Sangat Membantu

Kelipatan Persekutuan Terkecil Dari 52 Dan 98 Adalah


Pembahasan Soal Un Matematika Sd Mi 2010 2011
www.slideshare.net

Matematika Untuk Sd Mi Kelas 4 Suparti Broto Apriliyanto Mugiy
www.slideshare.net

Soal Uts 1 Matematika Sd Kelas 5
id.scribd.com

Daftar Isi Info Kuliah Dr Julan Hernadi
studylibid.com

Http Etheses Uin Malang Ac Id 13017 1 14140073 Pdf

Lampiran 1 Surat Ijin Penelitian Pdf Download Gratis
docplayer.info

Sd Kelas 6 Matematika Bab 2 Faktor Kelipatan Terbesar Fpb Kelipatan Terkecil Kpk Dan Sudutlatihan Soal X Pdf Download Gratis
docplayer.info

Kpk Dan Fpb Kelas Vi Sd 1 Kelas Iv Sd Rtf Document
vdocuments.site

Buku Guru Matematika Kelas Iv Revisi 2018 Pages 51 100 Flip Pdf Download Fliphtml5
fliphtml5.com

Kpk Dan Fpb Kelas Vi Sd 1 Kelas Iv Sd
id.scribd.com

Uh Mtk Campuran
id.scribd.com

Doc Soal Matematika Sri Yanto Academia Edu
www.academia.edu

Jawaban Buku Matematika Kelas 7 Ayo Kita Berlatih 1 8 Hal 98 100 Kpk Dari 12 Dan 30 Ilmu Cepat Pintar
ilmucepatpintar.blogspot.com

Web View1 Memahami Dan Menggunakan Sifat Sifat Pengerjaan Hitung Bilangan Dalam Menyelesaikan Masalah
pdfslide.tips

2 Kelipatan Dan Faktor Bilangan Kelipatan 9 Lebih Besar Dari 30 Dan Lebih Kecil Dari 80 D Kpk Dan Fpb Kpk Dari 4 Dan 7 Adalah 2 Pdf Document
fdokumen.com

Pembahasan Soal Un Matematika Sd Mi 2010 2011
www.slideshare.net

Fpb Dan Kpk Dari 64 Dan 72 Youtube
m.youtube.com

Http Eprints Umm Ac Id 46092 5 Bab 20iv Pdf

Kpk Terkecil Dari 52 98 Brainly Co Id
brainly.co.id

Kpk Dan Fpb Kelas Vi Sd 1 Kelas Iv Sd
dokumen.tips

Http Etheses Uin Malang Ac Id 13017 1 14140073 Pdf

Daftar Isi Eka Sulis A Tiga Puluh Delapan Ribu Tujuh Puluh Tiga B Tiga Puluh Delapan Ribu Tujuh Pdf Document
fdokumen.com

Http Etheses Uin Malang Ac Id 13017 1 14140073 Pdf

Klinik Fpb Kpk Bank Soal Jawablah Soal Berikut Dengan Benar
id.scribd.com

Modul 9 Akar Primitif Dan Aritmetika Indeks
www.slideshare.net

Kelas 07 Smp Matematika S1 Siswa 2017 By P E Thea Issuu
issuu.com

Fpb Dari 36 48 Dan 72 Adalah Get Images
olalmakelly645.blogspot.com

Sd Kelas 6 Matematika Bab 2 Faktor Kelipatan Terbesar Fpb Kelipatan Terkecil Kpk Dan Sudutlatihan Soal X Pdf Download Gratis
docplayer.info

Fpb Dari 98 Adalah Get Images
olalmakelly645.blogspot.com

2

Matematika Untuk Sd Mi Kelas 4
www.slideshare.net

Nama Mata Kuliah Teori Bilangan Kode Mata Kuliah Sks Mat 2 Sks Pdf Free Download
docplayer.info

Belajar Menghitung Faktor Persekutuan Terbesar Fpb Youtube
m.youtube.com

Kpk Dan Fpb Kelas Vi Sd 1 Kelas Iv Sd
id.scribd.com

Fpb Dari 36 54 Dan 81
caramengerjakancepat.web.app

Fpb Dan Kpk Arimatika
arimatika.wordpress.com

2

Students Misconceptions Of Statistical Inference A Students Misconceptions Of Statistical
dokumen.tips

Page 52 Asyiknya Belajar Matematika 4
ebook.banyuwangikab.go.id

Modul 2 Keterbagian Bilangan Bulat
www.slideshare.net

No 11 Dan 12 Yah Kakak Pakai Cara Terima Kasih Brainly Co Id
brainly.co.id

Kpk Dari Bilangan 52 Dan 98 Dalam Bentuk Faktorisasi Prima Adalah Brainly Co Id
brainly.co.id

Matematika 7 Sekar Ramadhanti D N Pages 51 100 Text Version Anyflip
anyflip.com

Kpk Dari Bilangan 52 Dan 98 Dalam Bentuk Faktorisasi Prima Adalah Brainly Co Id
brainly.co.id

Fpb Dari Bilangan 70 84 Dan 98 Adalah Youtube
www.youtube.com

Web View1 Memahami Dan Menggunakan Sifat Sifat Pengerjaan Hitung Bilangan Dalam Menyelesaikan Masalah
pdfslide.tips

Nama Mata Kuliah Teori Bilangan Kode Mata Kuliah Sks Mat 2 Sks Pdf Free Download
docplayer.info

Kelipatan Dan Faktor Suatu Bilangan Pdf Download Gratis
docplayer.info

Pdf Metode Alternatif Menentukan Kpk Dan Fpb Suatu Bilangan Bulat Dengan Menggunakan Alat Peraga
www.researchgate.net

Fpb Dan Kpk Arimatika
arimatika.wordpress.com

Http Repository Unj Ac Id 1138 2 Skripsi 20fanisia 20dewi 20fitria Pdf

Issuu To Pdf Download Tool
issuudownload.net

Https Sumberbelajar Seamolec Org Media Dokumen 5acb1a65865eac2e63321ca4 C91fced88528f5d63f9451c4f66a1a4b Pdf

Kelas06 Gemar Matematika Sumanto Heny Nur By S Van Selagan Issuu
issuu.com

Uas 1 Dan Kunci Mtk 4 Sd Informasiguru Com
id.123dok.com

Ayo Belajar Matematika Kelas 4 Burhan Moestaqiem Ary Astuty 2008 Pages 51 100 Flip Pdf Download Fliphtml5
fliphtml5.com

Kelas Vii Matematika Bs Semester 1 Isi Database Dadang Jsn Pages 101 150 Text Version Fliphtml5
fliphtml5.com

Pdf Rangkuman Materi Matematika Contoh Soal Dan Pembahasan Berdasarkan Kisi Kisi Ujian Sekolah Berstandart Nasional Usbn Tahun Pelajaran 2017 2018 Eko Siswanto Academia Edu
www.academia.edu

Kpk Dari Bilangan 52 Dan 98 Dalam Bentuk Faktorisasi Prima Adalah Brainly Co Id
brainly.co.id

48 03 2 6 13 48 0 7538 0 7738 0 8548 Faktor Persekutuan Terbesar Fpb Dari 180 Dan 150 Pdf Document
fdokumen.com

Kelipatan Persekutuan Terkecil Dari 26 52 98 Adalah Brainly Co Id
brainly.co.id

Kpk Dan Fpb Kelas Vi Sd 1 Kelas Iv Sd
id.scribd.com

Http Rumahbelajar Id Media Dokumen 5cdd6510b646044330d686c8 1d04768e80f035580478ca96811d57ce Pdf

Kelipatan Persekutuan Terkecil Kpk Dari 36 72 Dan 96 Dalam Bentuk Faktorisasi Prima Adalah Brainly Co Id
brainly.co.id

Kelas 6 Matematika Hardi By Yeti Herawati Issuu
issuu.com

Grosir Buku Jago Matematika Sukses Ulangan Harian Untuk Sd Smp Sma Pendidikan Buku Hobi Koleksi Bukalapak Com Inkuiri Com
m.inkuiri.com

Daftar Isi Jumali264 Blog Daftar Isi Lambang Bilangan 1 Jumlah Kurang 1 Lambang Bilangan 01
pdfslide.tips

Kpk Dari 34 Dan 102 Memakai Pohon Faktor Youtube
m.youtube.com

Belajar Menghitung Kelipatan Persekutuan Terkecil Kpk Youtube
www.youtube.com

Soal Latihan Materi Kelipatan Dan Faktor Kelas Iv Sd Mikirbae Com
www.mikirbae.com

Fpb Dan Kpk Menggunakan Pohon Faktor Youtube
m.youtube.com

Https Core Ac Uk Download Pdf 270259827 Pdf

Kelipatan Dan Faktor Bilangan 2 Soal 1 Kelipatan Dan Faktor Bilangan 2 Soal Kelas 4 Sd 1 Pdf Document
fdokumen.com

Doc Ibrahimtarigan Ibrahim Tarigan Academia Edu
www.academia.edu

Http File Upi Edu Direktori Fpmipa Jur Pend Matematika 196303311988031 Nanang Priatna Buku 20pembelajaran 20matematika 20 28reading 20copy 29 Pdf

Nama Mata Kuliah Teori Bilangan Kode Mata Kuliah Sks Mat 2 Sks Pdf Free Download
docplayer.info

Coretan Guru Soal Menentukan Kpk Dan Fpb
sanggurus.blogspot.com

Https Core Ac Uk Download Pdf 270259827 Pdf

Jual Kumpulan Soal Sd Buku Jago Matematika Sukses Ulangan Harian Untuk Jakarta Pusat Raihan Lestari Tokopedia
www.tokopedia.com

Kak Tolong Pake Caranya Sama Jawabannya Yah Terimakasih Brainly Co Id
brainly.co.id

Http E Repository Perpus Iainsalatiga Ac Id 5427 1 Siap 20print 201 Pdf

Faktor Persekutuan Terbesar Dari 56 84 Dan 98 Adalah A 12b 14c 21d 28jawab Pakai Cara Plis Brainly Co Id
brainly.co.id

A Teori Belajar Dan Prinsip Prinsip Pembelajaran Ppt Download
slideplayer.info

Kelas05 Gemar Matematika Sumanto Heny Nur By S Van Selagan Issuu
issuu.com

Fpb Dan Kpk Mathematics Quiz Quizizz
quizizz.com

Kelipatan Persekutuan Terkecil Kpk Dari 52 64 Dan 80 Adalah Brainly Co Id
brainly.co.id

Buku Siswa Kelas Vii Matematika Pages 51 100 Flip Pdf Download Fliphtml5
fliphtml5.com

Fpb Dan Kpk Mathematics Quiz Quizizz
quizizz.com

Http Repository Unj Ac Id 1138 2 Skripsi 20fanisia 20dewi 20fitria Pdf

Http E Repository Perpus Iainsalatiga Ac Id 5427 1 Siap 20print 201 Pdf

Fpb Dan Kpk Arimatika
arimatika.wordpress.com

Kelipatan Persekutuan Terkecil Dari 52 Dan 98 Brainly Co Id
brainly.co.id

Https Ejournal Unib Ac Id Index Php Dharmaraflesia Article Download 4231 2329

Genta Smart Publisher
genta-smart.com

Http E Repository Perpus Iainsalatiga Ac Id 5427 1 Siap 20print 201 Pdf

Kelipatan Persekutuan Terkecil Dari 26 52 Dan 78 Adalah Brainly Co Id
brainly.co.id

Cara Mencari Kpk Dan Fpb Dengan Pohon Faktor Sederhana Youtube
www.youtube.com

Soal Soal Dan Pembahasan Uasbn Matematika Sd Mi Tahun
studylibid.com

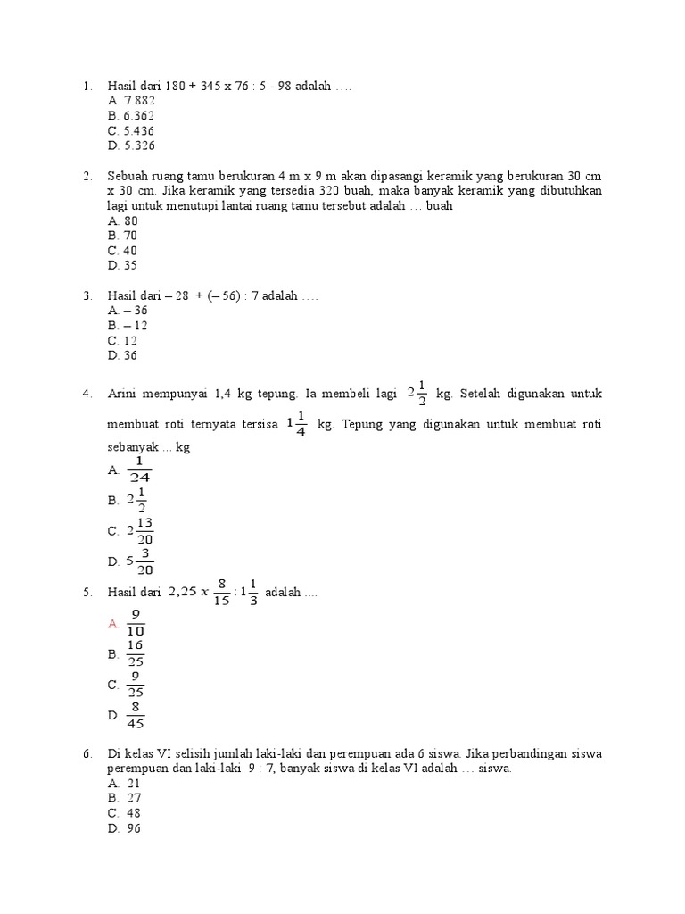
Hasil Dari 180
id.scribd.com

Matematika 7 Sekar Ramadhanti D N Pages 51 100 Text Version Anyflip
anyflip.com

close