Sangat Membantu

Rumus Beban Maksimum


Tegangan Geser Dan Momen Bending Pages 1 14 Flip Pdf Download Fliphtml5
fliphtml5.com

3 Cara Perhitungan Kebutuhan Daya Listrik Rumah Tinggal
infopromodiskon.com

Teorema Transfer Daya Maksimum Ppt Download
slideplayer.info

Hitunglah Berat Beban Maksimum Yang Boleh Di Gantungkan Pada Seutas Kawat Baja Yang Diameternya 10 Brainly Co Id
brainly.co.id

Perhitungan Jembatan
www.slideshare.net

Ddt
id.scribd.com

13 Menghitung Batas Kerja Aman Dari Sling
id.scribd.com

Http Sipil Studentjournal Ub Ac Id Index Php Jmts Article Download 625 572

Sugeng Rawuh Selamat Datang Welcome Rumus Menentukan Diameter Kabel
teguhpati.blogspot.com

Https Core Ac Uk Download Pdf 154927001 Pdf

13 Menghitung Batas Kerja Aman Dari Sling
id.scribd.com

Bahan Ajar Pondasi 2
www.slideshare.net

Blognya Mas Kunto Nuryoso Momen Dan Defleksi Maksimum Struktur Statis Tertentu
only-05.blogspot.com

Buckling Stress Kelikblog
blog.ub.ac.id

Sugeng Rawuh Selamat Datang Welcome Rumus Menentukan Diameter Kabel
teguhpati.blogspot.com

Menghitung Kebutuhan Daya Genset Untuk Pengganti Backup Dari Sumber Utama Pln Blog Teknisi
www.blog-teknisi.com

I Karakteristik Beban 8 Utilization Factor 1 Demand 9 Plant Factor Ppt Download
slideplayer.info

Analisis Kapasitas Rig Berdasarkan Beban Maksimum Dan Spesifikasi Minimum Rig Untuk Pengeboran Pada Sumur X Y Z Di Lapangan Bob Pdf Download Gratis
docplayer.info

Tolong Ya Pakai Caranyajika Panjang Tuas Tersebut 1 5 M Sejauh Manakah Penumpu Harus Digeser Agar Brainly Co Id
brainly.co.id

Pengikatan Dan Alat Bantu Angkat
id.scribd.com

Http E Journal Uajy Ac Id 10978 4 3ts13763 Pdf

Rumus Cepat Momen Maksimum Balok Sederhana Dengan Beban Terpusat Di Tengah Bentang Belajar Mekanika Teknik
mekanikateknikcom.wordpress.com

Terzaghi
id.scribd.com

Http Eprints Ums Ac Id 50198 20 Naskah 20publikasi 20rev 20perpus 204 Pdf

Beban Merata Belajar Mekanika Teknik
mekanikateknikcom.wordpress.com

Perhitungan Atap
www.slideshare.net

Pdf Rancangan Beton Tulangan Job 18 Kuat Lentur Deasy Monica Parhastuti Academia Edu
www.academia.edu

Perhitungan Atap
www.slideshare.net

Mencari Momen Maximum Dan Maximum Maximorum Di Suatu Titik Pada Gelagar Mekanika Teknik
mekanika-teknik.blogspot.com

Teorema Transfer Daya Maksimum Ppt Download
slideplayer.info

Fgmo3
id.scribd.com

Perhitungan Dimensi Kolom
id.scribd.com

Bahan Ajar Pondasi 2
www.slideshare.net

Prosedur Pengangkatan Beban Otopos Net
www.otopos.net

Menghitung Beban Maksimum Aktuator Kerja Praktek Tugas Akhir Mekatronika 2010
kptameka.wordpress.com

Rizaldy Berbagi Data Efisiensi Kelompok Tiang Pancang
rizaldyberbagidata.blogspot.com

Elemen Mesin 2 Perencanaan Poros Dengan Beban Puntir
www.slideshare.net

Tegangan Geser Dan Momen Bending Pages 1 14 Flip Pdf Download Fliphtml5
fliphtml5.com

51998292 Teori Perhitungan Bearing
www.slideshare.net

Cara Mencari Rumus Momen Maksimum Balok Sederhana Beban Terpusat Yang Letaknya Tidak Di Tengah Bentang Teknik Sipil Belajar Mekanika Teknik
mekanikateknikcom.wordpress.com

Http Download Garuda Ristekdikti Go Id Article Php Article 1353893 Val 430 Title Perancangan 20wire 20rope 20gantry 20crane

Tensile Test Pengertian Prosedur Acceptance Criteria Dan Standard
www.detech.co.id

Universi Tas Indonesia Analisis Distribusi Beban Gandar Pada Angkutan Berat Muatan Berlebih Terhadap Kerusakan Pada Struktur Perkerasan Lentur Skripsi Pdf Download Gratis
docplayer.info

Https Media Neliti Com Media Publications 112032 Id Pengaruh Lapis Styrofoam Sebagai Rongga Pdf

Analisa Struktur Tertentu Beban Merata Youtube
www.youtube.com

Http Repository Umy Ac Id Bitstream Handle 123456789 4723 Bab 20iv Pdf Sequence 8 Isallowed Y

Belum Banyak Yang Tahu Ini Cara Membaca Kode Load Index Di Ban Menentukan Beban Maksimal Gridoto Com
www.gridoto.com

Buku Ajar Analisa Struktur I
www.slideshare.net

Rumus Cepat Momen Maksimum Balok Sederhana Dengan Beban Terpusat Di Tengah Bentang Belajar Mekanika Teknik
mekanikateknikcom.wordpress.com

Contoh Soal Sambungan Baut
www.slideshare.net

I Karakteristik Beban 8 Utilization Factor 1 Demand 9 Plant Factor Ppt Download
slideplayer.info

Http Download Garuda Ristekdikti Go Id Article Php Article 1353893 Val 430 Title Perancangan 20wire 20rope 20gantry 20crane

Https Core Ac Uk Download Pdf 154927006 Pdf

Penjelasan Awal Mekanika Bahan Docx Document
fdokumen.com

Xls Perhitungan Beban Angin Gedung Excel Xlsx Isandre Fajarrachman Academia Edu
www.academia.edu

Begini Cara Menghitung Beban Maksimum Yang Bisa Diangkut Sebuah Mobil Yuk Disimak
otojurnalisme.com

Jika Panjang Tuas Tersebut 1 5m Sejauh Manakah Penumpu Harus Digeser Agar Tuas Dapat Mengangkat Brainly Co Id
brainly.co.id

Made Pande S Blog September 2013
madepande84.blogspot.com

Rumus Momen Maksimum Balok Sederhana Beban Terbagi Rata Teknik Sipil Belajar Mekanika Teknik
mekanikateknikcom.wordpress.com

Blognya Mas Kunto Nuryoso Momen Dan Defleksi Maksimum Struktur Statis Tertentu
only-05.blogspot.com

Hukum Pascal Berikut Contoh Soal
rumushitung.com

Hitunglah Berat Beban Maksimum Yang Boleh Di Gantungkan Pada Seutas Kawat Baja Yang Diameternya 10 Brainly Co Id
brainly.co.id

Rumus Momen Maksimum Balok Sederhana Beban Terbagi Rata Teknik Sipil Belajar Mekanika Teknik
mekanikateknikcom.wordpress.com

I Karakteristik Beban 8 Utilization Factor 1 Demand 9 Plant Factor Ppt Download
slideplayer.info

8 Percobaan Viii Kuat Tekan Mortal
id.scribd.com

I Karakteristik Beban 8 Utilization Factor 1 Demand 9 Plant Factor Ppt Download
slideplayer.info

Https Journal Unilak Ac Id Index Php Teknik Article Download 1737 1178

3 Cara Perhitungan Kebutuhan Daya Listrik Rumah Tinggal
infopromodiskon.com

Tiang Pancang I
www.slideshare.net

Load Capacity Dan Load Center Hal Penting Yang Sering Diabaikan Saat Mengoperasikan Forklift
safetysign.co.id

Doc Makalah Kayu Santa Tambunan Academia Edu
www.academia.edu

Be Safe Out There Keselamatan Pesawat Angkat Crane Lifting Safety
kerja-safety.blogspot.com

Menghitung Berat Beban Maksimum Yang Dapat Ditopang Oleh Batang Youtube
www.youtube.com

Https Media Neliti Com Media Publications 112032 Id Pengaruh Lapis Styrofoam Sebagai Rongga Pdf

Rumus Momen Maksimum Balok Sederhana Beban Terbagi Rata Teknik Sipil Belajar Mekanika Teknik
mekanikateknikcom.wordpress.com

Rencana Pondasi Pd Struktur Beton Sederhana 2 Lantai By Dwi Heriyanto Medium
medium.com

Sugeng Rawuh Selamat Datang Welcome Rumus Menentukan Diameter Kabel
teguhpati.blogspot.com

Analisa Kekuatan Scaffolding Proyek Lkpp
id.scribd.com

Bahan Ajar Pondasi 2
www.slideshare.net

Apakah Beban Kerja Anda Tinggi Medika Star
medikastar.com

Bab Iii Landasan Teori E Sni 03 3959 1995 3 Mesin Uji Yang Digunakan Untuk Pengujian Kuat Pdf Document
fdokumen.com

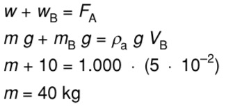
Balok Kayu Bermassa 10 Kg Memiliki Volume 5 X 10 2 M3 Jika Balok Dimasukkan Dalam Air Mas Dayat
www.masdayat.net

Bahan Ajar Pondasi 2
www.slideshare.net

Pengertian Dan Rumus Daya Rata Rata Maksimum Wira Electrical Engineering Portal Indonesia
wiraelectrical.com

Tegangan Yield Ifan Rohman Academia Edu
www.academia.edu

Memprediksi Kualiatas Trafo Daya Setiawan Audio Pages
sites.google.com

Tugas 1 Mkb
dokumen.tips

Pengertian Beban Minimal Pada Bangunan Dan Jenisnya
www.adhyaksapersada.co.id

Ponco Siwindarto Teub Ppt Download
slideplayer.info

Https Ejournal Unsrat Ac Id Index Php Jss Article Download 17639 17159

Balon Udara Volumenya 500 Cm3 Berisi Gas Yang Mempunyai Massa Jenis 0 1 Kg M3 Mas Dayat
www.masdayat.net

Analisis Pengukuran Beban Kerja Fisik Dengan Metode Fisiologi Pdf Free Download
docplayer.info

Fajar S Papers Mekanika Kekuatan Material
fajarsutarwan.blogspot.com

Converter Docx
id.scribd.com

Perhutungan Ukuran Kabel Dan Nilai Pemutus Rekapitulasi Daya
tekniklistrikindo.blogspot.com

Pembebanan Pada Struktur Jalan Rel Ppt Download
slideplayer.info

Bahan Ajar Pondasi 2
www.slideshare.net

Pembebanan Jembatan
www.situstekniksipil.com

2

Berapa Beban Maksimum Yang Boleh Digantung Pada Seutas Kawat Baja Dengan Luas Penampang 5 Mas Dayat
www.masdayat.net

close