Sangat Membantu

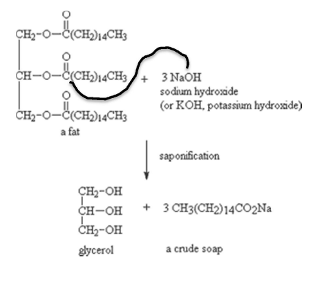
Reaksi Saponifikasi Adalah


Tuliskan Reaksi Saponifikasi Tolong Jawab Yang Bener Ya Brainly Co Id
brainly.co.id

Kimia Fisika Iii Kinetika Reaksi Saponifikasi Etil Asetat Pdf Document
vdocuments.mx

Laporan Reaksi Saponifikasi Serta Pengujian Sifat Surfaktan Sabun Dan
www.slideshare.net

Kimia Kelas 12 Lemak
www.slideshare.net

Lemak
www.slideshare.net

Pengaruh Jenis Impeller Terhadap Reaksi Saponifikasi Sabun Cair Dalam Reaktor Tangki Berpengaduk Ratb
repositori.usu.ac.id

Https Bestjournal Untad Ac Id Index Php Kovalen Article Download 10188 8105

Laporan Reaksi Saponifikasi Serta Pengujian Sifat Surfaktan Sabun Dan
www.slideshare.net

Http Repository Um Palembang Ac Id Id Eprint 104 2 Skripsi20 1704036173 Pdf

Institut Teknologi Bandung Fakultas Teknologi Industri Program Studi Teknik Kimia Pembuatan Produk Pdf Download Gratis
docplayer.info

Apa Perbedaan Sabun Colek Sabun Cuci Tangan Sabun Batangan Ketika Dipakai Untuk Cuci Tangan Quora
id.quora.com

Percobaan 6 Reaksi Saponifikasi Penyabunan Youtube
www.youtube.com

Doc Sintesis Sabun Diah Diah Ayu Pratiwi Academia Edu
www.academia.edu

Doc Lemak Darman Ghalib Syah Academia Edu
www.academia.edu

Reaksi Reaksi Ester Turunan Alkana Amaldoft
amaldoft.wordpress.com

Reaksi Saponifikasi Ilmu Kimia Artikel Dan Materi Kimia
www.ilmukimia.org

Http Eprints Polsri Ac Id 4079 3 Bab 20ii Pdf

Reaksi Penyabunan Saponifikasi Struktur Dan Reaksi Lemak Unacademy
unacademy.com

Laporan Saponifikasi Docx Document
fdokumen.com

Sabun Vs Body Wash My Blog
alasains.wordpress.com

Saponifikasi
www.slideshare.net

Saponifikasi Penyabuan
id.scribd.com

Doc I Reaksi Saponifikasi Dan Pengujian Sifat Surfaktan Sabun Dan Deterjen Done Raras Paramasari Academia Edu
www.academia.edu

Laporan Saponifikasi Kelompok 4 S1 C 2019 Pdf Laporan Praktikum Kimia Organik Kelompok Iv Kelas C Febriani Novita Dewi 1807113494 Muhammad Taufiq Course Hero
www.coursehero.com

Praktikum Saponifikasi Docx Document
fdokumen.com

Https Simdos Unud Ac Id Uploads File Penelitian 1 Dir 86524bcace8f3dc02ed7a3ad8e71ef82 Pdf

Pengolahan Air Leri Menjadi Sabun Pembersih Wajah Yang Pembuatan Sabun Menggunakan Prinsip Reaksi Saponifikasi Yaitu Reaksi Antara Minyak Dan Koh Naoh Sabun Pembersih Wajah Yang
pdfslide.net

Pengertian Gliserol Sifat Pembuatan Manfaat Definisi Dan Penjelasan Apayangdimaksud Com
apayangdimaksud.com

Lipid Kimia Kelas 12 Pengertian Struktur Dan Turunan Reaksi Quipper Blog
www.quipper.com

Doc Penyabunan New Andri Aen Than Ang Academia Edu
www.academia.edu

Laporan Resmi Saponifikasi
dokumen.tips

Pdf Tiket Masuk Dan Laporan Praktikum Kimia Organik Bab Saponifikasi Pdf Kinanti Rina Academia Edu
www.academia.edu

Pengertian Saponifikasi Docx Document
vdocuments.site

Pembuatan Sabun Alat Bahan Metode Cara Proses Saponifikasi 2020
adevnatural.com

Pengertian Lemak Sifat Klasifikasi Funsi Struktur Jenis
www.gurupendidikan.co.id

Topik Percobaan Penyabunan Pdf Document
fdokumen.com

Tm Saponifikasi
id.scribd.com

Reaksi Saponifikasi
id.scribd.com

Bab 2 Tinjauan Pustaka Pdf Free Download
docplayer.info

Https Media Neliti Com Media Publications 143504 Id Pemanfaatan Minyak Goreng Bekas Dan Abu Pdf

Pdf Laporan Reaksi Penyabunan Retno Prasetia Academia Edu
www.academia.edu

Reaksi Lemak Dan Minyak Hidrogenasi Penyabunan Hidrolisis Kimia
www.nafiun.com

Laporan Praktikum Saponifikasi Hajar Fisika
www.hajarfisika.com

Reaksi Saponifikasi Sains Pangan
www.sainspangan.com

Kimia Fisika Iii Kinetika Reaksi Saponifikasi Etil Asetat Pdf Document
fdokumen.com

Http Velahumaira Blogspot Com 2014 03 Laporan Kimia Organik Reaksi Html

Laporan Saponifikasi Lengkap
id.scribd.com

Teori
id.scribd.com

Lapres Kf Kinetika Reaksi Saponifikasi Etil Asetat
id.scribd.com

Pembuatan Sabun Dan Reaksi Saponifikasi
id.scribd.com

Laporan Reaksi Saponifikasi Serta Pengujian Sifat Surfaktan Sabun Dan Deterjen
dokumen.tips

Saponifikasi Adalah Reaksi Pembentukan Sabun
id.scribd.com

Lipid Kimia Kelas 12 Pengertian Struktur Dan Turunan Reaksi Quipper Blog
www.quipper.com

Sifat Lemak Rolifhartika S Blog
rolifhartika.wordpress.com

Refinery Dan Pengolahan Turunan Minyak Sawit Ppt Download
slideplayer.info

Organic Chemistry Tugas Terstruktur I Saponifikasi
ramaaidinanurfitriana.blogspot.com

Doc Saponifikasi Ishmah Hanifah Academia Edu
www.academia.edu

Penyabunan Bilangan Penyabunan Ppt Download
slideplayer.info

Http Eprints Polsri Ac Id 3318 3 Bab 202 Pdf

Teknologi Pengolahan Sabun Sains Pangan
www.sainspangan.com

50 Soal Lipid Lemak Pilihan Ganda Dan Kunci Jawaban Pembahasan
soalkimia.com

Lipid Kimia Kelas 12 Pengertian Struktur Dan Turunan Reaksi Quipper Blog
www.quipper.com

Penyabunan Bilangan Penyabunan Ppt Download
slideplayer.info

Saponifikasi Nenden Anggraeni Academia Edu
www.academia.edu

Reaksi Saponifikasi
id.scribd.com

Saponifikasi
www.slideshare.net

Teori Penyabunan
dokumen.tips

Penyabunan Bilangan Penyabunan Ppt Download
slideplayer.info

Silvia S Blog Laporan Kimia Fisika Penyabunan Etil Asetat
silvia-marceliana-4301411018.blogspot.com

Sabun Transparan Untuk Bisnis Cara Membuatnya Di Pabrik
adevnatural.com

Kinetika Reaksi Saponifikasi Etil Asetat
id.scribd.com

Pembahasan Soal Un Kimia Tahun 2018 Nomor 11 20 Urip Dot Info
www.urip.info

Saponifikasi
www.slideshare.net

Apakah Sabun Transparan Itu Lentera Kecil
lenterakecil.com

Laporan Kimia Organik A1 Reaksi Saponifikasi Serta Pengujian Sifat Surfaktan
id.scribd.com

Doc Laporan Reaksi Saponifikasi Pada Lemak Almira Nuringtyas Academia Edu
www.academia.edu

Apa Yang Dimaksud Dengan Saponifikasi Kimia Dictio Community
www.dictio.id

Saponifikasi
www.slideshare.net

1
encrypted-tbn0.gstatic.com

Reaksi Reaksi Ester Turunan Alkana Amaldoft
amaldoft.wordpress.com

Lemak
www.slideshare.net

Lipid Kimia Kelas 12 Pengertian Struktur Dan Turunan Reaksi Quipper Blog
www.quipper.com

Reaksi Penyabunan Pdf
id.scribd.com

Praktikum Kimia Organik Saponifikasi
infokimiawan13o1a-1.blogspot.com

Https Pdfs Semanticscholar Org D63d 0d2bb65eb297f84a7112d812da8c11721a2c Pdf

Reaksi Penyabunan Saponifikasi Razzakchem015
razzakchem015.wordpress.com

Laporan Reaksi Saponifikasi Serta Pengujian Sifat Surfaktan Sabun Dan
www.slideshare.net

Saponifikasi
www.slideshare.net

Doc Bab 2 Tinjauan Pustaka Saponifikasi Sulis Alfarizy Academia Edu
www.academia.edu

Reaksi Reaksi Ester Turunan Alkana Amaldoft
amaldoft.wordpress.com

Laporan Saponifikasi
pdfslide.net

Doc Laporan Praktikum Kimia Organik Saponifikasi May Tambunan Academia Edu
www.academia.edu

2

Jelaskan Termasuk Reaksi Hidrolisis Pada Pembuatan Sabun Brainly Co Id
brainly.co.id

Saponifikasi Adalah Reaksi Pembentukan Sabun Pdf Document
fdokumen.com

Reaksi Penyabunan
es.scribd.com

Reaksi Penyabunan Saponifikasi Ppt Download
slideplayer.info

Saponifikasi
www.slideshare.net

Saponifikasi Wikipedia Bahasa Indonesia Ensiklopedia Bebas
id.wikipedia.org

Pembuatan Sabun Reaksi Saponifikasi Youtube
www.youtube.com

Kinetika Reaksi Saponifikasi Etil Asetat
pdfslide.tips

close