Sangat Membantu

Rumus Dimensi Daya


Rumus Daya Fisika P W T Penjelasan Contoh Soal Dan Jawaban Di 2020 Fisika Energi Gravitasi
www.pinterest.co.uk

Tqr6rqvng S Qm

Menentukan Dimensi Energi Potensial Usaha Dan Momentum Youtube
m.youtube.com

Tuliskan Rumus Satuan Dan Dimensi Dari Daya Impuls Momentum Kuat Medan Magnet Konduksi Brainly Co Id
brainly.co.id

Dimensi Besaran Turunan Brainly Co Id
brainly.co.id

Rumus Daya Pengertian Rumus Pemberdayaan Lambang Dimensi Dan Contoh Soalnya Lengkap Tutorialbahasainggris Co Id
tutorialbahasainggris.co.id

Rumus Daya Fisika P W T Penjelasan Contoh Soal Dan Jawaban
www.pinterpandai.com

Soal Dan Jawaban Fisika Soal Dan Jawaban Dimensi Kelas X
soaldanjawabanfisika.blogspot.com

Daya Pengertian Rumus Lambang Dimensi Contoh Soal
www.yuksinau.id

A Besaran Dan Satuan Kelas X Tutwuri Handayani Sma Negeri 59 Jakarta Ppt Download
slideplayer.info

Pdf Rumus Fisika Besaran Dan Satuan Annisa Julieta Academia Edu
www.academia.edu

Dimensi Besaran Turunan
fisikasma.xyz

7 Perhatikan Tabel Berikut Ini Dari Tabel Di Atas Yang Mempunyai Dimensi Yang Benar Adalah Brainly Co Id
brainly.co.id

Rangkuman Materi Lengkap Rumus Daya Beserta Penjelasannya
cerdika.com

Kumpulan Rumus Rumus Fisika Lengkap Mengenai Besaran Gerak Lurus Dan Gerak Parabola Dinamika Usaha Dan Energi Momentum Dan Impuls Nuroehi
www.nuroehi.com

Intensitas Bunyi Didefinisikan Sebagai Daya Persatuan Luas Penompang Dimensi Dari Intensitas Brainly Co Id
brainly.co.id

Soal Dan Jawaban Fisika October 2016
soaldanjawabanfisika.blogspot.com

Rumus Dimensi Daya Pengertian Penggunaan Dan Contohnya
www.utakatikotak.com

Endarko Dkk
www.slideshare.net

Daya Pengertian Rumus Dimensi Lambang Contoh Soal
moztrip.com

Rangkuman Materi Lengkap Rumus Daya Beserta Penjelasannya
cerdika.com

Lengkap Pengertian Lambang Rumus Hingga Contoh Dimensi Daya
cerdika.com

10 Besaran Turunan Contoh Satuan Dimensi Lengkap Fisika
www.fisika.co.id

Besaran Dan Sistem Satuan Ppt Download
slideplayer.info

Dimensi Besaran Pengertian Rumus Fungsi Dan Contoh Soal
www.dosenpendidikan.co.id

Pasangan Besaran Berikut Ini Memiliki Rumus Dimensi Yang Sama Kecuali Berat Dan Gaya Energi Dan Brainly Co Id
brainly.co.id

Mencari Dimensi
fisikastudycenter.com

Https Encrypted Tbn0 Gstatic Com Images Q Tbn 3aand9gcqyfnsm Lh1nasxuoupiktcw4gli9dho0mtkoxlsi6h J8zezu8 Usqp Cau
encrypted-tbn0.gstatic.com

Rumus Besaran Turunan Pengertian Dan Tabel Besaran Turunan
rumus.co.id

Usaha Adalah Gaya X Jarak Dan Memiliki Dimensi Brainly Co Id
brainly.co.id

Soal Tambahan
fr.scribd.com

Soal Dan Pembahasan Dimensi Hajar Fisika
www.hajarfisika.com

Aku Cinta Fisika
cintakufisika.blogspot.com

30 Soal Besaran Dan Satuan Pilihan Ganda Pembahasan
soalkimia.com

Rumus Fisika Sma
www.slideshare.net

Maretong Besaran Satuan Dan Dimensi Fisika Sma Kelas 10
www.maretong.com

Segitiga Daya Jon Purba S Blog
jonpurba.wordpress.com

Endarko Dkk
www.slideshare.net

Dimensi Besaran Turunan A Luasb Kecepatanc Percepatand Gayae Usaha Tuliskan Rumusnya Brainly Co Id
brainly.co.id

Dimensi Besaran Turunan
fisikasma.xyz

Rumus Dimensi Daya Pengertian Penggunaan Dan Contohnya
rumus.co.id

Besaran Satuan Dimensi Dalam Pengukuran Fisika
blog.ruangguru.com

Gudang Ilmu Fisika Macam Satuan Serta Contohnya
dokumen.tips

Dimensi Momentum Pengertian Rumus Besaran Pokok Da
www.seputarpengetahuan.co.id

Dimensi Besaran Turunan
fisikasma.xyz

Besaran Dan Satuan
www.slideshare.net

Statistika Is Of Math Dimensi Besaran Pokok Dan Besaran Turunan
ryanikhsanr.blogspot.com

Fisika Mencari Dimensi Dari Gaya Soal Fisika
soalfisika85.blogspot.com

Besaran Dan Satuan
www.slideshare.net

Dimensi Besaran Turunan Memahami Secara Detail Konsep Youtube
m.youtube.com

Mencari Dimensi Tekanan Dan Usaha Soal Fisika
soalfisika85.blogspot.com

A Besaran Dan Satuan Kelas X Tutwuri Handayani Sma Negeri 59 Jakarta Ppt Download
slideplayer.info

Https Encrypted Tbn0 Gstatic Com Images Q Tbn 3aand9gcsf1d1uavfm1h3gdjnjkczhcb 8h Fcpzuh0xumb4 Sylbfmewc Usqp Cau
encrypted-tbn0.gstatic.com

Rumus Daya Terlengkap Serta Pengertiannya Pinterkelas
pinterkelas.com

Bab1 Besaran Dan Satuan
www.slideshare.net

Bahan Belajar Besaran Satuan Dimensi Dan Konversi Satuan
ayogbelajar.blogspot.com

C Dimensi Fisika Memang Asyik
fisikamemangasyik.wordpress.com

Mencari Dimensi Tekanan Dan Usaha Soal Fisika
soalfisika85.blogspot.com

Endarko Dkk
www.slideshare.net

Rumus Besaran Dan Satuan
www.slideshare.net

Dimensi Daya Pengertian Lambang Rumus Contoh Lengkap
rumusrumus.com

Dimensi Daya Adalah Mas Dayat
www.masdayat.net

Dimensi Besaran Turunan Pokok Pengertian Contoh Fungsi Dimensi Daya Gaya Tekanan Usaha Dll
walpaperhd99.blogspot.com

Rumus Cepat Dimensi 3 Guru Ilmu Sosial
www.ilmusosial.id

Tentukan Satuan Dan Dimensi Dari Besaran Turunana Dibawah Ini Yg Diturunkan Dari Besaran Pokok Brainly Co Id
brainly.co.id

Pdf Besaran Dan Satuan Riyadh Tsaniyadi Academia Edu
www.academia.edu

Dimensi Besaran Pokok Dan Dimensi Besaran Turunan
www.siswapedia.com

Https Encrypted Tbn0 Gstatic Com Images Q Tbn 3aand9gcqv Uczm5zdtohddl0ubypohdsudkcgnek5bsskcqhnyxqxhvee Usqp Cau
encrypted-tbn0.gstatic.com

Https Encrypted Tbn0 Gstatic Com Images Q Tbn 3aand9gcq5fx Jd4ir427vnutdkdms6mczqge4fpe0mt7chqzpywfwnv4t Usqp Cau
encrypted-tbn0.gstatic.com

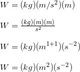
Tentukan Dimensi Dari Besaran Besaran Berikut A Potensial Listrik W Q B Daya W T C Momen Brainly Co Id
brainly.co.id

Dimensi
id.scribd.com

Dimensi Daya Begini Cara Menentukannya Fisika
www.fisika.co.id

Maretong Besaran Satuan Dan Dimensi Fisika Sma Kelas 10
www.maretong.com

Lengkap Pengertian Lambang Rumus Hingga Contoh Dimensi Daya
cerdika.com

Rumus Dimensi Daya Adalah Brainly Co Id
brainly.co.id

Daya Dalam Kehidupan Sehari Hari Pastiguna Com
pastiguna.com

Pengertian Daya Rumus Satuan Dimensi Lambang Efisiensi Dan Contoh Soal Rumuspelajaran Com
www.rumuspelajaran.com

Contoh Soal Dimensi Dan Penyelesaiannya Soalfismat Com
soalfismat.com

Latihan 1
www.scribd.com

Besaran Dan Satuan Soal Universal Class Nbsp Besaran Dan Satuan 01 Diantara Kelompok Besaran Berikut Yang Termasuk Kelompok Hasil Pengukuran Panjang Dan Lebar Suatu Pdf Document
fdokumen.com

C Dimensi Fisika Memang Asyik
fisikamemangasyik.wordpress.com

Besaran Satuan Serta Dimensi Coretan Ilmu
www.coretanilmu.xyz

Besaran Dan Satuan
www.slideshare.net

Pengertian Satuan Besaran Pokok Turunan Macam Dan Contoh
www.gurupendidikan.co.id

Ulangan Harian Fisika
id.scribd.com

Alat Ukur Dan Pengukuran Ppt Download
slideplayer.info

Les Privat Bimbel Privat Semarang Sd Smp Sma Umum
bimbelsmartgenius.com

Besaran Satuan Pengukuran
www.slideshare.net

Daya Dimensi Indonesia Gaji Rumusrumus Com
rumusrumus.com

Besran Turunan Rumus Satuan Dimensi Brainly Co Id
brainly.co.id

Dimensi Besaran Pokok Dan Besaran Turunan
id.scribd.com

Endarko Dkk
www.slideshare.net

Daya Pengertian Rumus Lambang Satuan Dimensi Contoh Soal Daya
ilmubelajar.com

Dimensi Momentum Pengertian Satuan Rumus Dimensi Dan Contoh Soalnya
suhupendidikan.com

Bab1 Besaran Dan Satuan
www.slideshare.net

Rumus Rumus Fisika Sma
www.slideshare.net

Cari Rumus Dimensi Daya Bantuin Plisssss Brainly Co Id
brainly.co.id

Dimensi Dari Energi Potensial Daya Tekanan Momen Inersia Brainly Co Id
brainly.co.id

Besaran Turunan Fisika Lengkap Contoh Rumus Satuan Dan Dimensi
inspirilo.com

Rumus Daya Pengertian Dan Contoh Soal
www.seputarpengetahuan.co.id

Dimensi Besaran Turunan Analisis Dimensi Besaran Turunan
rumusbilangan.com

Fisika Kelas 12 Menghitung Daya Radiasi Benda Menggunakan Hukum Stefan Boltzmann
blog.ruangguru.com

Modul Rumus Soal Dimensi Wardaya College
www.wardayacollege.com

Besaran Pokok Dan Besaran Turunan Beserta Satuan Dan Dimensi
rumus.co.id

close