Sangat Membantu

Rumus Cepat Rambat Bunyi


Rumus Cepat Rambat Bunyi Guru Ilmu Sosial
www.ilmusosial.id

6 Rumus Gelombang Dan Bunyi Smp Kelas 8 Semester 2 Kurikulum 2013 Materikimia
materikimia.com

Sebuah Kapal Seperti Pada Gambar Dibawah Ini Melakukan Pengukuran Kedalaman Laut Dengan Sumber Brainly Co Id
brainly.co.id

Gelombang Bunyi Karakteristik Sifat Contoh Frekuensi
www.gurupendidikan.co.id

Rumus Cepat Rambat Bunyi Di Udara Guru Ilmu Sosial
www.ilmusosial.id

Pengertian Cepat Rambat Bunyi Gelombang Resonansi Jenis Sifat Bunyi Definisi Cepat Rambat Gelombang Rumus Matematis Cepat Rambat Gelombang Fisika Gambar
id.pinterest.com

Rumus Cepat Rambat Gelombang Dan Contoh Soal
rumus.co.id

Gelombang Bunyi Fisika Kelas 11 Quipper Blog
www.quipper.com

Penyelesaian Cepat Rambat Bunyi Udara Materiipa Com
materiipa.com

Ulangan Harian
studylibid.com

Cepat Rambat Bunyi Pengertian Contoh Soal Rumus Persamaan
pengajar.co.id

Pengertian Dan Rumus Cepat Rambat Bunyi Di Udara Serta Contoh Soal Cepat Rambat Gelombang Bunyi Berpendidikan Com
www.berpendidikan.com

Greatedu
greatedu.co.id

Rumus Cepat Rambat Gelombang Dan Cara Menghitungya
saintif.com

Rumus Menghitung Cepat Rambat Bunyi
m.utakatikotak.com

5 Soal Dan Pembahasan Gelombang Suara Rumus Cepat Rambat Bunyi
soal-dankuncijawaban.blogspot.com

Gelombang Bunyi Cepat Rambat Bunyi Di Udara Yang Dipengaruhi Oleh Tekanan Dinyatakan Dengan Persamaan Pada Gas Ideal M Pdf Download Gratis
docplayer.info

Chapter Ii2
www.slideshare.net

Rumus Cepat Rambat Gelombang Bunyi Di Udara Guru Ilmu Sosial
www.ilmusosial.id

Gelombang Bunyi Materi Fisika Lengkap
www.utakatikotak.com

Suara Di Laut All About Ocean
andrynugrohoatmarinescience.wordpress.com

Cepat Rambat Bunyi Pada Mediumnya
blog.ruangguru.com

Cepat Rambat Panjang Gelombang Transversal Pembahasan Un Fisika Sma 2017 No 29 Samasaya Belajar Youtube
www.youtube.com

Bab 3 Bunyi 1
id.scribd.com

Rumus Cepat Rambat Gelombang Suara Bunyi Beserta Contoh Soalnya Anto Tunggal
www.antotunggal.com

Fisika 12 1a
www.slideshare.net

Rumus Bunyi Pengertian Sifat Karakteristik Contoh Soal
rumusbilangan.com

Penurunan Rumus Cepat Rambat Bunyi Pada Gelombang Bunyi Beserta Soal Alby Dwinanda Xi Ipa 4 Youtube
www.youtube.com

Gelombang Bunyi 8 Smp Smp5 Cepat Rambat Bunyi Di Udara Adalah 320 M S Tentukan Jarak Sumber Pdf Document
fdokumen.com

Https Encrypted Tbn0 Gstatic Com Images Q Tbn 3aand9gcsqqg40cilc2qvohxo3whtpzo 4isc5owyzb Yczee Usqp Cau
encrypted-tbn0.gstatic.com

Gelombang Bunyi Fisika Kelas 11 Quipper Blog
www.quipper.com

Rumus Cepat Rambat Bunyi Soal Ipa Ips
www.soalipaips.com

Contoh Soal Dan Kunci Jawaban Cepat Rambat Bunyi
cepatrambatbunyi.blogspot.com

Rumus Cepat Rambat Gelombang Dan Cara Menghitungya
saintif.com

Pengertian Bunyi Adalah Sifat Rumus Gelombang Bunyi Artikelsiana
artikelsiana.com

West Nengkene
westnengkene.blogspot.com

Bunyi Pengertian Syarat Kecepatan Sifat Dan Jenisnya
www.seputarpengetahuan.co.id

Cepat Rambat Bunyi Posty Facebook
pl-pl.facebook.com

Fatamorgana Gelombang Bunyi Fisika Sma
diyandraa.blogspot.com

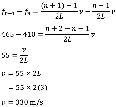
Sebuah Pipa Organa Terbuka Memiliki Panjang 3 M Frekuensi Suatu Harmonik Tertentu Adalah 410 Hz Mas Dayat
www.masdayat.net

Cepat Rambat Bunyi Pengertian Rumus Faktor Dan Contoh
ayoksinau.teknosentrik.com

Resonansi
id.scribd.com

Cepat Rambat Bunyi Mengukur Cepat Rambat Bunyi
fisikazone.com

Rumus Cepat Rambat Bunyi Dalam Zat Padat Cair Dan Gas Guru Ilmu Sosial
www.ilmusosial.id

Gelombang Bunyi
fisikakontekstual.com

Gelombang Bunyi Cepat Rambat Bunyi Di Udara Yang Dipengaruhi Oleh Tekanan Dinyatakan Dengan Persamaan Pada Gas Ideal M Pdf Download Gratis
docplayer.info

Rumus Cepat Rambat Gelombang Transversal Pada Tali Fisika Dan Matematika
fismath.com

Rumus Cepat Rambat Gelombang Bunyi Pada Zat Cair Guru Ilmu Sosial
www.ilmusosial.id

Mengenal Konsep Gelombang Bunyi Kelas Pintar
www.kelaspintar.id

Cepat Rambat Bunyi Dan Perbedaan Kecepatan Perambatan Pada Medium
www.amongguru.com

Rumus Cepat Rambat Gelombang Dan Cara Menghitungya
saintif.com

Rumus Gelombang Bunyi Xii Sma
fisikastudycenter.com

Resonansi Bunyi Dengan Garpu Tala Pages 1 5 Flip Pdf Download Fliphtml5
fliphtml5.com

Cepat Rambat Bunyi Pada Zat Padat
id.scribd.com

Cepat Rambat Gelombang Pada Dawai Gurumuda Net
gurumuda.net

Bunyi Pengertian Jenis Sifat Rumus Cepat Rambat Bunyi
pakdosen.pengajar.co.id

Pengertian Dan Rumus Cepat Rambat Bunyi Lengkap
www.utakatikotak.com

Rumus Cepat Rambat Gelombang Bunyi Pada Zat Gas Guru Ilmu Sosial
www.ilmusosial.id

Materi Gelombang Bunyi Kelas 8 Idschool
idschool.net

Rumus Cepat Rambat Gelombang Bunyi Di Air Guru Ilmu Sosial
www.ilmusosial.id

Https Encrypted Tbn0 Gstatic Com Images Q Tbn 3aand9gcreeidpgvki7pxlj8e4avlnyym1qdouc2g5rjyvkphu7e6eeqpx Usqp Cau
encrypted-tbn0.gstatic.com

Segitiga Rumus Cepat Rambat Bunyi 1 Segitiga Rumus
segitigarumus.wordpress.com

Cepat Rambat Bunyi Bangku Sekolah
bangkusekolah.com

Gelombang Bunyi 8 Smp Smp5 Cepat Rambat Bunyi Di Udara Adalah 320 M S Tentukan Jarak Sumber
pdfslide.tips

Cepat Rambat Gelombang Bunyi Pdf Document
fdokumen.com

Gelombang Bunyi Pengertian Sifat Rumus Dan Contoh Soal Materiipa Com
materiipa.com

Materi Gelombang Bunyi Kelas 8 Idschool
idschool.net

Cepat Rambat Bunyi Pada Mediumnya
blog.ruangguru.com

Cepat Rambat Gelombang Bunyi
mafia.mafiaol.com

Rumus Cepat Rambat Bunyi Dalam Zat Padat Guru Ilmu Sosial
www.ilmusosial.id

Cepat Rambat Gelombang Bunyi Transversal Dawai Zat Padat Cair Dan Gas Rumus Fisika Contoh Soal Jawaban
www.nafiun.com

1 Cepat Rambat Bunyi Gelombang
fanandfeelings.wordpress.com

Rumus Cepat Rambat Gelombang Dan Cara Menghitungya
saintif.com

Rumus Cepat Rambat Bunyi 1
perpustakaanrumus.blogspot.com

Rumus Cepat Rambat Bunyi Pada Zat Padat Cair Dan Gas Guru Ilmu Sosial
www.ilmusosial.id

C Hukum Mersenne Menurut
www.yumpu.com

Greatedu
greatedu.co.id

Siswa Tekun Belajar Cepat Rambat Gelombang Bunyi
siswatekunbelajar.blogspot.com

Rumus Cepat Rambat Gelombang Transversal Dan Longitudinal
rumusrumus.com

Cepat Rambat Bunyi Youtube
www.youtube.com

Sebuah Kolom Udara Memiliki Panjang 40 Cm Jika Garpu Tala Mempunyai Frekuensi 320 Hz Maka Brainly Co Id
brainly.co.id

Resonanai Ketiga Terjadi Saat Panjang Kolom 100 Cm Jika Cepat Rambat Bunyi 350 M S Maka Hitunglah Brainly Co Id
brainly.co.id

Https Encrypted Tbn0 Gstatic Com Images Q Tbn 3aand9gct2wn8 Baxpwzucwhixmm8byjha Ogfiekcgpnqx0opvprwsuf Usqp Cau
encrypted-tbn0.gstatic.com

Gelombang Bunyi Cheer Up
beaproo.weebly.com

Rumus Kecepatan Suara Gelombang Suara Soal Dan Jawaban
www.pinterpandai.com

Diktat Fisika 12 Bunyi
www.slideshare.net

Teori Contoh Contoh Soal Evaluasi Ppt Download
slideplayer.info

1
encrypted-tbn0.gstatic.com

Materi Gelombang Bunyi Kelas 8 Idschool
idschool.net

Berapa Cepat Rambat Bunyi Pada Sebatang Logam Yang Memiliki Modulus Young 1 2 X 10 10n M 2 Dan Masa Brainly Co Id
brainly.co.id

Pada Posisi Tersebut Terjadi Resonansi Yang Terkuat Jika Frekuensi Garputala 550 Hz Cepat Rambat Brainly Co Id
brainly.co.id

Contoh Soal Dawai Dan Penyelesaiannya Soalfismat Com
soalfismat.com

Fisika Latihan Soal Gelombang Bunyi Pahamify Belajar Jadi Seru
pahamify.com

Rumus Cepat Rambat Gelombang Contoh Soal Pembahasan
www.nesabamedia.com

Pengertian Bunyi Syarat Sifat Rumus Cepat Rambat Bunyi Dan Jenis Bunyi Lengkap Pelajaran Sekolah Online
www.pelajaran.co.id

Bunyi Pengertian Syarat Kecepatan Sifat Jenis Dan Rumus Cepat Rambat
pendidikan.co.id

Gelombang Bunyi Bagian 1 0 Pdf As Se 01 Gelombang Bunyi Bunyi Merupakan Gelombang Longitudinal Arah Rambatan Dan Arah Getarannya Sejajar Yang Course Hero
www.coursehero.com

Cepat Rambat Bunyi Pada Mediumnya
blog.ruangguru.com

Cepat Rambat Bunyi Klasifikasi Rumus Faktor Dan Contoh
www.dosenpendidikan.co.id

Gelombang Bunyi Sifat Karakteristik Rumus Dan Contoh Soal
rumus.co.id

Bunyi Pengertian Syarat Sifat Kecepatan Jenis Rumusnya
seputarilmu.com

Mata Kuliah Kdpf Cepat Rambat Bunyi
mulyawulansari.blogspot.com

Gelombang Bunyi Dan Rumusnya
rumushitung.com

Materi Gelombang Bunyi Kelas 8 Idschool
idschool.net

close