Sangat Membantu

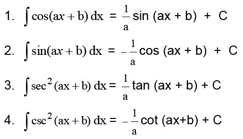
Rumus Dasar Integral Trigonometri


Belajar Dasar Dasar Integral Lengkap Dan Mudah Pinterkelas
pinterkelas.com

Integral Pengertian Sifat Rumus Contoh Soal Lengkap Dengan Jawaban
www.ayokboco.com

Contoh Soal Dan Penyelesaian Trigonometri Secara Lengkap
www.slideshare.net

Berikut Adalah Rumus Integral Diferensial Dan Trigonometri Docx Document
fdokumen.com

2

Rumus Integral Trigonometri Idschool
idschool.net

Teknik Integral Substitusi Fungsi Trigonometri
maths.id

Soal Dan Pembahasan Integral Metode Substitusi Trigonometri 1 3 Istana Mengajar
istanamengajar.wordpress.com

Integral Tak Tentu Dan Integral Tentu
maths.id

Rumus Dasar Integral Lengkap
www.slideshare.net

Integral Trigonometri Strategi Untuk Menghitung Sin M X Cos
studylibid.com

M202 Kalkulus Rumus Integral Dan Metode Integral Part A Pembuktian Rumus Metode Substitusi Youtube
www.youtube.com

Belajar Kalkulus 2 Integral Dari Fungsi Trigonometri
adejuherda.blogspot.com

Integral Trigonometri Docx Document
fdokumen.com

Integral Rumus Tentu Tak Tentu Substitusi Parsial
www.pintarnesia.com

Integral Bendhy Kristian
blog.ub.ac.id

Contoh Soal Integral Tentu Tak Tentu Substitusi Parsial
www.dosenpendidikan.co.id

Integral Tak Tentu Dari Fungsi Trigonometri Materi Lengkap Matematika
www.materimatematika.com

Integral Parsial Fungsi Trigonometri Contoh 3 Youtube
www.youtube.com

Http Fkip Unisma Ac Id Wp Content Uploads 2019 12 Buku Kalkulus Fix Pdf

Contoh Soal Dan Pembahasan Integral Trigonometri
id.scribd.com

Rumus Integral Substitusi Dan Rumus Integral Parsial Cute766
cute766.info

Integral Trigonometri Integral Tak Tentu Belajar Matematika Dasar
belajarmatematikadasar21.blogspot.com

Integral Tak Tentu Rumus Dasar Contoh Soal Pengertian
dunia.pendidikan.co.id

Integral Pengertian Rumus Parsial Subtitusi Tak Tentu
rumuspintar.com

Ppt Integral Powerpoint Presentation Free Download Id 2090479
www.slideserve.com

Integral Trigonometri Un Matematika Sma
matematikastudycenter.com

Integral Subsitusi Trigonometri Ppt Download
slideplayer.info

Pembuktian Integral Trigonometri Ivan
www.slideshare.net

Integral Fungsi Trigonometri
www.slideshare.net

Pembuktian Integral Trigonometri Ivan
www.slideshare.net

Lembar Aktivitas Siswa Integral Peminatan Aturan Integral Tentu Terkait Luas Daerah Volume Benda Pdf Document
dokumen.tech

07 Integral Fungsi Trigonometri
id.scribd.com

Rumus Cepat Turunan Trigonometri Guru Ilmu Sosial
www.ilmusosial.id

Rumus Dasar Integral Lengkap
www.slideshare.net

Integral Trigonometri Materi Rumus Integral Dan Contoh Soal Lengkap
www.ayokboco.com

1
encrypted-tbn0.gstatic.com

Rumus Dan Contoh Soal Integral Tak Tentu Fungsi Trigonometri Marthamatika
www.marthamatika.com

Modul Vii Metode Integrasi Ppt Download
slideplayer.info

Rumus Dasar Integral Fungsi Trigonometri Dilengkapi Contoh
www.edutafsi.com

Rumus Dasar Integral Trigonometri
rumusbilangan.com

Integral Tak Tentu Dari Fungsi Trigonometri Materi Lengkap Matematika
www.materimatematika.com

Doc Rumus Rumus Integral Kalkulus Ii 1 1 Definisi Integral Tak Tentu Indefinite Integral Mamuk Prasetyo Academia Edu
www.academia.edu

Rumus Cepat Integral Tak Tentu Guru Ilmu Sosial
www.ilmusosial.id

Rumus Integral Trigonometri Dan Cara Menentukannya
rumusbilangan.com

Integral Tak Tentu Fungsi Aljabar Konsep Matematika Koma
www.konsep-matematika.com

Rumus Integral Doc Document
fdokumen.com

Materi Lengkap Fungsi Trigonometri Rumus Matematika
rumus-matematika.com

Kalkulus 2
pt.scribd.com

Teknik Integral Substitusi Fungsi Trigonometri
maths.id

Belajar Matematika Online Integral Trigonometri
soulmath4u.blogspot.com

01 Integral Fungsi Trigonometri
id.123dok.com

Integral Parsial Soal Dan Pembahasannya Pendidikan Matematika
yos3prens.wordpress.com

Integral Tak Tentu Dari Fungsi Trigonometri Materi Lengkap Matematika
www.materimatematika.com

Integral Trigonometri
studylibid.com

Matematika Sma Integral Trigonometri
mtkasma.blogspot.com

Modul 1 Integral Pages 1 16 Text Version Anyflip
anyflip.com

Integral Trigonometri Un Matematika Sma
matematikastudycenter.com

Contoh Soal Integral Tentu Tak Tentu Substitusi Parsial Trigonometri
rumusrumus.com

Integral Integral Tentu Tak Tentu Substitusi Parsial Trigonometri Soal
www.yuksinau.id

Identitas Trigonometri Rumus Penjelasan Pembuktian Soal Jawaban
www.pinterpandai.com

Integral Trigonometri
id.scribd.com

Integral Substitusi Integral Parsial Materi Rumus Contoh Soal
www.studiobelajar.com

Bank Soal Dan Pembahasan Matematika Dasar Integral Tak Tentu Dan Tentu Fungsi Trigonometri Defantri Com
www.defantri.com

Integral Tak Tentu Dari Fungsi Trigonometri Materi Lengkap Matematika
www.materimatematika.com

Rumus Cepat Integral Trigonometri Guru Ilmu Sosial
www.ilmusosial.id

Integral Trigonometri Un Matematika Sma
www.matematikastudycenter.com

Ppt Integral Dengan Rumus Reduksi Hassan Assaqaf Academia Edu
www.academia.edu

Https Encrypted Tbn0 Gstatic Com Images Q Tbn 3aand9gcqabzefd63g6mhorqbefzgrqbmu5teuke2soblnrf0 Usqp Cau
encrypted-tbn0.gstatic.com

Modul Vii Metode Integrasi Ppt Download
slideplayer.info

Turunan Trigonometri Rumus Turunan Fungsi Trigonometri Soal Jawab
www.pinterpandai.com

Integral I Learn With Alice
learnwithalice.wordpress.com

Integral Tertentu Matematika Belajar
id.pinterest.com

Sin Cos Tan Nilai Cara Menghitung Contoh Soal Dan Tabel
www.dosenpendidikan.co.id

Soal Dan Pembahasan Integral Trigonometri Teknik Integral
mathtutors.id

Belajar Matematika Integral Taktentu Dari Fungsi Trigonometri
matematoke.blogspot.com

Rumus Dasar Integral Lengkap
pdfslide.tips

Integral Blog Ub
studylibid.com

Teknik Integral Substitusi Fungsi Trigonometri
maths.id

Rumus Integral Matematika
rumushitung.com

Rumus Integral Trigonometri Rumushitung Com
rumushitung.com

Pengertian Dan Rumus Integral Tak Tentu Dan Integral Tentu
www.mahirmatematika.com

Pengertian Integral Tentu Dan Integral Tak Tentu Beserta Contohnya
statmat.id

Pengertian Rumus Integral Tentu Dan Tak Tentu Contoh Soal
rumusbilangan.com

M202 Kalkulus Rumus Integral Dan Metode Integral Part B Metode Substitusi Trigonometri Youtube
www.youtube.com

Rumus Integral Matematika Tak Tentu Tentu Dan Trigonometri
rumus.co.id

Teknik Integral Substitusi Fungsi Trigonometri
maths.id

M202 Integral Trigonometri Berpangkat Rumus Reduksi Part A Youtube
www.youtube.com

Integral Trigonometri Rumus Integral Cos Soal Pembahasan
www.dosenpendidikan.co.id

Integral Tak Tentu Dari Fungsi Trigonometri Materi Lengkap Matematika
www.materimatematika.com

Rumus Integral Matematika
rumushitung.com

Integral Tentu Penggunaan Integral Materi Rumus Contoh Soal
www.studiobelajar.com

Rumus Cepat Integral Kelas 12 Guru Ilmu Sosial
www.ilmusosial.id

Integral Subsitusi Trigonometri Ppt Download
slideplayer.info

Contoh Soal Dan Pembahasan Integral Trigonometri
pdfslide.net

Contoh Soal Integral Substitusi Trigonometri Kumpulan Soal Pelajaran 5
soalujian-75.blogspot.com

Integral Tak Tentu Dan Tentu 1
id.123dok.com

1
encrypted-tbn0.gstatic.com

Modul Matematika Sma Ma Integral Fungsi Aljabar Dan Trigonometri Flip Book Pages 1 19 Pubhtml5
pubhtml5.com

Integral Pengertian Rumus Integral Tak Tentu Integral Trigonometri
www.studiobelajar.com

Integral Trigonometri Sin Ax B Kelas Xii Sma
matematikastudycenter.com

Https Encrypted Tbn0 Gstatic Com Images Q Tbn 3aand9gcsyplnps Kryxfoswkhwrse7kva4brafe7bcetnmkxdrwmolwcq Usqp Cau
encrypted-tbn0.gstatic.com

Memahami Macam Macam Integral Rumus Matematika
rumus-matematika.com

Integral Trigonometri Pendidikan Matematika
yos3prens.wordpress.com

close