Sangat Membantu

Rumus Determinan B2 4ac


Bab 2 Fungsi Kuadrat
dokumen.tips

Pemakaian Diskriminan Dalam Akar Persamaan Kuadrat
hindayani.com

Pdf 2 Persamaan Pertidaksamaan Dan Fungsi Kuadrat Enggar Dirgantara Academia Edu
www.academia.edu

Aplikasi Matriks
www.slideshare.net

Lengkap Cara Membuat Berbagai Rumus Di Word Konsultan Office
www.konsultanoffice.com

Penyelesaian Persamaan Kuadrat Ppt Download
slideplayer.info

0yjivr2rod G6m

Rumus Deskriminan
caramencarideterminan.blogspot.com

Rifqihidayat1604 World Of Mathematics
rifqihidayat1604.wordpress.com

Pahami Fungsi Kuadrat Melalui Grafik Dan Rumus
blog.edukasystem.com

Nama Kelas Rumah Belajar Matematika The Fear Of Theresiaveni Wordpress Com Rumus Merasionalkan Pdf Document
fdokumen.site

Grafik Fungsi Y Ax Bx C Dengan A Gt 0 B Gt 0 C Gt 0 Dan B 4ac Gt 0 Berbentuk Pilihan Brainly Co Id
brainly.co.id

Akar Akar Persamaan Kuadrat
www.jendelasarjana.com

Flowchart Diskriminan Aedsan 4n993r
aedsan.wordpress.com

Aplikasi Matriks
www.slideshare.net

Unidad 4 Ecuaciones Cuadraticas Factorizacion Ecuaciones
id.scribd.com

I Fungsi Kuadrat Penyelesaian Fungsi Kuadrat Dengan Pemfaktoran Ppt Download
slideplayer.info

Persamaan Kuadrat Rumus Abc Penma 2b
penma2b.wordpress.com

Fungsi Kuadrat F X M 3 X2m 4x M Memotong Sumbu X Di Satu Ttik Tentukan Nilai M Yang Memenuhi Brainly Co Id
brainly.co.id

Bab 2 Fungsi Kuadrat
www.scribd.com

Bab 2 Fungsi Kuadrat
www.slideshare.net

Cara Mencari Determinan Matriks Yang Mudah Kelas Pintar
www.kelaspintar.id

Modul Smk Kurikulum 2013 Kd 3 19 Persamaan Fungsi Kuadrat
www.slideshare.net

Persamaan Kuadrat Matematika Itu Menarik
stelaruhulessin29.wordpress.com

Pemakaian Diskriminan Dalam Akar Persamaan Kuadrat
hindayani.com

Bab 3 Persamaan Kuadrat
id.scribd.com

Memahami Rumus Persamaan Kuadrat Dalam Ilmu Matematika
rumusrumus.com

Trik Belajar Matematika Teori Fungsi Kuadrat
belajardenganwajar.blogspot.com

Modul Smk Kurikulum 2013 Kd 3 19 Persamaan Fungsi Kuadrat
www.slideshare.net

Aplikasi Matriks
www.slideshare.net

Matematika X A E Determinan Dan Invers Matriks 2 Determinan Matriks Ordo Tiga 3 Minor Kofaktor Dan Adjoin Pdf Document
fdokumen.site

Doc Bab 2 Fungsi Kuadrat Harnawan Nurul Asna Academia Edu
www.academia.edu

Materi Matematika Persamaan Dan Pertidaksamaan Kuadrat
dokumen.tips

Kumpulan Rumus Cepat Invers Fungsi Dilengkapi Contoh Dunia Belajar
duniabelajar-18.blogspot.com

2 Persamaan Pertidaksamaan Dan Fungsi Kuadrat 2 Persamaan Pertidaksamaan Dan Fungsi Kuadrat
pdfslide.tips

Bahan Ajar Kls Xii Ia
id.scribd.com

Menentukan Jenis Akar Persamaan Kuadrat
maths.id

Funciones Cuadraticas
es.slideshare.net

Contoh Soal Rumus Abc Pengertian Pembuktian Pembahasan
edmodo.id

Doc Laporan Determinan Docx Riandy Syarif Academia Edu
www.academia.edu

Catatanku Tugas 01 Akar Persamaan Kuadrat
kuliahmagrum.blogspot.com

Matematika Ceria Cara Mudah Mencari Akar Akar Kuadrat
saridewikartyas.blogspot.com

Bab 2 Pers Kuadrat
id.123dok.com

Rumus Cepat Menghitung Luas Daerah Dibatasi Kurva Idschool
idschool.net

Studi Kasus Permasalahan Sederhana Ppt Download
slideplayer.info

Memahami Rumus Persamaan Kuadrat Dalam Ilmu Matematika
rumusrumus.com

Pdf Bab 2 Pers Kuadrat Gregorius Christ Academia Edu
www.academia.edu

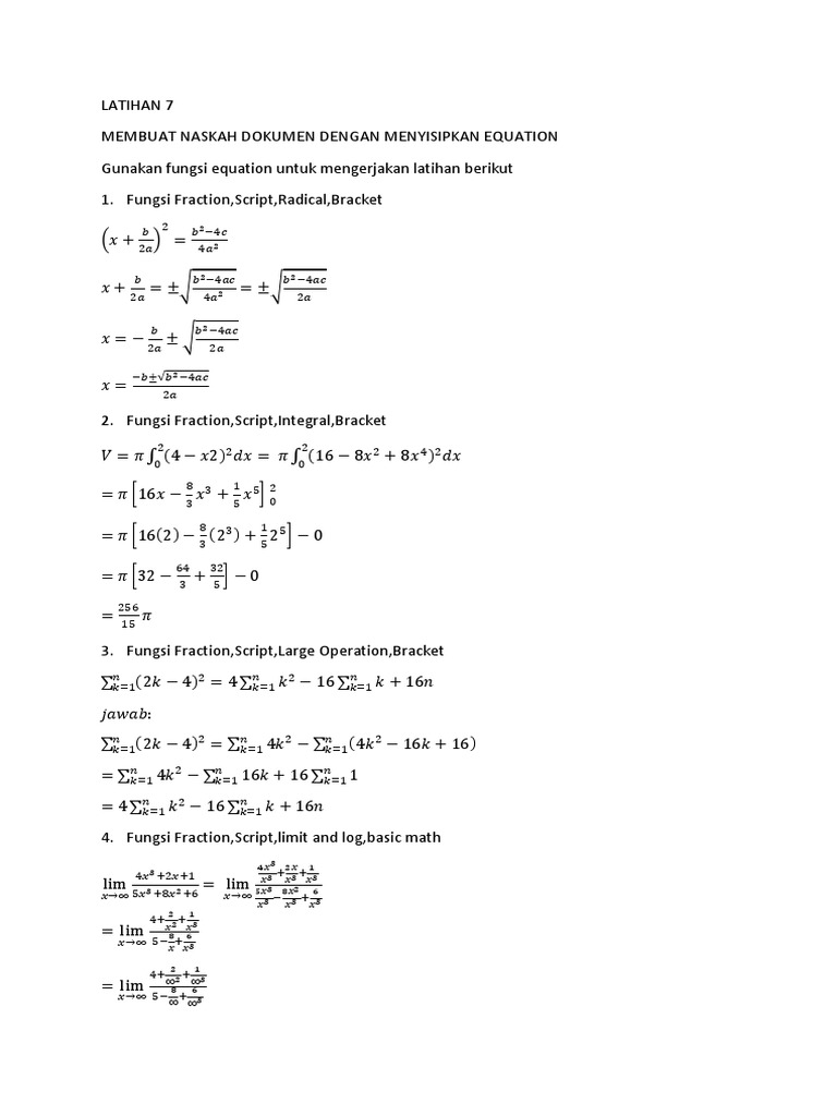
Latihan 7 Rumus Equation Docx
es.scribd.com

Amishofi S Blog April 2016
amishofi.blogspot.com

2 Gdurl
studylibid.com

Soal Dan Pembahasan Super Lengkap Matriks Determinan Dan Invers Matriks Mathcyber1997
mathcyber1997.com

Quadratic Formula Wikipedia
en.wikipedia.org

Pengertian Dan Metode Penyelesaian Persamaan Kuadrat Rumus Matematika
rumus-matematika.com

Rumus Abc Matematika Pembuktian Pengertian Penggunaan
rumus.co.id

Algoritma Dasar Pemrograman Ppt Download
slideplayer.info

Cara Mencari Nilai Diskriminan Persamaan Kuadrat
www.dosenmatematika.co.id

Makalah Fungsi Kuadrat Julia S World
ladyjuliasite.wordpress.com

Cara Mencari Determinan Matriks Yang Mudah Kelas Pintar
www.kelaspintar.id

Contoh Soal Rumus Abc Pengertian Pembuktian Pembahasan
edmodo.id

Rumus Dasar Matematika Materi Akar Akar Persamaan Kuadrat Dengan Rumus Abc
rumusdasarmatematika.blogspot.com

Handout Aplikasi Pemrograman Ppt Download
slideplayer.info

Mahasiswa Ueu Just Another Weblog Universitas Esa Unggul Site
ueu201511320.weblog.esaunggul.ac.id

Faktorisasi Faktorisasi Fungsi Adalah Menguraikan Ruas Utama Fungsi Tersebut Menjadi Bentuk Perkalian Ruas Ruas Utama Dari Dua Fungsi Yang Lebih Kecil Ppt Download
slideplayer.info

Fungsi Kuadrat Docx C Fungsi Kuadrat Fungsi Kuadrat Merupakan Fungsi Yang Pangkat Terbesar Variabelnya Adalah Dua Mirip Dengan Persamaan Kuadrat Tapi Course Hero
www.coursehero.com

Rumus Cepat X1 X2 Guru Ilmu Sosial
www.ilmusosial.id

Rumus Diskriminan Pengertian Materi Pembuktian Contoh Soal
rumus.co.id

Matematika Ceria Cara Mudah Mencari Akar Akar Kuadrat
saridewikartyas.blogspot.com

Kelas 11 Sma
id.scribd.com

Diskriminan Jenis Akar Akar Persamaan Kuadrat By Khristy Kurniawan
prezi.com

Persamaan Kuadrat 2 Rumus Abc Youtube
www.youtube.com

Rumus Diskriminan Pengertian Materi Pembuktian Contoh Soal
rumus.co.id

Persamaan Kuadrat Rumus Kuadratis Pembuktian Persamaan Fungsi
www.pinterpandai.com

Penyelesaian Persamaan Kuadrat Rumus Abc Di Excel Cara Aimyaya Cara Semua Cara
www.cara.aimyaya.com

Sistem Persamaan Linier Dan Kuadrat Sistem Persamaan Linier Dan Kuadrat 1 Sistem Persamaan Linier Pdf Document
fdokumen.com

Quadratic Formula Wikipedia
en.wikipedia.org

March 2014 World Of Mathematics
rifqihidayat1604.wordpress.com

Rumus Abc Ismi Kuswardani
ismimathskanda.wordpress.com

Aplikasi Matriks
www.slideshare.net

Penyelesaian Persamaan Kuadrat Rumus Abc Di Excel Cara Aimyaya Cara Semua Cara
www.cara.aimyaya.com

Cara Mengerjakan Fungsi Invers Akar Guru Ilmu Sosial
www.ilmusosial.id

Diskriminan Dari Persamaan Kuadrat Pendidikan Matematika
yos3prens.wordpress.com

Pengertian Dan Metode Penyelesaian Persamaan Kuadrat Rumus Matematika
rumus-matematika.com

Latihan 7 Rumus Equation Docx
es.scribd.com

Doc Laporan Pemrograman Dasar Determinan Semester 2 Docx Dena Ayu Academia Edu
www.academia.edu

Fungsi Kuadrat Docx C Fungsi Kuadrat Fungsi Kuadrat Merupakan Fungsi Yang Pangkat Terbesar Variabelnya Adalah Dua Mirip Dengan Persamaan Kuadrat Tapi Course Hero
www.coursehero.com

Quadratic Formula Wikipedia
en.wikipedia.org

Persamaan Kuadrat Ismi Kuswardani
ismimathskanda.wordpress.com

Fungsi Kuadrat Docx C Fungsi Kuadrat Fungsi Kuadrat Merupakan Fungsi Yang Pangkat Terbesar Variabelnya Adalah Dua Mirip Dengan Persamaan Kuadrat Tapi Course Hero
www.coursehero.com

Modul Smk Kurikulum 2013 Kd 3 19 Persamaan Fungsi Kuadrat
www.slideshare.net

Aplikasi Matriks
www.slideshare.net

Fungsi Notasi Domain Range Operasi Komposisi Dan Invers
tambahpinter.com

Fungsi Kuadrat Fungsi Rumus Grafik Parabola Soal
www.yuksinau.id

Bab2 Fungsi Kuadrat
id.scribd.com

Contoh Soal Rumus Abc Pengertian Pembuktian Pembahasan
edmodo.id

Fungsi Kuadrat Fungsi Rumus Grafik Parabola Soal
www.yuksinau.id

Mahasiswa Ueu Just Another Weblog Universitas Esa Unggul Site
ueu201511320.weblog.esaunggul.ac.id

Nama Kelas Rumah Belajar Matematika The Fear Of Theresiaveni Wordpress Com Rumus Merasionalkan Pdf Document
fdokumen.site

Materi Diskriminan Dan Pemakaiannya Dalam Matematika
hindayani.com

2 Persamaan Pertidaksamaan Dan Fungsi Kuadrat A 2 D B X
id.scribd.com

Cara Mengerjakan Fungsi Invers Kuadrat Guru Ilmu Sosial
www.ilmusosial.id

close