Sangat Membantu

Mc 604 Ips Form Spanish


Medi Cal Program Overview Ppt Download
slideplayer.com

Form Mc604 Ips Hmo Download Printable Pdf Or Fill Online Additional Income And Property Information Needed For Medi Cal California Hmong Templateroller
www.templateroller.com

Hodgkin Lymphoma Version 2 2020 Nccn Clinical Practice Guidelines In Oncology In Journal Of The National Comprehensive Cancer Network Volume 18 Issue 6 2020
jnccn.org

Https Www Calsaws Org Wp Content Uploads 2020 01 Lrs Content Revisions 1 Pdf

Using Induced Pluripotent Stem Cells For Modeling Parkinson S Disease
www.wjgnet.com

Form Mc604 Ips Arm Download Printable Pdf Or Fill Online Additional Income And Property Information Needed For Medi Cal California Armenian Templateroller
www.templateroller.com

Medi Cal Annual Redetermination Form Mc 216 Income Verification
medi-cal.healthreformquotes.com

Medi Cal Program Overview Covered California Agents Presentation August Powerpoint Presentation Free Online Download Ppt Ot7sge
smackslide.com

Implications For Talent Management And Impact On Employees Part Iii The Cambridge Handbook Of The Changing Nature Of Work
www.cambridge.org

2

Medi Cal Annual Redetermination Form Mc 216 Income Verification
medi-cal.healthreformquotes.com

Implications For Talent Management And Impact On Employees Part Iii The Cambridge Handbook Of The Changing Nature Of Work
www.cambridge.org

Medi Cal Program Overview Covered California Agents Presentation August Powerpoint Presentation Free Online Download Ppt Ot7sge
smackslide.com

Pdf The Insectivores Soricidae Erinaceidae Eulipotyphla Mammalia From Cueva Victoria Early Pleistocene Murcia Spain
www.researchgate.net

2

Https Www Calsaws Org Wp Content Uploads 2020 01 Lrs Content Revisions 1 Pdf

Mc 604 Ips Fill Online Printable Fillable Blank Pdffiller
www.pdffiller.com

Federal Register Medicare And Medicaid Programs Cy 2020 Home Health Prospective Payment System Rate Update Home Health Value Based Purchasing Model Home Health Quality Reporting Requirements And Home Infusion Therapy Requirements
www.federalregister.gov

Federal Register Medicare And Medicaid Programs Cy 2020 Home Health Prospective Payment System Rate Update Home Health Value Based Purchasing Model Home Health Quality Reporting Requirements And Home Infusion Therapy Requirements
www.federalregister.gov

Form Mc604 Ips Ch Download Printable Pdf Or Fill Online Additional Income And Property Information Needed For Medi Cal California Chinese Templateroller
www.templateroller.com

Form Mc604 Ips Af Download Printable Pdf Or Fill Online Additional Income And Property Information Needed For Medi Cal California Templateroller
www.templateroller.com

Suicide Risk Factors And Risk Assessment Tools A Sytematic Review
www.yumpu.com

Mc 604 Ips Fill Online Printable Fillable Blank Pdffiller
www.pdffiller.com

29th World Congress Of Endourology Swl Wce 2011 Scientific Program Abstracts Journal Of Endourology
www.liebertpub.com

Ccfrm604 Fill Online Printable Fillable Blank Pdffiller
ccfrm604.pdffiller.com

Https Www Calsaws Org Wp Content Uploads 2020 01 Lrs Content Revisions 1 Pdf

Federal Register Medicare And Medicaid Programs Cy 2020 Home Health Prospective Payment System Rate Update Home Health Value Based Purchasing Model Home Health Quality Reporting Requirements And Home Infusion Therapy Requirements
www.federalregister.gov

The Family Enterobacteriaceae Springerlink
link.springer.com

Connectivity Differences Between Gulf War Illness Gwi Phenotypes During A Test Of Attention
journals.plos.org

Http Www Dhcs Ca Gov Formsandpubs Forms Forms Mc 20600 Mc 604 Ips Eng 0514 20 2 Pdf

Form Mc604 Ips Tag Download Printable Pdf Or Fill Online Additional Income And Property Information Needed For Medi Cal California Tagalog Templateroller
www.templateroller.com

Hodgkin Lymphoma In Journal Of The National Comprehensive Cancer Network Volume 9 Issue 9 2011
jnccn.org

Gale Academic Onefile Document Stem Cells As Potential Targets Of Polyphenols In Multiple Sclerosis And Alzheimer S Disease
go.gale.com

2

Medi Cal Program Overview Ppt Download
slideplayer.com

Medi Cal Program Overview Ppt Download
slideplayer.com

Primate Tarsal Bones From Egerkingen Switzerland Attributable To The Middle Eocene Adapiform Caenopithecus Lemuroides Abstract Europe Pmc
europepmc.org

Medi Cal Program Overview Covered California Agents Presentation August Powerpoint Presentation Free Online Download Ppt Ot7sge
smackslide.com

Fungal Planet Description Sheets 868 950 Abstract Europe Pmc
europepmc.org

2

Medi Cal Program Overview Ppt Download
slideplayer.com

Pdf The Tip Navigator 1 Is An Actin Microtubule Crosslinker That Regulates Axonal Growth Cone Motility
www.researchgate.net

Complete Description Of The Skull And Mandible Of The Giant Mustelid Eomellivora Piveteaui Ozansoy 1965 Mammalia Carnivora Mustelidae From Batallones Mn10 Late Miocene Madrid Spain
bioone.org

Reprogramming In Vivo Produces Teratomas And Ips Cells With Totipotency Features Nature
www.nature.com

Pdf Cellular Senescence In Tissue Repair Every Cloud Has A Silver Lining
www.researchgate.net

2

Diagram In Pictures Database Kenwood Mc 60 Wiring Diagram Just Download Or Read Wiring Diagram Online Casalamm Edu Mx
online.casalamm.edu.mx

Https Www Public Navy Mil Bupers Npc Reference Nec Necosvolii Documents Nec 20manual Jan20 Rev3 Pdf

Frontiers Role Of Yap Taz In Cell Lineage Fate Determination And Related Signaling Pathways Cell And Developmental Biology
www.frontiersin.org

2

Https Www Calsaws Org Wp Content Uploads 2020 01 Lrs Content Revisions 1 Pdf

Frontiers Immunomodulation As A Novel Strategy For Prevention And Treatment Of Bordetella Spp Infections Immunology
www.frontiersin.org

Form Mc604 Ips Arm Download Printable Pdf Or Fill Online Additional Income And Property Information Needed For Medi Cal California Armenian Templateroller
www.templateroller.com

2

Federal Register Medicare And Medicaid Programs Cy 2020 Home Health Prospective Payment System Rate Update Home Health Value Based Purchasing Model Home Health Quality Reporting Requirements And Home Infusion Therapy Requirements
www.federalregister.gov

Medi Cal Program Overview Ppt Download
slideplayer.com

Medi Cal Program Overview Ppt Download
slideplayer.com

Form Mc604 Ips Kor Download Printable Pdf Or Fill Online Additional Income And Property Information Needed For Medi Cal California Korean Templateroller
www.templateroller.com

Gale Academic Onefile Document Stem Cells As Potential Targets Of Polyphenols In Multiple Sclerosis And Alzheimer S Disease
go.gale.com

Medi Cal Program Overview Ppt Download
slideplayer.com

Pdf Felsic Magmatic Phases And The Role Of Late Stage Aplitic Dykes In The Formation Of The World Class Cantung Tungsten Skarn Deposit Northwest Territories Canada
www.researchgate.net

Comparison Of Glucose Variability Measures Topic Of Research Paper In Health Sciences Download Scholarly Article Pdf And Read For Free On Cyberleninka Open Science Hub
cyberleninka.org

Medi Cal Program Overview Ppt Download
slideplayer.com

Frontiers Role Of Yap Taz In Cell Lineage Fate Determination And Related Signaling Pathways Cell And Developmental Biology
www.frontiersin.org

Medi Cal Program Overview Ppt Download
slideplayer.com

Detailed Methods Interventions For Unhealthy Drug Use Supplemental Report A Systematic Review For The U S Preventive Services Task Force Ncbi Bookshelf
www.ncbi.nlm.nih.gov

Mc 604 Ips Fill Online Printable Fillable Blank Pdffiller
www.pdffiller.com

Primate Tarsal Bones From Egerkingen Switzerland Attributable To The Middle Eocene Adapiform Caenopithecus Lemuroides Abstract Europe Pmc
europepmc.org

Pdf Reprogramming In Vivo Produces Teratomas And Ips Cells With Totipotency Features
www.researchgate.net

Dendreon Corp 2015 8 K Current Report
sec.report

Hodgkin Lymphoma Version 2 2020 Nccn Clinical Practice Guidelines In Oncology In Journal Of The National Comprehensive Cancer Network Volume 18 Issue 6 2020
jnccn.org

Https Www Calsaws Org Wp Content Uploads 2020 01 Lrs Content Revisions 1 Pdf

Implications For Talent Management And Impact On Employees Part Iii The Cambridge Handbook Of The Changing Nature Of Work
www.cambridge.org

Mc 604 Ips Fill Online Printable Fillable Blank Pdffiller
www.pdffiller.com

Abstracts 2018 Haemophilia Wiley Online Library
onlinelibrary.wiley.com

Pdf Items And Generalizations Evidence From Decir Within The Family Of Subjective Transitive Constructions In Spanish
www.researchgate.net

Consequences Of Climate Change For Biotic Disturbances In North American Forests Weed 2013 Ecological Monographs Wiley Online Library
onlinelibrary.wiley.com

2

Http Www Dhcs Ca Gov Formsandpubs Forms Forms Mc 20600 Mc 604 Ips Eng 0514 20 2 Pdf

Https Www Ebmud Com Download File View 8458

2

Medi Cal Application Fill Out Edit Print Online
medi-cal-application.com

Consequences Of Climate Change For Biotic Disturbances In North American Forests Weed 2013 Ecological Monographs Wiley Online Library
esajournals.onlinelibrary.wiley.com

Medi Cal Program Overview Covered California Agents Presentation August Powerpoint Presentation Free Online Download Ppt Ot7sge
smackslide.com

Ccfrm604 Fill Online Printable Fillable Blank Pdffiller
ccfrm604.pdffiller.com

Federal Register Medicare And Medicaid Programs Cy 2020 Home Health Prospective Payment System Rate Update Home Health Value Based Purchasing Model Home Health Quality Reporting Requirements And Home Infusion Therapy Requirements
www.federalregister.gov

Federal Register Medicare And Medicaid Programs Cy 2020 Home Health Prospective Payment System Rate Update Home Health Value Based Purchasing Model Home Health Quality Reporting Requirements And Home Infusion Therapy Requirements
www.federalregister.gov

Connectivity Differences Between Gulf War Illness Gwi Phenotypes During A Test Of Attention
journals.plos.org

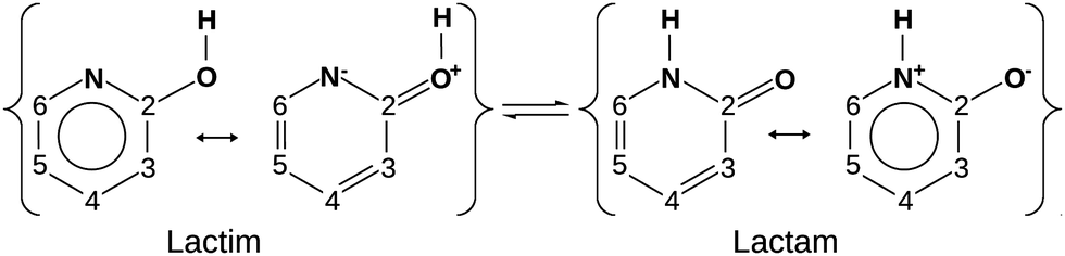
Chlorination And Tautomerism A Computational And Ups Xps Study Of 2 Hydroxypyridine 2 Pyridone Equilibrium Physical Chemistry Chemical Physics Rsc Publishing Doi 10 1039 D0cp02304c
pubs.rsc.org

2

Microorganisms February 2020 Browse Articles
www.mdpi.com

2

Http Www Calsaws Org Wp Content Uploads 2020 04 Lrs Scrs Pdf

Medi Cal Program Overview Ppt Download
slideplayer.com

Form Mc604 Ips Af Download Printable Pdf Or Fill Online Additional Income And Property Information Needed For Medi Cal California Templateroller
www.templateroller.com

Medi Cal Program Overview Ppt Download
slideplayer.com

2

2

Https Thekeep Eiu Edu Cgi Viewcontent Cgi Article 1000 Context Den 1947 Oct

2

close