Sangat Membantu

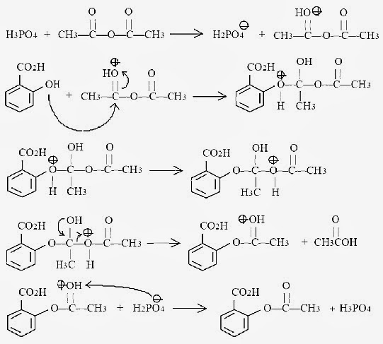
Mekanisme Reaksi Pembuatan Aspirin


Pembuatan Aspirin Dap
dokumen.tips

Kimia I Pages 401 440 Text Version Anyflip
anyflip.com

Pembahasan Aspirin Documents
123slide.org

Jurnal Percobaan Iii Pembuatan Asam Asetil Salisilat Aspirin
wijayahabib.blogspot.com

Laporan Lengkap Aspirin
www.slideshare.net

Https Repository Ugm Ac Id 32887 1 Pemanfaatan Bahan Alam Nabati Yang Berpotensi Sebagai Bahan Baku Senyawa Obat Pdf

Mekanisme Reaksi Aspirin
id.scribd.com

Laporan Praktikum Kimia Organik Ii Aspir Pdf Laporan Praktikum Kimia Organik Ii Asam Asetil Salisiat Aspirin Jum U2019at 6 Juni 2014 Disusun Oleh Yeni Course Hero
www.coursehero.com

Doc Sintesisi Aspirin Nadya Shalshabilla Academia Edu
www.academia.edu

137481953 Laporan Aspirin
pdfslide.tips

Laporan Praktikum Analisis Fisikokimia Ii Alkohol Fenol Dan Asam Karboksilat A Data Pengamatan No Perlakuan Hasil Pdf Download Gratis
docplayer.info

1 Butil Asetat Repaired Docx A Judul Praktikum Pembuatan N Butil Asetat B Hari Tanggal Selasa 12 Februari 2019 C Tujuan Untuk Memahami Reaksi Course Hero
www.coursehero.com

Http Digilib Uin Suka Ac Id 19471 1 11630022 Bab I Iv Atau V Daftar Pustaka Pdf

Pengertian Reaksi Esterifikasi Macam Mekanisme Dan Contohnya Ilmu Kimia
www.pakarkimia.com

Laporan Praktikum 8 Kimia Organik Pdf Document
vdokumen.net

325205382 1 Full Report Penataan Ulang Beckm Ann Fix Pdf Penataan Ulang Beckmann Nurlaeli Naelulmuna Nim 10514059 Kelas 01 Kelompok 05 Course Hero
www.coursehero.com

Laporan Praktikum Pembuatan Aspirin Bisakimia
bisakimia.com

Sintesis Aspirin Dan Turunannya Sebagai Inhibitor Korosi Ppt Download
slideplayer.info

Https Zenodo Org Record 2646737 Files Modul 20praktikum 20kimia 20organik Pdf Download 1

Analisis Aspirin Menggunakan Metode Titrasi Asam Basa
www.slideshare.net

Laporan Praktikum Pembuatan Aspirin Laman 2 Dari 2 Bisakimia
bisakimia.com

Laporan Praktikum Kimia Organik Sintesis Aspirin Asam Asetil Salisilat
laporanpraktikum.id

Pembuatan Asam Salisilat Dari Minyak Gondopuro
pdfslide.tips

Berhitung Dulu Ekonomi Atom How Green Can You Go
howgreenareyou.wordpress.com

Sintesis 2 P Nitrobenzediazo Fenol 4 5 Di 2 Piridil Imidazol Sebagai Inhibitor Korosi Pada Baja Karbon Rani Kurniasih Ppt Download
slideplayer.info

Praktikum Kimia Organik Sintesis Aspirin
infokimiawan13o1a-1.blogspot.com

Buku Petunjuk Praktikum Kimia Organik Ii Pengajar Dr Pudjono S U Apt Nama Nim Kelompok Pdf Download Gratis
docplayer.info

Laporan Asetilasi Pembuatan Aspirin Am Toni
tonimpa.wordpress.com

Aspirin Wikipedia Bahasa Indonesia Ensiklopedia Bebas
id.wikipedia.org

Untitled
smatkn.xtreemhost.com

Asam Asetil Salisilat By Herliani Een
prezi.com

Soal Teori Pilihan Ganda Teori Essay Praktik
studylibid.com

Https Zenodo Org Record 2646737 Files Modul 20praktikum 20kimia 20organik Pdf Download 1

Artikel Aspirin Kafein
pdfslide.tips

Https Sinta Unud Ac Id Uploads Dokumen Dir 6670a18a7038c22c122f1ed6b6b1bd08 Pdf

Https Encrypted Tbn0 Gstatic Com Images Q Tbn 3aand9gcsbsa1ikgxahi8j34rwkzpedmidfztdp5gsrgc9btnkp Rmaoho Usqp Cau
encrypted-tbn0.gstatic.com

Praktikum Aspirin Doc Document
fdokumen.com

Pdf Bab Ii Sintesis Aspirin Adi Sintoyo Academia Edu
www.academia.edu

Https Indonesianjpharm Farmasi Ugm Ac Id Index Php 3 Article View 321 202

Https Simdos Unud Ac Id Uploads File Penelitian 1 Dir C71616cdbb009c0e8a7f1773468d9e66 Pdf

Doc Laporan Titrasi Asam Basa Aspirin Docx Salma Rubiani Academia Edu
www.academia.edu

Doc Sintesis Aspirin Enda Desriansyah Academia Edu
www.academia.edu

Pembuatan Aspirin Dap
id.scribd.com

Doc Praktikum Aspirin Habibie Alif Academia Edu
www.academia.edu

Reaksi Asetilasi Lanjutan
id.scribd.com

Http Repository Unair Ac Id 56106 13 Ff Kf 11 16 Rah S Pdf

Aspirin Vylypjvjg3lm
idoc.pub

Https Zenodo Org Record 2646737 Files Modul 20praktikum 20kimia 20organik Pdf Download 1

Pembuatan Aspirin Dan Iodoform Doc Document
fdokumen.com

Sintesis Aspirin Endless Learning
greatminds2.wordpress.com

Http Lib Unnes Ac Id 20997 1 4311410036 S Pdf

Percobaan V Reaksi Kimia Ii Sintesa Dan Stoikiometri Najih Web Id
najihullah.blogspot.com

Sintesis Aspirin Dan Turunannya Sebagai Inhibitor Korosi Ppt Download
slideplayer.info

95394 Aspirin Dan Metil Salisilat Amel
www.slideshare.net

Laporan Praktikum Kimia Organik Sintesis Metil Salisilat
laporanpraktikum.id

Https Jurnal Unej Ac Id Index Php Jid Article Download 2683 4221

Sintesis Senyawa Asam 2 4 Klorobenzoiloksi 5 Metoksi Benzoat Dan Uji Aktivitas Analgesiknya Pada Mencit Mus Musculus
id.123dok.com

Https Encrypted Tbn0 Gstatic Com Images Q Tbn 3aand9gcstiejurzjslbklnfail3crof5vu2nq57cqcpcepdpmczxxt8ei Usqp Cau
encrypted-tbn0.gstatic.com

Https Indahh1810 Blogspot Com 2019 09 Jurnal Percobaan 3 Pembuatan Asam Html Showcomment 1568167245107

Https Www Researchgate Net Publication 313281709 Synthesis Of Compounds Acetyl Vanilat As Analgesic Compound Components Fulltext 5894ce4b4585158bf6e9585c Synthesis Of Compounds Acetyl Vanilat As Analgesic Compound Components Pdf

Aspirin Wikipedia Bahasa Indonesia Ensiklopedia Bebas
id.wikipedia.org

Http Repository Unair Ac Id 56106 13 Ff Kf 11 16 Rah S Pdf

Reaksi Anhidrida Asam Dengan Amonia Dan Amina Primer
studylibid.com

Https Encrypted Tbn0 Gstatic Com Images Q Tbn 3aand9gcrldycx0tcsv5aaui6snu7ukoau Ygcv66mc3csi7y Usqp Cau
encrypted-tbn0.gstatic.com

Percobaan I Sintesis Aspirin O O Cch O H Co H Occh O
id.scribd.com

Sintesis Asam Asetil Salisilat
id.scribd.com

Web Viewsenyawa Metil Salisilat Terdapat Di Dalam Minyak Gondopuro Yang Merupakan Bahan Dasar Sintesis Doc Document
fdokumen.com

Sintesis Aspirin Dan Turunannya Sebagai Inhibitor Korosi Ppt Download
slideplayer.info

Penataan Ulang Beckmann Pdf Download Gratis
docplayer.info

95394 Aspirin Dan Metil Salisilat Amel
www.slideshare.net

Http Digilib Uin Suka Ac Id 19471 1 11630022 Bab I Iv Atau V Daftar Pustaka Pdf

Https Jurnal Unej Ac Id Index Php Jid Article Download 2683 4221

Sintesis Aspirin2
www.slideshare.net

Https Jurnal Unej Ac Id Index Php Jid Article Download 2683 4221

95394 Aspirin Dan Metil Salisilat Amel
www.slideshare.net

Pengertian Hidrolisis Manfaat Dan Mekanisme Murid Co Id
www.murid.co.id

Https Encrypted Tbn0 Gstatic Com Images Q Tbn 3aand9gcsnpsqfng9rfdujflzsh2eyetvnlm5fdpmvr 5 Fsu Usqp Cau
encrypted-tbn0.gstatic.com

35029418 Reaksi Alkohol Eter Dan Enol Pdf Document
vdocuments.site

Chocogreentea Aspirin Asam Asetilsalisilat
chocogreentea.blogspot.com

Https Digilib Uns Ac Id Dokumen Download 62771 Mjk4mdaz Prarancangan Pabrik Asam Asetilsalisilat Aspirin Dari Asam Salisilat Dan Asetat Anhidrat Kapasitas 15000 Tontahun Bab Ii Pdf

Https Dspace Uii Ac Id Bitstream Handle 123456789 9909 Prarancangan 20pabrik 20asam 20asetilsalisilat 20dari 20asam 20salisilat 20dan 20asetat 20anhidrat 20dengan 20proses 20si Pdf Sequence 1 Isallowed Y

Https Jurnal Unej Ac Id Index Php Jid Article Download 2683 4221

Modip Aspirin Pptx
ru.scribd.com

Laporan Aspirin
dokumen.tips

Praktikum Aspirin Doc Laporan Praktikum Hari Tanggal Senin 28 April 2014 Kelompok Iii Nama Amanda Alif Habibie Nim 123711008 Judul Percobaan Pembuatan Course Hero
www.coursehero.com

Http Staffnew Uny Ac Id Upload 130530945 Pendidikan Buku Kimia Organik Sintesis Pdf

Http Farmasi Stikesalirsyadclp Ac Id Wp Content Uploads 2018 09 Buku Petunjuk Pr Kimia Organik Pdf

Makalah Aspirin Docx Document
fdokumen.com

Acara Vi Pembuatan Aspirin
id.scribd.com

Https Zenodo Org Record 2646737 Files Modul 20praktikum 20kimia 20organik Pdf Download 1

Pembuatan Aspirin
pdfslide.net

Http Repository Usd Ac Id 18598 2 968114089 Full Pdf

Doc Acetylasi Fix Trya Nungky Academia Edu
www.academia.edu

Https Digilib Uns Ac Id Dokumen Download 62771 Mjk4mdaz Prarancangan Pabrik Asam Asetilsalisilat Aspirin Dari Asam Salisilat Dan Asetat Anhidrat Kapasitas 15000 Tontahun Bab Ii Pdf

Https Www Researchgate Net Publication 313281709 Synthesis Of Compounds Acetyl Vanilat As Analgesic Compound Components Fulltext 5894ce4b4585158bf6e9585c Synthesis Of Compounds Acetyl Vanilat As Analgesic Compound Components Pdf

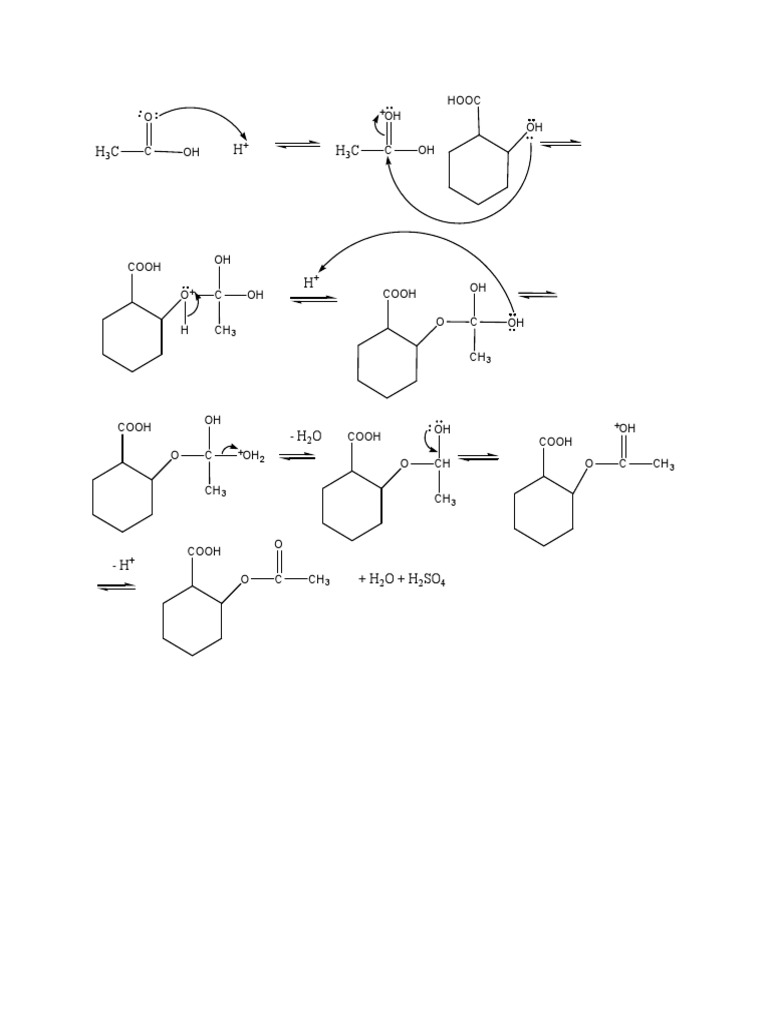
Mekanisme Reaksi Sintesis Asam Salisilat
id.scribd.com

Https Simdos Unud Ac Id Uploads File Penelitian 1 Dir C71616cdbb009c0e8a7f1773468d9e66 Pdf

Mekanisme Reaksi Png Pngwing
www.pngwing.com

Http Digilib Uin Suka Ac Id 19471 1 11630022 Bab I Iv Atau V Daftar Pustaka Pdf

Kumpulan Tugas Jurusan Kimia Mipa Sintetis Aspirin
kimiaunand2012.blogspot.com

Https Www Researchgate Net Publication 313281709 Synthesis Of Compounds Acetyl Vanilat As Analgesic Compound Components Fulltext 5894ce4b4585158bf6e9585c Synthesis Of Compounds Acetyl Vanilat As Analgesic Compound Components Pdf

95394 Aspirin Dan Metil Salisilat Amel
www.slideshare.net

Http Lib Unnes Ac Id 20997 1 4311410036 S Pdf

Aspirin
dokumen.tips

close