Sangat Membantu

Keliling Lingkaran Diameter 21 Cm


Rumus Keliling Dan Luas Lingkaran
masfikr.com

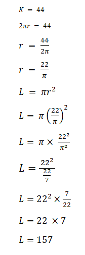
Mencari Luas Lingkaran Jika Diameternya 7 Cm Atau 21 Cm Solusi Matematika
solusimatematika85.blogspot.com

Kunci Jawaban Matematika Kelas 6 Halaman 82 83 Dan 84 Buku Senang Belajar Matematika K13 Halaman All Tribun Pontianak
pontianak.tribunnews.com

4 Mencari Luas 3 4 Lingkaran Solusi Matematika
solusimatematika85.blogspot.com

Menentukan Jari Docx
es.scribd.com

Latihan Soal Ulangan Lingkaran Docx
id.scribd.com

Soal Luas Dan Keliling Lingkaran Dan Jawaban
id.scribd.com

Cara Menghitung Luas Dan Keliling Lingkaran Zenius Nb19
www.zenius.net

Rumus Keliling Setengah Lingkaran Dan Contoh Soalnya
rumusonline.com

Cara Cepat Menghitung Luas Dan Keliling Lingkaran Rumus Lengkap
pengintahu.com

Menghitung Keliling Lingkaran Yang Tidak Penuh Youtube
m.youtube.com

Latihan 2 Lingkaran
merinawahyudewanti.blogspot.com

Luas Dan Keliling Lingkaran Matematika Sd Youtube
www.youtube.com

Rumus Keliling Lingkaran Contoh Soal Pembahasan Lengkap
www.nesabamedia.com

Cara Menentukan Luas Lingkaran Mikirbae Com
www.mikirbae.com

Soal Luas Dan Keliling Lingkaran Plus Kunci Jawaban Juragan Les
www.juraganles.com

Soal Luas Dan Keliling Lingkaran Plus Kunci Jawaban Juragan Les
www.juraganles.com

2 Rumus Keliling Lingkaran Lengkap Dan Cara Penerapannya
pinterkelas.com

Buku Guru Jelajah Matematika 6 Sd Flip Book Pages 51 100 Pubhtml5
pubhtml5.com

Luas Lingkaran Pada Gambar Di Atas 21 Cm Brainly Co Id
brainly.co.id

Rumus Luas Keliling Dan Diameter Lingkaran Beserta Contoh Soal
rumusrumus.com

Soal Luas Dan Keliling Lingkaran Dan Jawaban
id.scribd.com

Rumus Lingkaran Dan Volume Tes Matematika Lingkaran Soal Jawaban
www.pinterpandai.com

Rumus Luas Lingkaran Contoh Soal Pembahasan Lengkap
www.nesabamedia.com

Diameter 21 Cm Berapa Kelilingnya Brainly Co Id
brainly.co.id

Doc Soal Soal Lingkaran Doc Santhy Rodita Sidabutar Academia Edu
www.academia.edu

Hitunglah Keliling Lingkaran Yang Memiliki A Jari Jari 14 Cm B Diameter 21 Cm Brainly Co Id
brainly.co.id

Rumus Luas Dan Keliling Lingkaran Beserta Contoh Soal Cilacap Klik
cilacapklik.com

Hitunglah Keliling Lingkaran Dengan Ukuran A Jari Jari 14cm B Jari Jari 6cm C Diameter 21 Brainly Co Id
brainly.co.id

Cara Mudah Dan Cepat Menentukan Dan Menghitung Keliling Dan Luas Lingkaran 1 Youtube
www.youtube.com

Cara Menghitung Luas Lingkaran Yang Benar
caraharian.com

1 Diketahui Sebuah Lingkaran Mempunyai Diameter 21 Cm Luas Lingkaran Tersebut Adalah 2 Brainly Co Id
brainly.co.id

Pada Gambar Berikut Ab 21 Cm Merupakan Diameter Keliling Daerah Yang Diarsir Adalah Brainly Co Id
brainly.co.id

Rumus Keliling Lingkaran Beserta Contoh Soal Dan Pembahasan
maudisini.com

Sebuah Juring Memiliki Panjang Busur 22 Cm Jika Jari Jari Lingkaran 21 Cm Berapa Sudut Juring Tersebut Solusi Matematika
solusimatematika85.blogspot.com

Cara Menghitung Luas Dan Keliling Lingkaran Zenius Nb19
www.zenius.net

Hitung Keliling Dan Luas Lingkaran A Jari Jari 40cm B Diameter 21cm Brainly Co Id
brainly.co.id

Soal Luas Dan Keliling Lingkaran Plus Kunci Jawaban Juragan Les
www.juraganles.com

Rumus Keliling Lingkaran Dan Cara Menghitungnya Kemapel
kemapel.com

4 Hitunglah Luas Lingkaran Yg Memiliki Jari A R 14 Dmb R 20 Dm5 Hitunglah Luas Lingkaran Dengan Brainly Co Id
brainly.co.id

Rumus Luas Lingkaran Dan Contoh Soal Luas Lingkaran
rumusrumus.com

Contoh Soal Dan Pembahasan Keliling Lingkaran
mafia.mafiaol.com

Cara Menghitung Panjang Lintasan Roda Yang Berputar Ukuran Dan Satuan
ukurandansatuan.com

Hitunglah Keliling Lingkaran Dengan Ukuran A Jari Jari 14 Cm B Jari Jari 6cm C Diameter 21 Brainly Co Id
brainly.co.id

2 Rumus Keliling Lingkaran Lengkap Dan Cara Penerapannya
pinterkelas.com

Soal Lingkaran
id.scribd.com

Rumus Keliling Lingkaran Dan Rumus Luas Lingkaran Dengan P Atau D
www.advernesia.com

Rumus Mencari Keliling Lingkaran Circumference Jika Diketahui Jari Jari Radius Mamatematika
mamatematika.wordpress.com

Rumus Keliling Setengah Lingkaran Dan Contoh Soalnya
rumusonline.com

Hitunglah Dan Luas Lingkaran Jika Diketahui A Diameter 21 Cm B Jari Jari 35 Cm Brainly Co Id
brainly.co.id

Rumus Keliling Setengah Lingkaran Dan Contoh Soalnya
rumusonline.com

Cara Menghitung Luas Lingkaran Yang Benar
caraharian.com

Size Chart Eartmotion Com
www.eartmotion.com

Sebuah Lingkaran Memiliki Diameter 21 Cm Berapakah Keliling Dari Lingkaran Tersebut Brainly Co Id
brainly.co.id

Cara Menghitung Luas Dan Keliling Lingkaran Zenius Nb19
www.zenius.net

8 Bangun Datar Pengertian Jenis Sifat Dan Rumus Nilai Mutlak
nilaimutlak.id

Kelas 6 Matematika Sukirno By Yeti Herawati Issuu
issuu.com

Lingkaran Matematika Pengertian Unsur Bagian Rumus Contoh Soal
www.yuksinau.id

Tolong Jawabkan Soalnya Soalnya Besok Di Kumpul 1 Tentukan Luas Lingkaran Dan Keliling Lingkaran Brainly Co Id
brainly.co.id

Math Mood Youtube Channel Analytics And Report Powered By Noxinfluencer Mobile
www.noxinfluencer.com

Soal Dan Pembahasan Super Lengkap Unsur Keliling Dan Luas Lingkaran Mathcyber1997
mathcyber1997.com

Rpp Matematika Tentang Keliling Dan Luas Lingkaran
www.slideshare.net

Rumus Keliling Lingkaran Beserta Contoh Soalnya
rumus.co.id

Sd Contoh Luas Keliling Lingkaran Bahan Pembelajaran Daring Youtube
www.youtube.com

Contoh Soal Keliling Dan Luas Lingkaran Sd 1 Idschool
idschool.net

Jari Jari Diameter Keliling Dan Luas Lingkaran Kelas 6 Youtube
www.youtube.com

Doc Lingk Kartini Sidin Academia Edu
www.academia.edu

3 Rumus Jari Jari Lingkaran Dan Contoh Soalnya Lengkap
rumusrumus.com

Kelas 8 Lingkaran Ayo Kita Berlatih 7 3 Youtube
m.youtube.com

Mencari Luas Lingkaran Jika Diameternya 7 Cm Atau 21 Cm Solusi Matematika
solusimatematika85.blogspot.com

Matematika
gentapramana.blogspot.com

Mencari Luas Lingkaran Dengan Diameter Youtube
www.youtube.com

Cara Menghitung Luas Dan Keliling Lingkaran Zenius Nb19
www.zenius.net

Bu Hanin Membuat Kue Berbentuk Lingkaran Dengan Diameter 21 Cm Kue Tersebut Dipotong Menjadi 6 Brainly Co Id
brainly.co.id

Jika Panjang Diameter Lingkaran Kecil 21 Cm Luas Daerah Yang Diarsir Adalah Cm Brainly Co Id
brainly.co.id

Rumus Volume Tabung Luas Permukaan Tinggi Dan Contoh Soal
www.gurupendidikan.co.id

Rumus Luas Keliling Dan Diameter Lingkaran Beserta Contoh Soal
rumusrumus.com

3 Ways To Calculate The Diameter Of A Circle Wikihow
www.wikihow.com

How To Find The Circumference And Area Of A Circle 14 Steps
www.wikihow.com

Rumus Luas Dan Keliling Lingkaran Beserta Contoh Soal Cilacap Klik
cilacapklik.com

Soal Luas Dan Keliling Lingkaran Plus Kunci Jawaban Juragan Les
www.juraganles.com

Berbagainfo Kumpulan Soal Luas Bagian Lingkaran
berbagainfo12.blogspot.com

Cara Menghitung Luas Dan Keliling Lingkaran Zenius Nb19
www.zenius.net

Rumus Keliling Setengah Lingkaran Dan Contoh Soalnya
rumusonline.com

Rumus Keliling Lingkaran Lengkap Contoh Soal Keliling Lingkaran
saintif.com

Luas Dan Keliling Lingkaran
es.scribd.com

Examination And Evaluation System Of Primary Education Research Papers Academia Edu
www.academia.edu

Asa Generasiku Menentukan Jari Jari Diameter Luas Dan Keliling Lingkaran
asagenerasiku.blogspot.com

Soal Matematika Smp Adek Ghufron
www.slideshare.net

Soal Mtk Kelas Viii Smp Docx
docs.google.com

Rumus Keliling Lingkaran Beserta Contoh Soal Dan Pembahasan
maudisini.com

Cara Menghitung Luas Dan Keliling Lingkaran Jadi Paham
jadipaham.com

2 Apakah Yang Kamu Ketahui Tentang Nilai Keliling Bila Dibagi Dengan Diameter 3 Course Hero
www.coursehero.com

Contoh Soal Dan Pembahasan Tentang Lingkararan Blognya Ikhsan
blognyaikhsan05.blogspot.com

Lingkaran Diameternya 21 Cm Luasnya Berapa Solusi Matematika
solusimatematika85.blogspot.com

Soal Mat Uts Kelas 8
www.slideshare.net

Hitunglah Keliling Lingkaran Jika Diketahui A Jari Jari 49m B Jari Jari 21m C Jari Jari 5m D Jari Brainly Co Id
brainly.co.id

Rumus Volume Tabung Luas Permukaan Tinggi Dan Contoh Soal
www.gurupendidikan.co.id

Rumus Keliling Setengah Lingkaran Beserta Contoh Soalnya
rumus.co.id

Tugas Projek1 Kumpulkan 10 Benda Yang Berbentuk Lingkaran 2 Ukurlah Keliling K Dan Diameter D Brainly Co Id
brainly.co.id

close