Sangat Membantu

Rumus Arus Induksi


Induksi Elektromagnetik Ilmu Hitung
ilmuhitung.com

Http Sumberbelajar Seamolec Org Media Dokumen 5a583883865eacc372523abb F8173f87edd1baf56c9d83ea3c4e0ca3 Pdf

Aplikasi Penerapan Induksi Elektromagnetik Contoh Soal Jawaban Generator Ac Dc Transformator Pengertian Prinsip Kerja Fungsi Bagian Bagian Gambar Praktikum Fisika
www.nafiun.com

Kumpulan Rumus Fisika Sma
www.slideshare.net

Https Encrypted Tbn0 Gstatic Com Images Q Tbn 3aand9gcsmbr9dm7teundtwkwomys I66egrlvbuknjpcxfgphnjl9q9kv Usqp Cau
encrypted-tbn0.gstatic.com

Contoh Soal Induksi Magnetik Dan Pembahasannya Soalfismat Com
soalfismat.com

Gaya Gerak Listrik Ggl Induksi Pengertian Rumus Contoh Soal Ilmu Ipa Fisika
www.imronweb.com

Kumpulan Ilmu Dan Pengetahuan Penting Contoh Soal Fisika Induksi Elektromagnetik
ensiklopediilmupopuler355.blogspot.com

Induksi Elektromagnetik Materi Penerapan Rumus Contoh
www.gurupendidikan.co.id

Induksi Elektromagnetik Pengertian Penerapan Rumus Contoh Soal
pastiguna.com

Cara Menghitung Biaya Pemakaian Listrik Idschool
idschool.net

Kemagnetan Apa Itu Magnet Induksi Magnetik Gaya Lorentz Fluks Magnetik Mejakita
www.mejakita.com

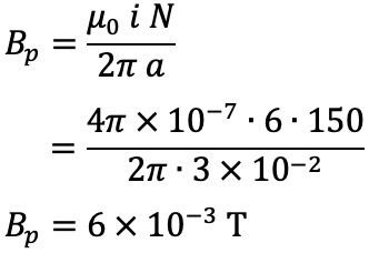
Sebuah Toroida Yang Berjari Jari 3 Cm Mempunyai Jumlah Lilitan Sebanyak 150 Lilitan Dialiri Arus Mas Dayat
www.masdayat.net

Induksi Elektromagnet Induksi Sendiri Dan Induksi Mutual Teknik Otomotif Com
www.teknik-otomotif.com

Perhitungan Untuk Motor 3 Fasa Kaltimintegrator
kaltimintegrator.wordpress.com

Mesin Arus Bolak Balik Bahan Kuliah
www.slideshare.net

Induksi Elektromagnetik Risma Fembriyanti
fembrisma.wordpress.com

Soal Dan Pembahasan Induksi Elektromagnetik Smp Kelas 9 Guru Ilmu Sosial
www.ilmusosial.id

Induksi Elektromagnetik Risma Fembriyanti
fembrisma.wordpress.com

Induksi Elektromagnetik Pengertian Penerapan Rumus Contoh Soal
seputarilmu.com

Hukum Faraday Rumus Bunyi Contoh Soal Pembahasan
www.nesabamedia.com

Rumus Induksi Elektromagnetik
rumushitung.com

Tuliskan Rumus Untuk Menghitung Induksi Magnet Pada Kawat Lurus Brainly Co Id
brainly.co.id

Hukum Faraday Mengenai Ggl Induksi Fisika Sekolah
www.fisikasekolah.com

Fisika Latihan Soal Induksi Elektromagnetik Pahamify Belajar Jadi Seru
pahamify.com

Pengertian Medan Magnet Sifat Satuan Rumus Contoh Soal
www.gurupendidikan.co.id

Hukum Faraday Mengenai Ggl Induksi Fisika Sekolah
www.fisikasekolah.com

Induksi Elektromagnetik
fisikastudycenter.com

Hukum Lenz Pengertian Dan Bunyinya Centipedia
www.centipedia.net

Reaktansi Induktif Pengertian Dan Rumusnya Nulis Ilmu Com
nulis-ilmu.com

Rangkuman Contoh Soal Pembahasan Imbas Elektromagnetik
tanya-tanya.com

Bisakah Kita Menciptakan Arus Listrik Dari Magnet Simak Di Sini
www.quipper.com

Kumpulan Ilmu Dan Pengetahuan Penting Contoh Soal Fisika Induksi Elektromagnetik
ensiklopediilmupopuler355.blogspot.com

Rumus Medan Magnet Pengertian Contoh Soal Induksi Sifat
www.dosenpendidikan.co.id

Rangkuman Induksi Elektromagnetik Dan Arus Listrik Bolak
id.scribd.com

Gaya Lorentz Pengertian Kaidah Tangan Kanan Rumus Contoh Soal
www.studiobelajar.com

Rumus Medan Magnet
www.slideshare.net

Induksi Elektromagnetik Wikipedia Bahasa Indonesia Ensiklopedia Bebas
id.wikipedia.org

Contoh Soal Fluks Magnet Ggl Induksi Dan Pembahasan Soalfismat Com
soalfismat.com

Contoh Induksi Elektromagnetik Hukum Rumus Penerapan
www.dosenpendidikan.co.id

Pengertian Induktor Fungsi Contoh Aplikasi Dan Contoh Soal Induktor
enjiner.com

Doc Kumpulan Soal Magnet Dan Elektromagnet Akzha Jumiati Academia Edu
www.academia.edu

Materi Induksi Dan Arus Ac
id.scribd.com

Rumus Arus Induksi Elektromagnet Rumusrumus Com
rumusrumus.com

Induksi Elektromagnetik Ppt Download
slideplayer.info

Https Encrypted Tbn0 Gstatic Com Images Q Tbn 3aand9gcqcudukamm5tgbio4agze9y Pzhz3wkwksmlait 5uif3 Oty6k Usqp Cau
encrypted-tbn0.gstatic.com

Ggl Induksi Yang Dihasilkan Solenoid Sebesar 2 Volt Apabila Arus Listrik Yang Mengalir Pada Brainly Co Id
brainly.co.id

Induksi Elektromagnetik Materi Penerapan Rumus Contoh
www.gurupendidikan.co.id

Pengertian Induksi Elektromagnetik Hukum Faraday Hukum Lenz Gaya Gerak Listrik Induksi Ggl Rumus Contoh Soal Jawaban Praktikum Kumparan Medan Elektromagnetik Fisika
www.nafiun.com

Induksi Elektromagnetik Materi Penerapan Rumus Contoh
www.gurupendidikan.co.id

Pengertian Induktor Fungsi Contoh Aplikasi Dan Contoh Soal Induktor
enjiner.com

Materi Ipa Kelas 9 Smp Mts Kurikulum 2013 Induksi Elektromagnetik
www.amongguru.com

Induksi Elektromagnetik Ppt Download
slideplayer.info

Ilmu Pengetahuan 2 Contoh Soal Fisika Induksi Elektromagnetik
ilmupopuler2.blogspot.com

Https Encrypted Tbn0 Gstatic Com Images Q Tbn 3aand9gcte Tc2qhyqsbjy2oeq Qiiqukfbiys2pzmqn6igkme C2xb0vr Usqp Cau
encrypted-tbn0.gstatic.com

Pengertian Jenis Rumus Hingga Contoh Soal Reaktansi Lengkap
cerdika.com

Bab Vi Gaya Magnetik Induksi Elektromagnetik
id.scribd.com

Rumus Induksi Elektromagnetik
rumushitung.com

Rumus Menghitung Kecepatan Sinkron Pada Kelistrikkan
www.slideshare.net

Rumus Vektor
fisikakontekstual.com

Induksi Elektromagnetik Pengertian Dan Contohnya
ardra.biz

Rumus Arus Induksi Elektromagnetik Dan Contoh Soalnya
rumusrumus.com

Hukum Faraday Mengenai Ggl Induksi Fisika Sekolah
www.fisikasekolah.com

Fisika Induksi Elektromagnetik
ramadinimariska.blogspot.com

Electronic Note Hukum Lenz
myelectronicnote.blogspot.com

Rumus Hambatan Listrik Pengertian Macam Macam Contoh Soal
rumus.co.id

Http Sumberbelajar Seamolec Org Media Dokumen 5a583883865eacc372523abb F8173f87edd1baf56c9d83ea3c4e0ca3 Pdf

Induksi Elektromagnetik Ppt Download
slideplayer.info

Induksi Elektromagnetik Listrik Magnet
www.slideshare.net

Kumpulan Rumus Fisika Sma
www.slideshare.net

Ggl Imbas Triyustinurmeida
triyustinurmeida.wordpress.com

Rumus Arus Induksi Elektromagnetik Dan Contoh Soalnya
www.utakatikotak.com

Materi Induksi Dan Arus Ac Docx Document
fdokumen.com

Induksi Elektromagnetik
id.scribd.com

Magnet Dan Induksi Elektromagnet Belajar Dengan Eksperimen
iksan35.wordpress.com

Induksi Dan Gelombang Elektromagnetik Asyik Belajar
asyikbelajar.com

Pdf Kumpulan Rumus Fisika Sma Pdf Husn Fatih Academia Edu
www.academia.edu

Contoh Induksi Elektromagnetik Hukum Rumus Penerapan
www.dosenpendidikan.co.id

Gaya Gerak Listrik Induksi Ggl Rumus Contoh Dan Jawabanya
passinggrade.co.id

Medan Magnet Pengertian Sifat Rumus Contoh Soalnya Lengkap
seputarilmu.com

Rumus Arus Induksi Elektromagnetik Dan Contoh Soalnya Rumus Rumus
id.scribd.com

Untuk Memperbesar Ggl Induksi Pada Ujung Ujung Kumparan Dapat Dilakukan Dengan A Mengurangi Brainly Co Id
brainly.co.id

Contoh Induksi Elektromagnetik Hukum Rumus Penerapan
www.dosenpendidikan.co.id

Hukum Lenz Rumus Bunyi Konsep Induksi Gambar Dan Contoh Soal
quipper.co.id

Materi Fisika Hukum Faraday I D D A
ilmu-duniadanakhirat.blogspot.com

Induksi Elektromagnetik Pengertian Penerapan Rumus Contoh Soal
www.studiobelajar.com

Hukum Lenz Pengertian Dan Bunyi Hukum Lenz Teknik Elektronika
teknikelektronika.com

Hukum Biot Savart Pengertian Contoh Dan Penjelasannya
passinggrade.co.id

Materi Ipa Kelas 9 Smp Mts Kurikulum 2013 Induksi Elektromagnetik
www.amongguru.com

Induksi Elektromagnetik
fisikastudycenter.com

3 Rumus Gaya Lorentz Dan Contoh Soalnya Paling Lengkap
rumusrumus.com

Medan Magnet Pengertian Sifat Rumus Contoh Soalnya Lengkap
seputarilmu.com

Hukum Lenz Pengertian Rumus Bunyi Dan Contoh Soal
moztrip.com

Https Encrypted Tbn0 Gstatic Com Images Q Tbn 3aand9gcs5tkufwxp4dtmpj2nm6rwea7gnhgbiz V3510i8uki3ggq9tzu Usqp Cau
encrypted-tbn0.gstatic.com

Pengertian Fluks Magnetik Rumus Satuan Dan Contoh Blog Usaha321 Net
blog.usaha321.net

Bisakah Kita Menciptakan Arus Listrik Dari Magnet Simak Di Sini
www.quipper.com

Rumus Fluida
fisikakontekstual.com

Fluks Magnetic Ggl Induksi Kawat Konduktor Rumus Dan Cara Menghitungnya
ardra.biz

Gaya Gerak Listrik Rumus Pengertian Sumber Penerapan
thegorbalsla.com

Pengertian Hukum Faraday Dan Bunyi Hukum Faraday Teknik Elektronika
teknikelektronika.com

Induksi Elektromagnetik Ppt Download
slideplayer.info

Soal Ggl Induksi Pada Ujung Ujung Penghantar Dan Pembahasan Ayo Sekolah Fisika
www.ayo-sekolahfisika.com

Induksi Elektromagnetik Pengertian Rumus Soal
rumuspintar.com

Rumus Induksi Magnetic Toroida Ardra Biz
ardra.biz

close