Sangat Membantu

Rumus Barisan Fibonacci


Tiga Suku Berikutnya Dari Barisan Fibonacci 1 1 2 3 5 Adalah Brainly Co Id
brainly.co.id

Bilangan Ke 14 Pada Suatu Barisan Fibonacci Yaitu Brainly Co Id
brainly.co.id

Fibonacci
www.slideshare.net

Doc Makalah Bilangan Fibonacci Tugas Mata Kuliah Konsep Dasar Matematika Semester 1 Pgsd Fkip Ur 2013 Mimis Riati Academia Edu
www.academia.edu

Pola Bilangan Dan Rumus Un Suatu Pola Bilangan Idschool
idschool.net

Cara Cepat Hitung Pola Bilangan Deret Angka Rumus Contoh Soal
hindayani.com

Rumus Perhitungan Rasio Level Fibonacci Teman Forex
temanforex.com

Nbsp Web Viewperhatikan Barisan Fibonacci Berikut 1 2 3 5 8 13 Berapakah Suku Ke 20 Barisan Itu Tentukan Rumus Suku Ke N Barisan 1 1 2 1 4 1 8 Docx Document
fdokumen.com

Teknik Counting Lanjut 1
www.slideshare.net

8 Barisan Tak Tentu Docx
www.scribd.com

Rumus Perhitungan Rasio Level Fibonacci Teman Forex
temanforex.com

Tolong Ya Kak Dibantu Brainly Co Id
brainly.co.id

Sejarah Definisi Dan Penerapan Barisan Fibonacci Kedai Mipa
www.allmipa.com

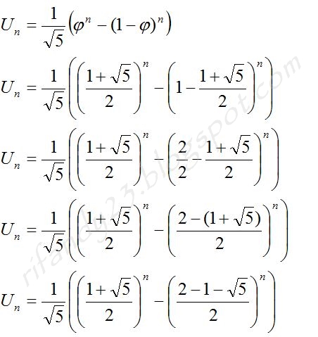
Rifandy Blog Pembuktian Rumus Suku Ke N Barisan Fibonacci Metode Induksi Matematika
rifandy23.blogspot.com

Rifandy Blog Pembuktian Rumus Suku Ke N Barisan Fibonacci Metode Induksi Matematika
rifandy23.blogspot.com

Rumus Pola Bilangan Segitiga Persegi Fibonacci Ganjil Dan Genap
rumus.co.id

Cara Menghitung Deret Fibonacci Dengan Gambar Wikihow
id.wikihow.com

Bilangan Ke 14 Pada Suatu Barisan Fibonacci Yaitu Brainly Co Id
brainly.co.id

Fibonacci Rasio Emas Rumus Terhebat Yang Pernah Ada Beda Berita
www.bedaberita.com

Membuat Pola Dengan Fibonacci
erapee.com

Sebuah Barisan Fibonacci Memiliki Suku Pertama U1 6 Dan U7 102 Suku Kedua Barisan Tersebut Youtube
www.youtube.com

Cara Cepat Hitung Pola Bilangan Deret Angka Rumus Contoh Soal
hindayani.com

Rifandy Blog Pembuktian Rumus Suku Ke N Barisan Fibonacci Metode Induksi Matematika
rifandy23.blogspot.com

Barisan Dan Deret
www.slideshare.net

Barisan Dan Deret
www.slideshare.net

Contoh Soal Ujian Nasional 2019 Matematika Smp Mts Materi Pola Bilangan
www.amongguru.com

Fibonacci Deret Angka Yang Konon Mampu Buktikan Keberadaan Tuhan
www.idntimes.com

Matematika Sekolah 2 Menentukan Pola Barisan Bilangan
studylibid.com

Menentukan Dua Suku Berikutnya Dari Barisan Bilangan Berikut Berdasarkan Pola Bilangan Sebelumnya Youtube
m.youtube.com

Fibonacci
www.slideshare.net

Rangkuman Soal Dan Jawaban Pola Bilangan Belajar Dari Rumah Tvri Smp 4 Juni Halaman All Kompas Com
www.kompas.com

Pola Barisan Aritmetika Bertingkat Bengkel Ilmu Persevera
bengkelilmupersevera.wordpress.com

Tentukan Tiga Suku Berikutnya Dan Barisan 1 5 11 19 Brainly Co Id
brainly.co.id

Pemrograman Menentukan Barisan Fibonacci Dengan Array C
bangpemrograman.blogspot.com

Representasi Bilangan Fibonacci Dalam Bentuk I 1 Dan I 2 Pdf Document
fdokumen.com

Rekursif Ppt Download
slideplayer.info

Suku Ke 10 Barisan Bilangan Fibonacci 1 1 2 3 5 8 13 Adalah Tolong Di Jwb Yah Bsk Kumpul Brainly Co Id
brainly.co.id

Barisan Bilangan A U1 Suku Ke 1 Un Suku Ke N 2 B Beda Ppt Download
slideplayer.info

Alam Mengembang Jadi Guru Golden Ratio Fibonacci
versesofuniverse.blogspot.com

Jenis Jenis Barisan
pt.scribd.com

Fibonacci
www.slideshare.net

1 Pola Barisan Bilangan
www.slideshare.net

Rekursif Ppt Download
slideplayer.info

Menentukan Banyak Suku Deret Aritmatika
maths.id

Asal Usul Barisan Fibonacci
maths.id

Pola Barisan Aritmetika Bertingkat Bengkel Ilmu Persevera
bengkelilmupersevera.wordpress.com

Sebuah Barisan Fibonacci Memiliki Suku Pertama U1 6 Dan U7 102 Suku Kedua Barisan Tersebut Youtube
www.youtube.com

Cara Cepat Hitung Pola Bilangan Deret Angka Rumus Contoh Soal
hindayani.com

Baris Dan Deret
studylibid.com

Barisan Fibonacci Marthamatika
www.marthamatika.com

Rumus Umum Barisan Fibonacci Youtube
www.youtube.com

Apa Tips Untuk Mengerjakan Soal Tps Tentang Barisan Dengan Cepat Quora
id.quora.com

Pola Bilangan Dan Rumus Un Suatu Pola Bilangan Idschool
idschool.net

Barisan Fibonacci Bermatematika
bermatematika.net

Bilangan Fibonacci Mat Kelas 8 K 13 Bab 1 Pola Bilangan Youtube
www.youtube.com

Pola Bilangan Dan Rumus Un Suatu Pola Bilangan Idschool
idschool.net

Rumus Fibonacci Forex Dalam Binare Optionen Handels Strategien
binareoptionsstrategie.logdown.com

Pengertian Dan Pola Barisan Bilangan Fibonacci Rumah Rumus Pelajaran
rumusnih.blogspot.com

Menemukan Pola Bilangan Merupakan Latihan Yang Dapat Meningkatkan Kem
www.slideshare.net

Rm Habibb Tutorial Membuat Deret Fibonacci Menggunakan Bahasa C
habibb-rm.blogspot.com

49826663 Barisan Deret
www.slideshare.net

Sebutkan Tiga Suku Berikutnya Dari Barisan 3 4 7 11 18 Tekape Id
tekape.id

Doc Bab 19 Barisan Dan Deret Fixs Atsnan Fajar Academia Edu
www.academia.edu

Dua Suku Pertama Dari Barisan Fibonacci Ditentukan Oleh Bilangan 2 4 Lanjutkan Barisan Berikut Brainly Co Id
brainly.co.id

Pola Bilangan Dan Rumus Un Suatu Pola Bilangan Idschool
idschool.net

Fibonacci Deret Angka Yang Konon Mampu Buktikan Keberadaan Tuhan
www.idntimes.com

V An Rumus Suku Ke N
leovan9.blogspot.com

Rumus Pola Bilangan Segitiga Persegi Fibonacci Ganjil Dan Genap
rumus.co.id

Fibonacci
www.slideshare.net

Materi Pembelajaran
belajardaring.com

Rumus Perhitungan Rasio Level Fibonacci Teman Forex
temanforex.com

A Baris Dan Deret Aritmatika
studylibid.com

Tugas Buat Algoritma Menentukan Deret Bilangan Fibonacci Galih S Blog
galihpramonoo.wordpress.com

Rifandy Blog Pembuktian Rumus Suku Ke N Barisan Fibonacci Metode Induksi Matematika
rifandy23.blogspot.com

Pola Bilangan Pengertian Serta Jenis Jenis Pola Bilangan
www.seputarpengetahuan.co.id

Barisan Dan Deret
www.slideshare.net

Rumus Barisan Dan Deret Bilangan Matematika
www.danlajanto.com

Pola Bilangan Dan Rumus Un Suatu Pola Bilangan Idschool
idschool.net

Barisan Fibonacci Dan Rasio Emas I Bermatematika
bermatematika.net

Asal Usul Barisan Fibonacci
maths.id

Fibonacci Adalah Indikator Penting Untuk Menganalisa Sentimen Pasar Tradelina
tradelina.com

Pengertian Pola Bilangan Macam Jenis Dan Contoh Pola Bilangan Lengkap Pelajaran Sekolah Online
www.pelajaran.co.id

Monday January 9 2012 1 Barisan Bilangan Genap
id.scribd.com

2 Rumus Pola Ke N Dari Pola Barisan 7 10 13 16 Adalah A 5n 2 B 4n 3 C 3n 4 Brainly Co Id
brainly.co.id

Fibonacci
www.slideshare.net

Pola Bilangan Dan Rumus Un Suatu Pola Bilangan Idschool
idschool.net

Kegiatan 4 Menentukan Barisan Fibonacci Youtube
www.youtube.com

Jenis Jenis Pola Bilangan Dalam Matematika Wajib Dipahami Jibang Pardamean Hutagaol Berbagi Ilmu Matematika Informasi
www.ruangparabintang.com

Cara Menghitung Deret Fibonacci Dengan Gambar Wikihow
id.wikihow.com

Pola Barisan Aritmetika Bertingkat Bengkel Ilmu Persevera
bengkelilmupersevera.wordpress.com

Pola Bilangan Dan Rumus Un Suatu Pola Bilangan Idschool
idschool.net

Rumus Suku Ke N Pada Barisan Bilangan Bertingkat 5 9 15 23 Adalah Youtube
m.youtube.com

Barisan Fibonacci Dan Rasio Emas I Bermatematika
bermatematika.net

Fibonacci
www.slideshare.net

Fibonacci
www.slideshare.net

Bilangan Fibonacci Wikipedia Bahasa Indonesia Ensiklopedia Bebas
id.wikipedia.org

Fibonacci Deret Angka Yang Konon Mampu Buktikan Keberadaan Tuhan
www.idntimes.com

Rumus Perhitungan Rasio Level Fibonacci Teman Forex
temanforex.com

Rumus Perhitungan Rasio Level Fibonacci Teman Forex
temanforex.com

Rumus Baris Bilangan Dan Deret
id.scribd.com

close