Sangat Membantu

Gugus Fungsi Amina Dan Amida


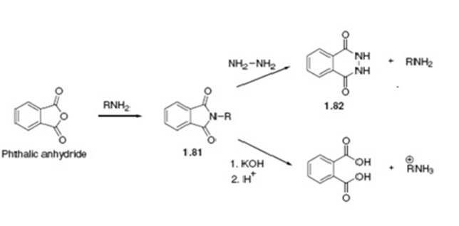
Reaksi Anhidrida Asam Dengan Amonia Dan Amina Primer
studylibid.com

Asam Karboksilat Amina Dan Alkohol Asam Karboksilat Amina Dan Alkohol A Tujuan 1 2 3 4 5 Melihat Perbedaan Sifat Keasamaan Asam Karboksilat Alkohol Course Hero
www.coursehero.com

Amina Dan Amida
es.scribd.com

Perbedaan Daerah Gugus Fumgsi Dan Daerah Sidik Jari
id.scribd.com

Senyawa Amina Dan Nitril Adedwisantika
adedwisantika.wordpress.com

Tata Nama Amina Alifatik Sederhana Dinamakan Dengan Gugus Alkil Yang Terikat Pada Atom N Dan Diberi Akhiran Amina Ppt Download
slideplayer.info

Doc Identifikasi Amina Dan Asam Karboksilat Hassan Assaqaf Academia Edu
www.academia.edu

Kimia Organik Iii Manipulasi Gugus Fungi
kimiaorganiklili.blogspot.com

Amina Amida
www.slideshare.net

Tata Nama Amina Alifatik Sederhana Dinamakan Dengan Gugus Alkil Yang Terikat Pada Atom N Dan Diberi Akhiran Amina Ppt Download
slideplayer.info

Doc Bab Iv Percobaan Uji Uji Gugus Fungsi Awal Rahmad Academia Edu
www.academia.edu

Amina Amida
www.slideshare.net

Amina Amida Wardaya College
www.wardayacollege.com

Gugus Fungsi
id.scribd.com

Asam Amino Adalah Pengertian Makalah Penggolongan Dan Sifatnya
www.dosenpendidikan.co.id

Soal Amina Dan Amida
blendedlearning20.wordpress.com

Tata Nama Organik Wikiwand
www.wikiwand.com

Kimia Organik Fisik Kimia Organik Sintesis
nurhayatiusman02.blogspot.com

Tata Nama Sifat Cara Membuat Struktur Amina Dan Amida
ratukemalalaura.blogspot.com

Pengertian Rumus Umum Dan Jenis Jenis Senyawa Amina
www.utakatikotak.com


smackslide.com

Https Lms Ipb Ac Id Mod Resource View Php Id 34450

Materi Gugus Fungsi
lucianasihotang.blogspot.com

Https Lms Ipb Ac Id Mod Resource View Php Id 34450

Gugus Amina Amida Dan Sulfonat
id.scribd.com

Amina Amida
www.slideshare.net

Gugus Fungsi Photo Chemistry
zulviaafifah25site.wordpress.com

Tata Nama Amina Alifatik Sederhana Dinamakan Dengan Gugus Alkil Yang Terikat Pada Atom N Dan Diberi Akhiran Amina Ppt Download
slideplayer.info

Bab 5 Senyawa Organik
www.slideshare.net

Tata Nama Amina Alifatik Sederhana Dinamakan Dengan Gugus Alkil Yang Terikat Pada Atom N Dan Diberi Akhiran Amina Ppt Download
slideplayer.info

Pp Amina Amida
pdfslide.tips

Doc Makalah Kimia Organik Amina Sapta Hadi Kesoema Academia Edu
www.academia.edu

Amina Amida
www.slideshare.net

Http Lizasrimarningsih Blogspot Com 2016 11 Gugus Fungsi Html

Doc Amida Turunan Asam Karboksilat Edihar Muh Academia Edu
www.academia.edu

Amina Amida
www.slideshare.net

Tata Nama Sifat Cara Membuat Struktur Amina Dan Amida
ratukemalalaura.blogspot.com

Pengertian Rumus Umum Dan Jenis Jenis Senyawa Amina
www.utakatikotak.com

Pengantar Kimia Organik Dan Hayati Itb Press
www.itbpress.itb.ac.id

Amina Kimia Mimir Kamus
mimirbook.com

Pengertian Rumus Umum Dan Jenis Jenis Senyawa Amina
www.utakatikotak.com

Apakah Sebuah Amide Definisi Dan Contoh
www.greelane.com

Makalah Kmia Organik Amida
id.scribd.com

Tata Nama Sifat Cara Membuat Struktur Amina Dan Amida
ratukemalalaura.blogspot.com

Irmansyah Chemistry Gugus Pelindung Amina
fazriirmansyah.blogspot.com

Amina
www.slideshare.net

Kimia Organik Sintesis
lestarihalawa17.blogspot.com

Alkoksi Wikipedia Bahasa Indonesia Ensiklopedia Bebas
id.wikipedia.org

1 Alkohol Fenol Dan Tiol Tata Nama Dan Penggolongan
studylibid.com

Bab Vi Asam Karboksilat Dan Turunannya Pdf Download Gratis
docplayer.info

Identifikasi Gugus Fungsi Amina Karbohid
id.123dok.com

Chemistry Pengujian Senyawa Amina Dan Nitril
chemistry-ekhaokt.blogspot.com

Pengenalan Gugus Fungsi Ppt
id.scribd.com

Bab 5 Senyawa Organik
www.slideshare.net

Pengertian Rumus Umum Dan Jenis Jenis Senyawa Amina
www.utakatikotak.com

Amina Dan Amida Lapleng Docx
id.scribd.com

Kimia Organik Fisik Gugus Fungsi
fidatoyyibah.blogspot.com

Tata Nama Organik Wikiwand
www.wikiwand.com

Amina Kita
id.scribd.com

Tata Nama Amina Alifatik Sederhana Dinamakan Dengan Gugus Alkil Yang Terikat Pada Atom N Dan Diberi Akhiran Amina Ppt Download
slideplayer.info

Kimia Organik Fisik Gugus Fungsi
fidatoyyibah.blogspot.com

Amina Amida Wardaya College
www.wardayacollege.com

Pengertian Rumus Umum Dan Jenis Jenis Senyawa Amina
www.utakatikotak.com

Oksima Wikipedia Bahasa Indonesia Ensiklopedia Bebas
id.wikipedia.org

Amina Amida
www.slideshare.net

Amida Wikipedia
jv.wikipedia.org

Tata Nama Turunan Benzena Sesuai Aturan Iupac Terbaru 2013 Urip Dot Info
www.urip.info

Percobaan Vi Senyawa Amina Pdf
pdfslide.net

Soal Amina Dan Amida
blendedlearning20.wordpress.com

Beberapa Senyawa Obat Dari Golongan Amina Pdf Download Gratis
docplayer.info

Dasar Teori Amina
id.scribd.com

Identifikasi Gugus Fungsi Amina Karbohid
id.123dok.com

Amina Dan Amida
id.scribd.com

Amina Amida
www.slideshare.net

Gugus Fungsional Wikipedia Bahasa Indonesia Ensiklopedia Bebas
id.wikipedia.org

Amina
studylibid.com

Amina Edit Doc Document
fdokumen.com

Moddifikasi Pada Gugus Amine Dan Imine
krisnawatigea.blogspot.com

Gugus Fungsi Photo Chemistry
zulviaafifah25site.wordpress.com

A M I N A
www.scribd.com

Amina Amida
www.slideshare.net

Chemistry Squad Gugus Fungsi
lerrysilalahi.blogspot.com

Gugus Pelindung Wikipedia Bahasa Indonesia Ensiklopedia Bebas
id.wikipedia.org

Tata Nama Sifat Cara Membuat Struktur Amina Dan Amida
ratukemalalaura.blogspot.com

Tata Nama Sifat Cara Membuat Struktur Amina Dan Amida
ratukemalalaura.blogspot.com

Amina Kimia Mimir Kamus
mimirbook.com

Amina Amida
www.slideshare.net

Amina Amida
www.slideshare.net

Amina Amida
www.slideshare.net

Amida Amina Imida Dan Nitril
id.scribd.com

Bab Ii
www.slideshare.net

Mahirullah Kimia Organik Ii
mahirullah.wordpress.com

Amina Amida Wardaya College
www.wardayacollege.com

Laporan Gugus Fungsi
id.scribd.com

Amina Dan Amida Docx Document
fdokumen.com

Tata Nama Amina Alifatik Sederhana Dinamakan Dengan Gugus Alkil Yang Terikat Pada Atom N Dan Diberi Akhiran Amina Ppt Download
slideplayer.info

Amina Kimia Mimir Kamus
mimirbook.com

Kimia Organik Fisik Gugus Fungsi
juninaga.blogspot.com

Pengertian Senyawa Amina
id.scribd.com

Karakteristik Senyawa Organik Bahan Alam
windasinagaa.blogspot.com

close