Sangat Membantu

Persamaan Diferensial Orde 2 Non Homogen


Doc Persamaan Diferensial Orde Pertama Dwi Prima Putri Utami Academia Edu
www.academia.edu

23 Pd Linier Homogen Tk 2 Pdf Tks 4003 Matematika Ii Persamaan Diferensial U2013 Linier Homogen Tk 2 U2013 Differential Linier Homogen Orde 2 Dr Az Course Hero
www.coursehero.com

Contoh Soal Pd Orde 2 Non Homogen Taufiqur Rokhman
taufiqurrokhman.wordpress.com

Persamaan Diferensial Biasa Orde Kedua Nonhomogen
dokumen.tips

Http Sigitkus Lecture Ub Ac Id Files 2012 10 Bab Iii Pd Linier 3 Pdf

Metode Variasi Parameter Untuk Penyelesaian Pd Linier Tak Homogen Orde 2 Sigit Kusmaryanto
sigitkus.lecture.ub.ac.id

Persamaan Diferensial Orde 2
pdfslide.tips

Contoh Soal Dan Penyelesaian Persamaan Diferensial Orde 2 Non Homogen Contoh Soal Terbaru
www.shareitnow.me

Persamaan Diferensial Non Homogen Tolong Ka Bantu Jawab Pilih 1 Soal Ka Please Hari Ini Brainly Co Id
brainly.co.id

Rangkaian Dan Persamaan Diferensial Orde 2 Ppt Download
slideplayer.info

03 Persamaan Diferensial Orde Ii Pdf Program Perkuliahan Dasar Umum Sekolah Tinggi Teknologi Telkom Persamaan Diferensial Orde Ii Ma1124 Kalkulus Ii Course Hero
www.coursehero.com

Persamaan Diferensial Biasa Persamaan Diferensial Orde Kedua
www.slideshare.net

Pdf Persamaan Diferensial Pd Totoh Toha Academia Edu
www.academia.edu

Contoh Soal Dan Pembahasan Persamaan Diferensial Biasa Guru Ilmu Sosial
www.ilmusosial.id

Jual Buku Ajar Persamaan Diferensial Jilid 2 Di Lapak Aira Bookstore Airabookstore
www.bukalapak.com

Metode Koefisien Tak Tentu Untuk Penyelesaian Pd Linier Homogen Tak Homogen Orde 2 Matematika Teknik I Sigit Kusmaryanto Pdf Free Download
docplayer.info

Bab Iv Persamaan Takhomogen Pdf Download Gratis
docplayer.info

Persamaan Differensial Biasa Orde 2 Non Homogen Contoh Soal Ke 3 Youtube
m.youtube.com

Penyelesaian Deret Untuk Persamaan Diferensial Linier Orde Dua Pdf Document
fdokumen.com

4rrc1beo6lvfem

Persamaan Diferensial Elementer
studylibid.com

Persamaan Differensial Biasa Orde 2 Non Homogen Contoh Soal Ke 4 Youtube
www.youtube.com

Soal Soal Dan Pembahasan Pd Orde 2 Non Homogen Koef Konstan Taufiqur Rokhman
taufiqurrokhman.wordpress.com

Rangkaian Dan Persamaan Diferensial Orde 2 Ppt Download
slideplayer.info

Persamaan Diferensial Orde Ii
id.scribd.com

Metode Koefisien Tak Tentu Untuk Penyelesaian Persamaan Diferensial Linier Tak Homogen Orde 2 Sigit Kusmaryanto
sigitkus.lecture.ub.ac.id

Buku Persamaan Diferensial Biasa Penerbit Andi Shopee Indonesia
shopee.co.id

Tugas Mandiri Kuliah Persamaan
studylibid.com

Buku Ajar Persamaan Diferensial Jilid 2 Penerbit Buku Deepublish
penerbitbukudeepublish.com

Soal Dan Pembahasan Ujian Tengah Semester Uts Persamaan Diferensial Versi 2 Mathcyber1997
mathcyber1997.com

Ppt Penyelesaian Persamaan Diferensial Linear Powerpoint Presentation Id 5574952
www.slideserve.com

Metode Koefisien Tak Tentu Untuk Penyelesaian Pd Linier Homogen Tak Homogen Orde 2 Matematika Teknik I Sigit Kusmaryanto Pdf Free Download
docplayer.info

Persamaan Diferensial Linier Non Homogen
www.yumpu.com

Persamaan Diferensial Orde 2 Non Homogen Kaskus
m.kaskus.co.id

Metode Koefisien Tak Tentu Youtube
www.youtube.com

Modul 1 Persamaan Diferensial Orde Satu Ppt Download
slideplayer.info

Persamaan Diferensial Biasa Persamaan Diferensial Orde Kedua
www.slideshare.net

Pd Orde2 Tak Homogen 2
www.slideshare.net

Contoh Soal Dan Penyelesaian Persamaan Diferensial Orde 2 Non Homogen Contoh Soal Terbaru
www.shareitnow.me

Contoh Soal Persamaan Diferensial Orde 2 Contoh Soal Terbaru
www.shareitnow.me

Persamaan Differensial Orde Homogen Sebaliknya Disebut Non Homogen Persamaan Differensial Biasa Linier
pdfslide.tips

Contoh Soal Persamaan Diferensial Non Exact Taufiqur Rokhman
taufiqurrokhman.wordpress.com

Modul 2 Pd Linier Orde N
www.slideshare.net

Modul 2 Pd Linier Orde N
www.slideshare.net

15 1 Persamaan Diferensial Linear Orde 2 Homogen Youtube
www.youtube.com

Metode Koefisien Tak Tentu Untuk Penyelesaian Pd Linier Homogen Tak Homogen Orde 2 Matematika Teknik I Sigit Kusmaryanto Pdf Free Download
docplayer.info

Persamaan Diferensial Orde Ii
www.slideshare.net

Https Dinus Ac Id Repository Docs Ajar Persamaan Diferensial Parsial Pdf

Persamaan Diferensial Biasa Persamaan Diferensial Orde Kedua
www.slideshare.net

Bab Iv Persamaan Diferensial Linier
studylibid.com

Persamaan Diferensial Orde N Non Homogen
studylibid.com

Modul 2 Pd Linier Orde N Authorstream
www.authorstream.com

Contoh Soal Pd Orde 2 Non Homogen Taufiqur Rokhman
taufiqurrokhman.wordpress.com

Contoh Soal Diferensial Homogen
contohsoal.netlify.app

Contoh Soal Persamaan Diferensial Non Exact Taufiqur Rokhman
taufiqurrokhman.wordpress.com

Soal Dan Pembahasan Persamaan Diferensial Guru Ilmu Sosial
www.ilmusosial.id

Modul 2 Pd Linier Orde N
www.slideshare.net

Persamaan Diferensial Linier Non Homogen
www.yumpu.com

Contoh Soal Pd Orde 2 Non Homogen Taufiqur Rokhman
taufiqurrokhman.wordpress.com

Bab Ii Persamaan Diferensial Biasa Pdb Orde Satu
id.123dok.com

Persamaan Diferensial Pd Ppt Download
slideplayer.info

Definis Pd Pembentukan Penyelesaian Integrasi Langsung Pemisahan Var Homogen1
id.scribd.com

Http Trihandika Staff Gunadarma Ac Id Downloads Files 56001 Materi Matematika Teknik 3 28ii 29 Pdf

Http Repository Uinsu Ac Id 8291 1 Diktat 20pde Pdf

Persamaan Diferensial Orde 2 Pdf 15 Persamaan Diferensial Orde Ii 1 Review Persamaan Diferensial Persamaan Diferesial Merupakan Persamaan Yang Course Hero
www.coursehero.com

Ppt 3 Persamaan Diferensial Linier Orde Satu Bentuk Umum Powerpoint Presentation Id 3616491
www.slideserve.com

Persamaan Di Erensial Orde 2 Ltpb Itb Akan Mulai Dengan Solusi Jika S X 0 Atau Versi Homogen Persamaan Diferensial Linear Homogen Orde 2 Dengan Koe Sien Konstan
dokumen.tips

Contoh Soal Persamaan Diferensial Tidak Homogen
contohsoal.netlify.app

Bab 7 Persamaan Differensial Non Homogen
www.yumpu.com

Persamaandifferensial
www.slideshare.net

Pd Non Homogen
id.scribd.com

Rangkaian Dan Persamaan Diferensial Orde 2 Ppt Download
slideplayer.info

Pdf Persamaan Diferensial Orde 2 Homogen Dan Tak Homogen
www.researchgate.net

Http Dinus Ac Id Repository Docs Ajar 1 6 Persamaan Diferensial Orde Dua Pdf

Buku Ajar Persamaan Diferensial Jilid 1 Shopee Indonesia
shopee.co.id

Persamaan Differensial Biasa Orde 2 Non Homogen Contoh Soal Ke 3 Youtube
m.youtube.com

Contoh Soal Pd Orde 2 Non Homogen Taufiqur Rokhman
taufiqurrokhman.wordpress.com

Pdf Aplikasi Persamaan Diferensial Orde 2 Choi El Fauzi San Academia Edu
www.academia.edu

Persamaan Diferensial Orde 2
www.slideshare.net

Soal Soal Dan Pembahasan Pd Orde 2 Non Homogen Koef Konstan Taufiqur Rokhman
taufiqurrokhman.wordpress.com

Persamaan Diferensial Linier Homogen Orde 2
id.scribd.com

Persamaan Differensial Biasa Orde 2 Non Homogen Contoh Soal No 1 Youtube
www.youtube.com

Tentukan Jenis Persamaan Diferensial Dan Selesaikan Persamaan Di Bawah Tex Y 4y 4 Y 6 E 2x Brainly Co Id
brainly.co.id

Soal Dan Pembahasan Persamaan Diferensial Linear Orde Dua Non Homogen Dengan Koefisien Konstan Mathcyber1997
mathcyber1997.com

Contoh Soal Persamaan Diferensial Biasa Dan Penyelesaiannya Bagikan Contoh
bagikancontoh.blogspot.com

Contoh Soal Dan Pembahasan Persamaan Diferensial Biasa Guru Ilmu Sosial
www.ilmusosial.id

Metode Koefisien Tak Tentu Untuk Penyelesaian Pd Linier Homogen Tak Homogen Orde 2 Matematika Teknik I Sigit Kusmaryanto Pdf Free Download
docplayer.info

Aplikasi Persamaan Diferensial Linear Or
id.123dok.com

Doc Persamaan Differensial Orde 2 Eva Lelana Academia Edu
www.academia.edu

Bab Iii Persamaan Diferensial A Persamaan Diferensial Linier Jika Tidak Disebut Pd Linier Koefisien Variabel Adalah Salah Satu Fungsi Yang Ada Dalam Pdf Document
fdokumen.com

Persamaan 5 Pd Linier Non Homogen Orde 2 Lanjutan 2 Metode Variasi Parameter Metode Untuk Menentukan Pdf Document
fdokumen.com

Buku Ajar Persamaan Diferensial Jilid 2 Shopee Indonesia
shopee.co.id

Pd Orde2 Tak Homogen 2
www.slideshare.net

Https Ltpb Itb Ac Id Wp Content Uploads Sites 38 2016 02 Pdlinear Orde 2 Pdf

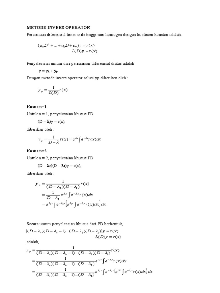
Metode Invers Operator 2 Beserta Contoh Soal
id.scribd.com

Modul 2 Pd Linier Orde N
www.slideshare.net

Metode Koefisien Tak Tentu Untuk Penyelesaian Pd Linier Homogen Tak Homogen Orde 2 Matematika Teknik I Sigit Kusmaryanto Pdf Free Download
docplayer.info

Sistem Persamaan Diferensial Ppt Download
slideplayer.info

2

Ppt Persamaan Diferensial Linier Powerpoint Presentation Free Download Id 3934647
www.slideserve.com

close