Sangat Membantu

Kelipatan Bilangan 2 Dan 5 Adalah


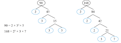
2 Kelipatan Dan Faktor Suatu Bilangan Pdf Document
fdokumen.com

Penggunaan Alat Peraga Dakota Untuk Meningkatkan Prestasi Belajar Fpb Dan Kpk Pada Siswa Kelas Iv Sdn Kalitengkek Tahun Pelajaran 2016 Pdf Download Gratis
docplayer.info

4 Cara Untuk Mencari Kelipatan Persekutuan Terkecil Dari Dua Angka
id.wikihow.com

Tentukan Jumlah Bilangan Kelipatan 5 Antara 200 Dan 400 Brainly Co Id
brainly.co.id

Latihan Soal Matematika Kelas 4 Sem 2
id.scribd.com

Bab Vii Kpk Dan Fpb
studylibid.com

Kelipatan Kelipatan Persekutuan Dan Kpk Pendidikan Matematika
yos3prens.wordpress.com

Modul 2 Keterbagian Bilangan Bulat
www.slideshare.net

4 Cara Untuk Mencari Kelipatan Persekutuan Terkecil Dari Dua Angka
id.wikihow.com

Kelipatan Persekutuan Terkecil Kpk Teobil
www.slideshare.net

Fpb Dan Kpk Faktor Kelipatan Persekutuan Faktor Dan Kelipatan
www.advernesia.com

Cara Mudah Mengalikan Bilangan Kelipatan 10
www.dosenmatematika.co.id

Pola Bilangan Matematika Materi Rumus Contoh Soal Pembahasan
www.yuksinau.id

Kelipatan Persekutuan Terkecil Kpk Teobil
www.slideshare.net

Kelipatan Dan Faktor 2
id.123dok.com

Cara Menentukan Kelipatan Persekutuan Dari Dua Bilangan
www.dosenmatematika.co.id

Bilangan Prima 1 100 Dan Coretlah Bilangan 1 Coretlah Bilangan Kelipatan 2 Kecuali 2 Coret Brainly Co Id
brainly.co.id

Fpb Dan Kpk Faktor Kelipatan Persekutuan Faktor Dan Kelipatan
www.advernesia.com

Un Sma 2017 Matematika Ipa Pembahasan No 38 Peluang Tiga Angkayang Habis Dibagi 5 Youtube
www.youtube.com

Bilangan Prima 1 100 Dan Coretlah Bilangan 1 Coretlah Bilangan Kelipatan 2 Kecuali 2 Youtube
www.youtube.com

Matematika Kelas 7 Fpb Dan Kpk Serupa Tetapi Tak Sama
blog.ruangguru.com

Cara Mencari Kpk Kelipatan Persekutuan Dan Faktorisasi Prima
rumus.co.id

Kpk Dan Fpb Penjelasan Dan Contoh Soal Lengkap
saintif.com

Kelipatan Persekutuan Terkecil Kpk Dari Dua Bilangan Atau Lebih Tarokutu Com
tarokutu.com

Cara Cepat Menghitung Kelipatan Persekutuan Kecil Sumber Informasi Terpelajar
sumberinformasiterpelajar.blogspot.com

Kelipatan Persekutuan Terkecil Kpk
www.nidokna.com

Kelipatan Suatu Bilangan Bulat Positif Tarokutu Com
tarokutu.com

Cara Menentukan Kelipatan Suatu Bilangan Bulat Positif Rumushitung Com
rumushitung.com

Kumpulan Materi Matematika Kelipatan Dan Faktor Kelas 4 Sd
matematika3dan4.blogspot.com

Kpk Dan Fpb Tujuan Kpk Fpb Pengantar Kelipatan Bilangan Ppt Download
slideplayer.info

Kelas01 Matematika Konsep Dan Aplikasinya Dewi Tri By S Van Selagan Issuu
issuu.com

Kpk Dan Fpb Tujuan Kpk Fpb Pengantar Kelipatan Bilangan Ppt Download
slideplayer.info

Jumlah Semua Bilangan Kelipatan 2 Dan 5 Antara 150 Dan 400 Adalah Brainly Co Id
brainly.co.id

Kpk Fpb Kelipatan Docx
id.scribd.com

Menentukan Fpb Dan Kpk Ilmu Hitung
ilmuhitung.com

Jawaban Tugas Belajar Tvri Sd Kelas 4 5 Dan 6 Kamis 12 Juni Dari Soal Tvri Gemar Matematika Halaman All Tribun Pontianak
pontianak.tribunnews.com

Jawaban Soal Sd Kelas 4 6 Materi Faktor Dan Kelipatan Bilangan Belajar Dari Rumah Tvri Jumat 8 Mei Halaman All Tribunnews Com Mobile
m.tribunnews.com

Inilah Jawaban Soal Tvri 8 Mei 2020 Sd Kelas 4 6 Faktor Dan Kelipatan Bilangan
www.jakartastudio.com

Kpk Kelipatan Bilangan Persekutuan Bilangan Kelipatan Persekutuan Terkecil Youtube
www.youtube.com

Kelipatan Persekutuan Terkecil Kpk
www.nidokna.com

Kelas04 Ayo Belajar Matematika Burhan Ary By S Van Selagan Issuu
issuu.com

Kelipatan Persekutuan Terkecil
www.slideshare.net

Doc Fpb Dan Kpk Meriana Milla Academia Edu
www.academia.edu

Lengkap Jawaban Tugas Tvri Jumat 8 Mei 2020 Matematika Faktor Dan Kelipatan Bilangan Kelas 4 5 6 Sd Halaman All Tribun Pontianak
pontianak.tribunnews.com

Soal Jawaban Soal Matematika Bab Kelipatan Dan Faktor Part 1
bimbelnafika.blogspot.com

Rpp Kelipatan Persekutuan Terkecil Kpk Kurikulum 2013
www.slideshare.net

Kelas Vii Matematika Bs Semester 1 Isi Database Dadang Jsn Pages 51 100 Flip Pdf Download Fliphtml5
fliphtml5.com

Kelas 07 Smp Matematika S1 Siswa 2017 By P E Thea Issuu
issuu.com

Kelipatan Dan Faktor Bilangan 2 Soal 1 Kelipatan Dan Faktor Bilangan 2 Soal Kelas 4 Sd 1 Pdf Document
fdokumen.com

Jumlah Bilangan Kelipatan 5 Antara 100 Dan 300 Adalah Youtube
www.youtube.com

Matematika Kelas 5 100institute
dev2.seratusinstitute.com

Kumpulan Materi Matematika Kelipatan Dan Faktor Kelas 4 Sd
matematika3dan4.blogspot.com

Kak Tolong Dong Plissssssss Brainly Co Id
brainly.co.id

Cara Mencari Kpk Dan Fpb Rumus Matematika
rumus-matematika.com

2 Kelipatan Dan Faktor Pdf Document
fdokumen.com

Kelipatan Persekutuan Terkecil Putri Damayanthi Academia Edu
www.academia.edu

Makalah Matematika Kelipatan Dan Faktor Bilangan
id.scribd.com

Fpb Dan Kpk Arimatika
arimatika.wordpress.com

Kelipatan Persekutuan Terkecil Kpk Ppt Download
slideplayer.info

Rangkuman Jawaban Soal Gemar Matematika Faktor Dan Kelipatan Bilangan Di Tvri Jumat 8 Mei 2020 Semua Halaman Fotokita
fotokita.grid.id

Jumlah Semua Bilangan Kelipatan 2 Dan 5 Antara 150 Dan 400 Adalah Brainly Co Id
brainly.co.id

Soal Untuk Pkp
id.scribd.com

Cara Menentukan Kelipatan Suatu Bilangan Bulat Positif Rumushitung Com
rumushitung.com

Rumus Matematika Online
sites.google.com

Kelipatan Persekutuan Terkecil Dari 360 Dan 1260 Adalah A 2 Pangkat 3 3 Pangkat 2 5 7 B 2 Brainly Co Id
brainly.co.id

Ayo Belajar Matematika Kelas 4 Burhan Moestaqiem Ary Astuty 2008 Pages 51 100 Flip Pdf Download Fliphtml5
fliphtml5.com

Kelipatan 5 Yang Habis Dibagi 2 Adalah Brainly Co Id
brainly.co.id

Kelipatan Bilangan 5 Youtube
www.youtube.com

Bilangan Prima Pengertian Contoh Dan Soal
rumuspintar.com

Soal Ulangan Harian Matematika Kelas 4 Sd Kelipatan Dan Faktor Antapedia Com
www.antapedia.com

Kelas 07 Smp Matematika S1 Siswa 2017 By P E Thea Issuu
issuu.com

Kpk Dan Fpb Penjelasan Dan Contoh Soal Lengkap
saintif.com

Https Repository Uksw Edu Bitstream 123456789 10243 8 T1 292011047 Lampiran Pdf

Materi Matematika Smp Mts Kelas 7 Semester 1 Kelipatan Dan Faktor Bilangan Bulat Brainesia
www.brainesia.com

Materi Belajar Dari Rumah Tvri 30 Juli 2020 Sd Kelas 4 6 Halaman All Kompas Com
www.kompas.com

Ayo Belajar Matematika Kelas 4 Burhan Moestaqiem Ary Astuty 2008 Pages 51 100 Flip Pdf Download Fliphtml5
fliphtml5.com

Faktor Dan Kelipatan Bilangan Matematika Lengkap
pendidikanmu.com

Un Sma 2017 Matematika Ipa Pembahasan No 38 Peluang Tiga Angkayang Habis Dibagi 5 Youtube
www.youtube.com

Materi Matematika Smp Mts Kelas 7 Semester 1 Kelipatan Dan Faktor Bilangan Bulat Brainesia
www.brainesia.com

Kelipatan Dan Faktor Bilangan Nelly Situmorang
nelly.video.blog

Peluang Un
id.scribd.com

Kelipatan Persekutuan Terkecil Cara Aimyaya Cara Semua Cara
www.cara.aimyaya.com

Kelas04 Ayo Belajar Matematika Burhan Ary By S Van Selagan Issuu
issuu.com

Cara Mengerjakan Kpk Kelas 4 Guru Ilmu Sosial
www.ilmusosial.id

Faktor Dan Kelipatan Bilangan Oleh Lisdha Zumayanti Ppt Download
slideplayer.info

Faktor Dan Kelipatan Bilangan Jawaban Belajar Dari Rumah Tvri 8 Mei Halaman All Kompas Com
www.kompas.com

Cara Mengurangi Pecahan 11 Langkah Dengan Gambar Wikihow
id.wikihow.com

Kelipatan Persekutuan Terkecil Cara Aimyaya Cara Semua Cara
www.cara.aimyaya.com

Ppt Kelipatan Dan Kpk Suatu Bilangan Cacah Powerpoint Presentation Free Download Id 3464243
www.slideserve.com

2 Faktor Dan Kelipatan Pdf Document
fdokumen.com

Asa Generasiku Menentukan Bilangan Prima Dan Faktor Bilangan
asagenerasiku.blogspot.com

Kelipatan Persekutuan Terkecil Kpk Teobil
www.slideshare.net

Rumus Matematika Online
sites.google.com

Soal Ulangan Harian Matematika Kelas 4 Sd Kelipatan Dan Faktor Antapedia Com
www.antapedia.com

4 Cara Untuk Mencari Kelipatan Persekutuan Terkecil Dari Dua Angka
id.wikihow.com

4 Cara Untuk Mencari Kelipatan Persekutuan Terkecil Dari Dua Angka
id.wikihow.com

Cara Menentukan Kelipatan Suatu Bilangan
www.dosenmatematika.co.id

A Kelipatan Bilangan 1 Dan 3 Adalah 3 6 9 12 15b Kelipatan Bilangan 2 Dan 5 Adalah 10 Brainly Co Id
brainly.co.id

Cara Pembulatan Bilangan Kelipatan Tertentu Di Ms Excel Cara Aimyaya Cara Semua Cara
www.cara.aimyaya.com

Asa Generasiku Menentukan Bilangan Prima Dan Faktor Bilangan
asagenerasiku.blogspot.com

close