Sangat Membantu

Rumus Bola Pejal Fisika


Soal Dan Pembahasan Momen Gaya Dan Momen Inersia Doc Document
fdokumen.com

Fisika Kelas 11 Cara Gampang Memahami Konsep Momen Inersia
blog.ruangguru.com

Contoh Soal Dan Jawaban Momen Gaya Guru Ilmu Sosial
www.ilmusosial.id

Menentukan Medan Listrik Menggunakan Hukum Gauss Gurumuda Net
gurumuda.net

Momen Gaya Momen Inersia
fisikastudycenter.com

Momen Inersia Konsep Rumus Contoh Soal Momen Inersia
www.studiobelajar.com

Momen Inersia Pengertian Konsep Rumus Contoh Tabel
www.gurupendidikan.co.id

Rumus Volume Setengah Bola Pejal Youtube
www.youtube.com

Momen Inersia Konsep Rumus Contoh Soal Momen Inersia
www.studiobelajar.com

Fisika Kelas 11 Cara Gampang Memahami Konsep Momen Inersia
blog.ruangguru.com

Hitunglah Titik Berat Gabungan Silinder Pejal Dari Kerucut Pejal Diukur Dari Alas Silinder Brainly Co Id
brainly.co.id

Momen Gaya Momen Inersia
fisikastudycenter.com

Momen Inersia Rumus Contoh Soal Dan Penjelasannya
saintif.com

Soal Dan Pembahasan Momen Gaya Dan Momen Inersia
id.scribd.com

Contoh Soal Percepatan Sudut Rotasi Dan Pembahasannya Soalfismat Com
soalfismat.com

Pdf Momen Inersia Tanpa Kalkulus Fahrul Bakri Academia Edu
www.academia.edu

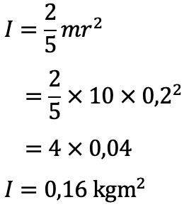
Tentukan Momen Inersia Bola Pejal Padat Bermassa 10 Kg Dan Berjari Jari 0 2 Meter Mas Dayat
www.masdayat.net

Belajar Fisika
bagurubkt.blogspot.com

Momen Inersia Konsep Rumus Contoh Soal Momen Inersia
www.studiobelajar.com

Pengertian Dan Rumus Momen Inersia Serta Contohnya Berpendidikan Com
www.berpendidikan.com

Pengertian Momen Inersia Rumus Contoh Dan Pembahasannya Pelajaran Sekolah Online
www.pelajaran.co.id

Siap Menghadapi Ujian Nasional Fisika 2013 Zainal Abidin
www.slideshare.net

Tujuan Pengolahan Data Momen Inersia Pdf Free Download
docplayer.info

Contoh Soal Dan Pembahasan Momen Gaya Dan Momen Inersia
www.slideshare.net

Rumus Luas Permukaan Dan Volume Setengah Bola Idschool
idschool.net

Fisika Xi
yoskin.wordpress.com

Momen Inersia Bola Pejal Ardra Biz
ardra.biz

Momentum Sudut Bola Pejal Adalah Momen Inersia Dikalikan Kecepatan Sudut Fisika Momentumsudut Youtube
m.youtube.com

Https Encrypted Tbn0 Gstatic Com Images Q Tbn 3aand9gct0qppqz61cqzqxveb7ommizqqrcaiced3fpi5xl Y Usqp Cau
encrypted-tbn0.gstatic.com

Momentum Sudut Bola Pejal Adalah Momen Inersia Dikalikan Kecepatan Sudut Fisika Momentumsudut Youtube
m.youtube.com

Momen Inersia Pengertian Konsep Rumus Contoh Tabel
www.gurupendidikan.co.id

Dinamika Rotasi Fisika Kelas 11 Quipper Blog
www.quipper.com

Rumus Momen Inersia Beserta Faktor Dan Contoh Soal
moztrip.com

Lks Xi Momen Inersia Gofos Docx
id.scribd.com

Rumus Momen Inersia Dan Contoh Soalnya Materiipa Com
materiipa.com

Soal Dan Pembahasan Energi Kinetik Rotasi
www.edutafsi.com

Pengertian Momen Inersia Rumus Contoh Dan Pembahasannya Pelajaran Sekolah Online
www.pelajaran.co.id

Lihat Benda Beputar Ingat Momen Inersia Quipper Blog
www.quipper.com

Rumus Volume Bola Luas Permukaan Dan Contoh Soal
rumus.co.id

Gerak Menggelinding Menggelinding Pada Bidang Datar Miring
fisikazone.com

Pembuktian Momen Inersia Benda Tegar Bola Pejal Youtube
m.youtube.com

Dinamika Rotasi Fisika Kelas 11 Quipper Blog
www.quipper.com

Rumus Rumus Fisika Lengkap Dinamika Rotasi Wikibuku Bahasa Indonesia
id.wikibooks.org

Fisika Xi
yoskin.wordpress.com

Momen Inersia Pengertian Konsep Rumus Contoh Tabel
www.gurupendidikan.co.id

Kelas Xi
fisikakontekstual.com

Soal Dan Pembahasan Energi Kinetik Rotasi
www.edutafsi.com

Rumus Momen Inersia Lengkap Dengan Contohnya Pinterkelas
pinterkelas.com

Contoh Soal Dan Pembahasan
www.slideshare.net

Rumus Momen Inersia Rumushitung Com
rumushitung.com

Kumpulan Rumus Fisika
www.slideshare.net

Belajar Fisika
bagurubkt.blogspot.com

6ccqmnngqxvlpm

Https Encrypted Tbn0 Gstatic Com Images Q Tbn 3aand9gct1 Sz3w5crctkiwjmdnwzsgpsgtb6bndrzvajczkhjqhkexwte Usqp Cau
encrypted-tbn0.gstatic.com

Pembuktian Momen Inersia Benda Tegar Silinder Pejal Youtube
www.youtube.com

Prolog Materi Pengertian Definisi Rumus Aplikasi Momen Inersia Zenius Net
www.zenius.net

30 Momen Gaya Momen Inersia
www.scribd.com

Kelas Xi
fisikakontekstual.com

Momen Inersia 4muda Com
www.4muda.com

Rumus Momen Inersia Beserta Faktor Dan Contoh Soalnya
rumus.co.id

Momen Inersia Pembelajaran Fisika
fisika79.wordpress.com

Soal Dan Pembahasan Fisika Part 2
www.slideshare.net

Momen Inersia Pengertian Rumus Dan Faktor Yang Mempengaruhi Ets Worlds
www.etsworlds.id

Fisika Kelas 11 Cara Gampang Memahami Konsep Momen Inersia
blog.ruangguru.com

Penurunan Rumus Momen Inersia Persegi Panjang Dan Silinder Pejal
id.scribd.com

Momen Inersia Konsep Rumus Contoh Soal Momen Inersia
www.studiobelajar.com

Teknik Fisika Indonesia Penurunan Rumus Momen Inersia Bola Pejal
imadfisika.blogspot.com

Dinamika Rotasi Fisika Kelas 11 Quipper Blog
www.quipper.com

Momen Inersia Rumus Contoh Soal Dan Penjelasannya
saintif.com

Momen Inersia Pengertian Konsep Rumus Contoh Tabel
www.gurupendidikan.co.id

Contoh Soal Energi Kinetik Rotasi Menggelinding Dan Pembahasannya Soalfismat Com
soalfismat.com

Momen Inersia Bola Pejal Ardra Biz
ardra.biz

Dinamika Rotasi Fisika Kelas 11 Quipper Blog
www.quipper.com

Belajar Fisika
bagurubkt.blogspot.com

Free Momen Inersia Bola Pejal Pdf Free Momen Inersia Tanpa Kalkulus Yohanes Surya Com
pdfslide.tips

Kecepatan Percepatan Momen Gaya Bola Mengelinding Pada Bidang Miring Dinamika Rotasi Youtube
m.youtube.com

Penuruman Rumus Memen Inersia Bola Pejal Fisika Pak Salim
www.fisika.idsalim.com

F103 Dinamika Rotasi Momen Inersia Silinder Berongga Youtube
www.youtube.com

Rumus Luas Permukaan Dan Volume Setengah Bola Idschool
idschool.net

Momen Inersia Bola Pejal Ardra Biz
ardra.biz

Of103 Dinamika Rotasi Pembahasan Soal Olimpiade Momen Inersia Cakram Silinder Berongga Youtube
www.youtube.com

Http Osis Man2kotamalang Sch Id Wp Content Uploads 2019 12 Fisika Kls 11 Sem 3 Pdf

Pembahasan Soal Un Fisika Sma Ma 2014 Gerak Menggelinding Gurumuda Net
gurumuda.net

Listrik Statis 2 Medan Listrik Pada Muatan Kontinu Penerapan Hukum Gauss Bab 2 Fisika Dasar Ii 21 Muhammad Naufal Farras Ppt Download
slideplayer.info

Perbandingan Momen Inersia Bola Pejal Dengan Bola Tipis Dengan Jari Jari Yang Sama Dan Massa Bola Brainly Co Id
brainly.co.id

Rumus Luas Permukaan Dan Volume Setengah Bola Idschool
idschool.net

Soal Dinamika Rotasi Dan Pembahasan Guru Ilmu Sosial
www.ilmusosial.id

Momen Inersia Pengertian Konsep Rumus Contoh Tabel
www.gurupendidikan.co.id

Momen Inersia Konsep Rumus Contoh Soal Momen Inersia
www.studiobelajar.com

Fisika Veritas Jika Bola Silinder Dan Cincin Balapan Mana Yang Finish Duluan
fisikaveritas.blogspot.com

Rumus Momen Inersia Rumushitung Com
rumushitung.com

Pengertian Momen Inersia Rumus Contoh Dan Pembahasannya Pelajaran Sekolah Online
www.pelajaran.co.id

Momen Inersia Rumus Contoh Soal Dan Penjelasannya
saintif.com

Momen Inersia Pengertian Rumus Jenis Contoh Soal Latihan
bacaboy.com

Momen Inersia Gerak Rotasi Berbagai Benda Tegar Homogen Fisika Zone
fisikazone.com

Benda Pejal Bermassa M Mempunyai Momen Inersia I Kmr Menggelinding Pada Bidang Miring Dengan Sudut Brainly Co Id
brainly.co.id

Pengertian Gerak Rotasi Kinematika Dan Dinamika Rotasi Momen Gaya Inersia Kesetimbangan Benda Tegar Contoh Soal Kunci Jawaban
www.nafiun.com

Momen Inersia 4muda Com
www.4muda.com

Sebuah Bola Pejal Bermasa 0 25kg Dan Berjari Jari 20cm Diputar Pada Sumbu Yang Melalui Pusat Bola Brainly Co Id
brainly.co.id

Momen Inersia Konsep Rumus Contoh Soal Momen Inersia
www.studiobelajar.com

Momen Inersia Benda Kontinu Benda Tegar
mafia.mafiaol.com

Contoh Soal Momentum Sudut Dinamika Rotasi Les Online Fisika
lesonlinefisika.blogspot.com

close