net

Materi Matematika Smp Mts Kelas 7 Semester 1 Mengalikan Dan Membagi Bilangan Bulat Brainesia
www.brainesia.com

Jumlah Bilangan Kelipatan 7 Antara 20 Dan 100 Adalah A 833b 763c 714d 595 Brainly Co Id
brainly.co.id

Tentukan Kelipatan Bilangan Bilangan Berikut Brainly Co Id
brainly.co.id

Kelas 07 Smp Matematika S1 Siswa 2017 By P E Thea Issuu
issuu.com

Kelipatan Persekutuan Terkecil Kpk
www.nidokna.com

A Mendeskripsikan Konsep Faktor Dan Kelipatan Contoh
id.scribd.com

Asa Generasiku Menentukan Bilangan Prima Dan Faktor Bilangan
asagenerasiku.blogspot.com

Mathematic Freak Pola Dari Kelipatan
astaripahlevimathfreak.blogspot.com

Tugas Algoritma Dan Flowchart Lilyamalia90 S Weblog
lilyamalia90.wordpress.com

Matematika Kelas 4 Sd Pour Android Telechargez L Apk
apkpure.com

Kelipatan Persekutuan Terkecil Cara Aimyaya Cara Semua Cara
www.cara.aimyaya.com

Kelipatan 7 Yang Habis Dibagi 2 Youtube
www.youtube.com

Kpk Kelipatan Bilangan Persekutuan Bilangan Kelipatan Persekutuan Terkecil Youtube
www.youtube.com

close