Sangat Membantu

Perkalian Akar Kuadrat Dalam Kurung


Rumus Kuadrat Akar Kuadrat Pangkat Dan Akar Pangkat Pada Excel 2010 Belajar Office
www.belajaroffice.com

Bilangan Berpangkat Dan Bentuk Akar Materi Soal Artikel Materi
www.artikelmateri.com

3 Cara Untuk Mengalikan Akar Wikihow
id.wikihow.com

Penjumlahan Dan Perkalian Akar Akar Persamaan Kuadrat
maths.id

Kunci Jawaban Soal Eksponen Dan Bentuk Akar Materi Belajar Dari Rumah Di Tvri Untuk Siswa Sma Smk Halaman All Bangka Pos
bangka.tribunnews.com

Soal Bilangan Berpangkat Bulat Positif Negatif Dan Nol
www.utakatikotak.com

Contoh Soal Bentuk Akar Dan Pembahasannya Kelas 10
myfeel-good-oke24.blogspot.com

Rumus Akar Kuadrat Dengan Excel Rumushitung Com
rumushitung.com

Mencari Nilai Dari 4 Pangkat 3 2 Dan 8 Pangkat 2 3 Solusi Matematika
solusimatematika85.blogspot.com

Penjumlahan Dan Perkalian Akar Akar Persamaan Kuadrat
maths.id

Operasi Hitung Campuran Bilangan Bulat Contohsoal Idschool
idschool.net

Bilangan Eksponen Pengertian Sifat Fungsi Rumus Contoh
rumusbilangan.com

Bentuk Sederhana Dari 2 Akar 40 Dikurangi 8 Akar 2 Dibagi 2 Akar 10 Ditambah2 Akar 18 Adalah Brainly Co Id
brainly.co.id

Cara Mudah Penjumlahan Dan Pengurangan Bentuk Akar Soal Dan Pembahasan I Youtube
m.youtube.com

Matematika Kelas 9 Bilangan Bentuk Akar Sifat Sifat Dan Cara Merasionalkannya
blog.ruangguru.com

Bilangan Berpangkat Dan Bentuk Akar
studylibid.com

6 Cara Untuk Menyederhanakan Ekspresi Akar Wikihow
id.wikihow.com

Materi Perkalian Bentuk Akar Beserta Contoh Soal Dan Pembahasan Materi Belajar
www.materi4belajar.com

Matematika Kelas 9 Bilangan Bentuk Akar Sifat Sifat Dan Cara Merasionalkannya
blog.ruangguru.com

Cara Membuat Rumus Akar Kuadrat Di Ms Word Cara Aimyaya Cara Semua Cara
www.cara.aimyaya.com

Akar Pangkat 3 Cara Menghitung Akar Pangkat 3 Advernesia
www.advernesia.com

Bilangan Berpangkat Dan Bentuk Akar Materi Soal Artikel Materi
www.artikelmateri.com

Bentuk Sederhana Dari 3 Akar 2 2 Akar 3 Kali 3 Akar 2 2 Akar 3 Youtube
m.youtube.com

Bentuk Akar Matematika Sifat Operasi Hitung Merasionalkan Soal
www.yuksinau.id

Akar Kuadrat Matematika Bersama Soal Soal Dan Jawaban
www.pinterpandai.com

Bilangan Berpangkat Dan Bentuk Akar Materi Soal Artikel Materi
www.artikelmateri.com

Rangkuman Materi Matematika Sd Mi Kelas 5 Semester 2 Bab 1 Bilangan Bulat
id.scribd.com

Operasi Perkalian Bentuk Akar
mafia.mafiaol.com

Perpangkatan Cara Menghitung Pangkat Sifat Dan Tabel Perpangkatan
www.advernesia.com

Doc Bab 5 Bilangan Berpangkat Dan Bentuk Akar Deasyra Syamsudin Academia Edu
www.academia.edu

2 Operasi Perkalian Dan Pembagian Bentuk Akar Pembahasan Soal Un Matematika Smp Tahun 2017 Youtube
www.youtube.com

Sederhanakanlah Buka Kurung Akar 7 Dikurang Akar 3 Tutup Kurung Buka Kurung Akar 7 Akar 3 Tutup Brainly Co Id
brainly.co.id

Bilangan Berpangkat Dan Bentuk Akar Anikasari
anikasari.wordpress.com

Bentuk Pangkat Dan Akar 10 Sma
matematikastudycenter.com

Perkalian Akar Kuadrat Dalam Kurung
belajarbarengmudah.web.app

Hitung Volume Bangun Ruang Beserta Caranya Rumusq Id
rumusq.id

Soal Bilangan Berpangkat Bulat Positif Negatif Dan Nol
www.utakatikotak.com

Cara Menghitung Akar Pangkat 3 Dengan Cepat Dan Benar
caraharian.com

Cara Menghitung Akar Pangkat 3 Dengan Cepat Dan Benar
caraharian.com

3 Cara Untuk Mengalikan Akar Wikihow
id.wikihow.com

Https Www Studocu Com Id Document Universitas Sumatera Utara Ekonomi Pertanian Summaries Contoh Soal Limit Fungsi Aljabar Dan Pembahasannya 7396025 View

Trik Tirk Menyelesaikan Persoalan Perkalian Dan Akar Pangkat
www.slideshare.net

Cara Mengerjakan Operasi Hitung Campuran Pada Bilangan Bulat
mafia.mafiaol.com

Cara Cepat Menghitung Akar Pangkat 2 Kuadrat Youtube
www.youtube.com

Bilangan Berpangkat Jenis Sifat Operasi Hitung Soal Penyelesaian
www.yuksinau.id

Perhitungan Matriks Perkalian Penjumlahan Pengurangan Contoh Soal
www.pinterpandai.com

Anak Kelas 9 Yuk Pahami Materi Bilangan Berpangkat Bulat Positif Negatif Dan Nol Ini
www.quipper.com

Rangkuman Dan Soal Bilangan Berpangkat Dan Bentuk Akar Materi Belajar Dari Rumah Di Tvri Untuk Smp Semua Halaman Bobo
bobo.grid.id

Pemdas Adalah Urutan Operasi Matematika Yaitu 1 Tanda Kurung P Arentheses 2 Pangkat Dan Akar E Xponents 3 Perkalian Dan Pembagian M Ultiplication D Ivision 4 Penjumlahan Dan Pengurangan A Ddition S Ubtraction Toluna
id.toluna.com

Pangkat Tiga Wikipedia Bahasa Indonesia Ensiklopedia Bebas
id.wikipedia.org

Akar Kuadrat Dari 324 Tolong Dengan Caranya Tks Brainly Co Id
brainly.co.id

Bilangan Berpangkat Dan Bentuk Akar Anikasari
anikasari.wordpress.com

Https Www Studocu Com Id Document Universitas Sumatera Utara Ekonomi Pertanian Summaries Contoh Soal Limit Fungsi Aljabar Dan Pembahasannya 7396025 View

Https Encrypted Tbn0 Gstatic Com Images Q Tbn 3aand9gcqldoop7m0oaciciye8mqicq69tuwriyq0fyitfsmjsao54vexx Usqp Cau
encrypted-tbn0.gstatic.com

Bilangan Berpangkat Dan Bentuk Akar Anikasari
anikasari.wordpress.com

Bentuk Pangkat 3 Akar 3 Pangkat Negatif 2 Youtube
m.youtube.com

Rumus Rumus Pangkat
maths.id

Contoh Soal Bentuk Akar Eksponen Logaritma Dan Pengertiannya Dosenpintar
dosenpintar.com

Bilangan Berpangkat Dan Bentuk Akar Anikasari
anikasari.wordpress.com

Sederhanakan Bentuk Akar Berikut Beserta Caranya Brainly Co Id
brainly.co.id

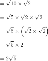
Perkalian Dalam Bentuk Akar 10 X 2 Solusi Matematika
solusimatematika85.blogspot.com

Perkalian Dalam Bentuk Akar 10 X 2 Solusi Matematika
solusimatematika85.blogspot.com

Cara Perhitungan Akar Kuadarat Dan Akar Pangkat 3
www.slideshare.net

Tentukan Hasil Perkalian Akar Akar Bilangan Berikut A Akar 2 3 Akar8 B Akar 6 Brainly Co Id
brainly.co.id

Bentuk Akar Matematika Sifat Operasi Hitung Merasionalkan Soal
www.yuksinau.id

Rumus Kuadrat Akar Kuadrat Pangkat Dan Akar Pangkat Pada Excel Belajar Online
belajaronline2018.wordpress.com

Bilangan Berpangkat Jenis Sifat Operasi Hitung Soal Penyelesaian
www.yuksinau.id

Trik Tirk Menyelesaikan Persoalan Perkalian Dan Akar Pangkat
www.slideshare.net

Tuliskan Hasil Perkalian Akar Akar Bilangan Berikut A 12 7 12 7 B 8 5 8 5 C Brainly Co Id
brainly.co.id

Contoh Soal Bilangan Pangkat Tiga Dan Akar Pangkat Tiga
bfl-definisi.blogspot.com

Cara Mengerjakan Bentuk Sederhana Pangkat Guru Ilmu Sosial
www.ilmusosial.id

Contoh Soal Bilangan Berpangkat Bulat Positif Negatif Dan Nol Buat Kamu Anak Kelas 9
www.quipper.com

Bentuk Sederhana Dari Akar 3 Akar 7 Akar 3 Akar 7 Per 2 Akar 5 4 Akar 2 Brainly Co Id
brainly.co.id

Cara Mencari Akar Pangkat 2 Dari 256 Youtube
m.youtube.com

Bilangan Pangkat Tiga Dan Akar Pangkat Tiga Pelajaran Kelasku
pelajarankelasku.blogspot.com

Perkalian Akar Kuadrat Dalam Kurung
belajarbarengmudah.web.app

6 Cara Untuk Menyederhanakan Ekspresi Akar Wikihow
id.wikihow.com

Rumus Rumus Pangkat
maths.id

Operasi Hitung Campuran Bilangan Pangkat Dua Dan Contohnya
www.belajarmtk.com

Bentuk Akar
id.scribd.com

6 Cara Untuk Memfaktorkan Polinomial Tingkat Dua Persamaan Kuadrat
id.wikihow.com

Trik Tirk Menyelesaikan Persoalan Perkalian Dan Akar Pangkat
www.slideshare.net

Matematika Kelas 9 Bilangan Bentuk Akar Sifat Sifat Dan Cara Merasionalkannya
blog.ruangguru.com

Perkalian Akar Kuadrat Dalam Kurung
belajarbarengmudah.web.app

Bagaimanakah Operasi Aljabar Pada Bentuk Akar
www.utakatikotak.com

Akar Pangkat 3 Cara Menghitung Akar Pangkat 3 Advernesia
www.advernesia.com

Contoh Soal Bilangan Berpangkat Bulat Positif Negatif Dan Nol Buat Kamu Anak Kelas 9
www.quipper.com

Akar Kuadrat Matematika Bersama Soal Soal Dan Jawaban
www.pinterpandai.com

Rumus Akar Kuadrat Dengan Excel Rumushitung Com
rumushitung.com

Bilangan Berpangkat Dan Bentuk Akar Anikasari
anikasari.wordpress.com

Bilangan Pangkat Pecahan Pengertian Rumus Sifat Operasi Hitung Dan Contoh Soal Bilangan Pangkat Pecahan Lengkap Pelajaran Sekolah Online
www.pelajaran.co.id

Kelas 7 Matematika Damerosi Damanik
www.slideshare.net

Wetpjvapsd9pgm

Tentukan Hasil Perkalian Dan Pembagian Bentuk Akar Berikut A 5 2 B 2 13 9 C 6 5 12 Brainly Co Id
brainly.co.id

Operasi Hitung Bilangan Urutan Dan Operasi Campuran Advernesia
www.advernesia.com

Trik Tirk Menyelesaikan Persoalan Perkalian Dan Akar Pangkat
www.slideshare.net

Hasil Dari 81 Pangkat 1 4 X 4 Pangkat 3 2 Youtube
m.youtube.com

Bentuk Pangkat Dan Akar 10 Sma
matematikastudycenter.com

Perkalian Dalam Bentuk Akar 10 X 2 Solusi Matematika
solusimatematika85.blogspot.com

Contoh Soal Bentuk Akar Eksponen Logaritma Dan Pengertiannya Dosenpintar
dosenpintar.com

Bentuk Akar Matematika Sifat Operasi Hitung Merasionalkan Soal
www.yuksinau.id

close