Sangat Membantu

Rumus Cuka


Asam Asetat
id.scribd.com

Gugus Fungsi Isomer Dan Reaksi
studylibid.com

Asam Asetat Sering Digunakan Sebagai Pemberi Rasa Pada Makanan Asam Asetat Disebut Juga Sebagai Brainly Co Id
brainly.co.id

Rumus Empiris 514329oydvlj
idoc.pub

Rumus Dan Pengertian Asam Karboksilat Wiki Pahlawan
wikipahlawan.blogspot.com

Asam Asetat Glasial Asam Cuka Glasial Acetic Acid Ch3cooh 98 500 Ml Shopee Indonesia
shopee.co.id

Rumus Kima Nya Apa Ni Shampo Mi Instan Cuka Brainly Co Id
brainly.co.id

Senyawa Pengertian Sifat Ciri Dan Contoh Senyawa Kimia Dalam Kehidupan Sehari Hari
www.utakatikotak.com

Soal Kimia Doc Document
fdokumen.com

Pembuatan Etanol Dengan Proses Fermentasi
studylibid.com

Chapter Ii 1 Asam Asetat
id.scribd.com

Nomor 9 Dan 11 Apa Ya Soal Nomor 11 Urutan Daya Hantar Listrik Yang Benar Adalah A Cuka Alkohol Brainly Co Id
brainly.co.id

Penentuan Rumus Dari Data Percobaan
de.slideshare.net

Pengertian Unsur Dan Rumus Kimia Jawara Kelas
jawarakelas123.blogspot.com

Asam Asetat Pengertian Rumus Reaksi Bahaya Dan Sifatnya
www.dosenpendidikan.co.id

Titrasi Cuka Makan
www.slideshare.net

Aku Ch3cooh Kamu Iya Ch3cooh Itu Rumus Kimianya Cuka Coba Deh Baca Lg Lfl Fff Instagood Instamood Instadaily Hand Lettering Handlettering Chemistry
www.pinterest.com

Pembahasan Asam Asetat Rumus Kimia Karakteristik Dan Manfaatnya
biofar.id

Menentukan Kadar Cuka Dapur
id.scribd.com

Asam Asetat Asam Cuka Ch3cooh 98 Persen 500 Ml Di Lapak Rofa Yulia Azhar Bukalapak
www.bukalapak.com

Laporan Praktikum Cuka Apel
www.slideshare.net

Cuka Belanja Online Bahan Makanan Termurah Dan Kualitas Terbaik
lijijil.com

Asam Asetat Wikipedia Bahasa Indonesia Ensiklopedia Bebas
id.wikipedia.org

Asam Cuka Asam Asetat Memiliki Rumus Kimia Ch3cooh Asam Ini Termasuk Asam Lemah Karena Di Dalam Brainly Co Id
brainly.co.id

Tentukan Jenis Unsur Dan Jumlah Dan Atom Masing Masing Unsur Dalam Rumus Kimia A Amonia Nh3 B Brainly Co Id
brainly.co.id

Tugas Kimia Asam Asetat Nama Firtri Sumardiah Kelas 12 Ipa 3 Ppt Download
slideplayer.info

Doc Senyawa Asam Asetat Syafrianto Syafril Academia Edu
www.academia.edu

Seputar Informasi Senyawa Asam Asetat Cuka
afifharuka.blogspot.com

Untuk Menentukan Kadar Asam Cuka Perdagangan Diambil 10 Ml Larutan Asam Cuka Kemudian Diencerkan Brainly Co Id
brainly.co.id

Asam Asetat Docx
id.scribd.com

Https Encrypted Tbn0 Gstatic Com Images Q Tbn 3aand9gctqz9lyjxx Jcz7s2c F Prhvgtzbanjdg04afswgr0oqbwgmyt Usqp Cau
encrypted-tbn0.gstatic.com

Asam Asetat Docx Document
fdokumen.com

Rumus Kimia Cuka Dan Penggunaanya Dalam Industri My Stupid Theory
mystupidtheory.com

Asam Asetat Wikipedia Bahasa Indonesia Ensiklopedia Bebas
id.wikipedia.org

Daun Cuka
es.scribd.com

Fakta Menarik Asam Asetat Cuka
rumushitung.com

Pembahasan Asam Asetat Rumus Kimia Karakteristik Dan Manfaatnya
biofar.id

Sampel Cuka Putih Massal Cuka Rumus Kimia Untuk Cuka Buy Kesehatan Cuka Cuka Sushi Makanan Kesehatan Rumus Kimia Untuk Cuka Product On Alibaba Com
indonesian.alibaba.com

Asam Asetat
rumusguru.com

Rumus Kimia Cuka Dan Penggunaanya Dalam Industri My Stupid Theory
mystupidtheory.com

Cara Membuat Larutan Asam Asetat 40 Jagad Kimia
www.jagadkimia.com

Contoh Rumus Kimia Sederhana Dalam Kehidupan Sehari Hari Berpendidikan Com
www.berpendidikan.com

Rumus Kimia Sekitar Kita
www.slideshare.net

Tuliskan Rumus Kimia Dari Garam Dapur Asam Sulfat Soda Api Cuka Brainly Co Id
brainly.co.id

Pengertian Asam Asetat Rumus Sifat Dan Kegunaan Hisham Id
hisham.id

Cas No 64 19 7 Rumus Kimia Ch3cooh 3 Tahun Umur Simpan 99 Min Food Grade Asetat Glasial Asam Cuka Harga Buy Asam Asetat Cuka 3 Tahun Umur Simpan Asam Asetat Glasial Asam Asetat
indonesian.alibaba.com

Alkohol Cuka Dan Formalin
www.slideshare.net

Rumus Empiris Molekul Dan Struktur Senyawa Organik Ilmu Kimia Artikel Dan Materi Kimia
www.ilmukimia.org

5 Fakta Tentang Cuka Ch3cooh Laboratorium Smk
www.labsmk.com

Asam Asetat
id.scribd.com

Guru Kimia Asam Cuka Asam Asetat Asam Etanoat Rumus فيسبوك
ar-ar.facebook.com

Pengertian Sifat Manfaat Dan Rumus Asam Asetat
rumusrumus.com

Seputar Informasi Senyawa Asam Asetat Cuka
afifharuka.blogspot.com

Apa Formula Kimia Vinegar
www.greelane.com

Cuka Kayu Rifa Metia
id.scribd.com

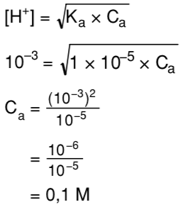
Larutan Asam Cuka Dalam Botol Sebanyak 10 Ml Ternyata Mempunyai H 10 3 M Mas Dayat
www.masdayat.net

Reaksi Fermentasi Asam Cuka Ardra Biz
ardra.biz

Alkohol Cuka Dan Formalin
www.slideshare.net

Rumus Kimia Cuka Dan Cara Membuatnya
www.mafiaol.com

Https Encrypted Tbn0 Gstatic Com Images Q Tbn 3aand9gcqdtq1jltlkewtvs6ryccll82megkunn Xuozk7rwdpjyccgfst Usqp Cau
encrypted-tbn0.gstatic.com

Cuka Dapur Yang Sudah Diencerkan Guru Indonesia
www.yumpu.com

Rumus Molekul Dn Empiris
id.scribd.com

Reaksi Kimia Dalam Air
id.scribd.com

Penentuan Kadar Asam Cuka
www.slideshare.net

Asam 1 Cuka
id.scribd.com

Asam Asetat
id.scribd.com

Analisa Asam Cuka Docx Document
fdokumen.com

Materi Rumus Kimia Dan Tata Nama Senyawa Anorganik
www.utakatikotak.com

Rumus Dan Persamaan Kimia Ppt Download
slideplayer.info

Asam Asetat Glasial 99 8 1 L Glacial Acetic Acid Asam Cuka Shopee Indonesia
shopee.co.id

Rumus Molekul Dn Empiris
pdfslide.tips

Rumus Kimia Asam Cuka Dan Sifat Kimianya Rumus Dasar
rumusdasar.com

Laporan Praktikum Penentuan Kadar Asam Cuka Perdagangan
www.slideshare.net

Laporan Hasil Titrasi
www.scribd.com

Alkohol Cuka Dan Formalin
www.slideshare.net

Rumus Kimia Asam Asetat
www.utakatikotak.com

Asam Asetat
id.scribd.com

Rumus Kimia Asam Cuka Adalah Ch3cooh Berarti Setiap Molekul Asam Cuka Mengandung A 2 Atom Brainly Co Id
brainly.co.id

Best Legacy Cuka
enkaangraini.blogspot.com

Acetic Acid Ch3cooh Xpolchem
xpolchem.wordpress.com

Bab 2 Asam Basa Dan Garam United Science
unitedscience.wordpress.com

Pengertian Asam Cuka Rumus Kimia Reaksi Dan Fungsinya
www.studinews.co.id

Rumus Kimia Dasar Unsur Molekul
www.utakatikotak.com

Bob Rumus Kimia Untuk Cuka Cuka Suling Putih Buy Cuka Beras Bahan Makanan Cuka Beras Bob Cuka Suling Putih Product On Alibaba Com
indonesian.alibaba.com

Rumus Dan Persamaan Kimia Ppt Download
slideplayer.info

Asam Asetat Wikipedia Bahasa Indonesia Ensiklopedia Bebas
id.wikipedia.org

Rumus Kimia Untuk Cuka Delima Cuka Balsamic Cuka Beras Buy 100 Alami Cuka Beras 100 Alami Balsamic Vinegar Private Label Balsamic Cuka Beras Product On Alibaba Com
indonesian.alibaba.com

Asam Asetat
id.scribd.com

Titrasi Asam Basa Pengertian Rumus Contoh Soal
rumuspintar.com

Lp Pobq900yjzm

Asam Asetat
id.scribd.com

Asam Organik
www.slideshare.net

Https Encrypted Tbn0 Gstatic Com Images Q Tbn 3aand9gctusgmms4hl3y0hkexj7ow86dbrabpq8nx 1xt0pvuxtefp Fkt Usqp Cau
encrypted-tbn0.gstatic.com

Rumus Kimia Cuka Dan Penggunaanya Dalam Industri My Stupid Theory
mystupidtheory.com

Rumus Kimia Asam Asetat Serta Reaksi Kimia Rumus Dasar
rumusdasar.com

2

Laporan Praktikum Cuka Apel
www.slideshare.net

Asam Asetat
pt.slideshare.net

Asam Asetat Pengertian Rumus Reaksi Bahaya Dan Sifatnya
www.dosenpendidikan.co.id

Asam Asetat Pengertian Rumus Reaksi Bahaya Dan Sifatnya
www.dosenpendidikan.co.id

Rumus Kimia Untuk Cuka Rasa Mayones Bambu Cuka Buy Sorgum Cina Cuka Makanan Cina Grosir Cuka Rasa Mayones Bambu Cuka Product On Alibaba Com
indonesian.alibaba.com

Cari Kualitas Tinggi Rumus Kimia Cuka Produsen Dan Rumus Kimia Cuka Di Alibaba Com
indonesian.alibaba.com

Rumus Empiris
dokumen.tips

close