Sangat Membantu

Rumus Energi Kinetik Gas Ideal


Contoh Soal Teori Kinetik Gas Dan Termodinamika
gurupengajar.com

File
studylibid.com

Soal Dan Jawaban Teori Kinetik Gas 20 Butir
id.scribd.com

Energi Dalam U Pada Gas Ideal Belajar Fisika Yuk
diaurrahman.wordpress.com

Teori Kinetik Gas Dan Hukum Termodinamika
dokumen.tips

290849283 12 Teori Kinetik Gas Dan Gas Ideal Ppt
dokumen.tips

Teori Kinetika Gas
www.slideshare.net

Penurunan Rumus Kecepatan Akar Rata Rata Kuadrat Gas Ideal Youtube
www.youtube.com

Teori Kinetik Gas Fisika Kelas 11 Quipper Blog
www.quipper.com

Teori Kinetik Gas Dan Termodinamika
fisikakontekstual.com

Kumpulan Rumus Dan Rangkuman Teori Kinetik Gas
www.edutafsi.com

Soal Teori Kinetik Gas
id.scribd.com

Rangkuman Materi Teori Kinetik Gas Belajar Mipa
www.belajarmipa.com

Soal Dan Pembahasan Teori Kinetik Gas Kelas 11 Guru Ilmu Sosial
www.ilmusosial.id

Pintar Pelajaran Teori Kinetik Gas Persamaan Gas Ideal Prinsip Ekuipartisi Energi Hukum Hukum Gas Rumus Teladan Soal Kunci Jawaban Cara Ampuh Memahami Matematika Dengan Mudah
lincahmatematika.blogspot.com

Teori Kinetik Gas Gurumuda Net
gurumuda.net

Materi Teori Kinetik Gas Dan Termodinamika
fisikakontekstual.com

Kumpulan Rumus Fisika Teori Kinetik Gas Ideal Xi
pt.slideshare.net

Teori Kinetik Gas Docx
id.scribd.com

Ppt Teori Kinetik Gas Ideal Powerpoint Presentation Free Download Id 5975945
www.slideserve.com

Pdf The Students Misconceptions Profile On Chapter Gas Kinetic Theory
www.researchgate.net

Rangkuman Contoh Soal Teori Kinetik Pembahasan Jawaban
tanya-tanya.com

Energi Kinetik Dan Momen Inersia Dari Sistem Massa Berputar Taufiqur Rokhman
taufiqurrokhman.wordpress.com

Materi Teori Kinetik Gas Dan Termodinamika
fisikakontekstual.com

10 Contoh Soal Teori Kinetik Gas Dan Jawaban Pembahasan
soalkimia.com

Teori Kinetik Gas Zainal Abidin
www.slideshare.net

Teori Kinetik Gas Fisika Kelas 11 Quipper Blog
www.quipper.com

Contoh Soal Kecepatan Efektif Gas Dan Energi Kinetik Gas Soalfismat Com
soalfismat.com

Teori Kinetik Gas Persamaan Gas Ideal Youtube
www.youtube.com

Soal Pembahasan Teori Kinetik Gas Guru Ilmu Sosial
www.ilmusosial.id

Energi Kinetik Gas Authorstream
www.authorstream.com

Energi Dalam Gas Ideal Gurumuda Net
gurumuda.net

Bajar Ajar Fi Sisika Gas Ideal Revisi Ppt
www.slideshare.net

Teori Kinetika Gas
www.slideshare.net

Teori Kinetik Gas Smt2 I Ipa
www.slideshare.net

Teori Kinetik Gas Definisi Penerapan Hukum Sifat Contoh
www.ayokboco.com

Suatu Gas Ideal Dalam Ruang Tertutup Yang Suhunya 27 C Memiliki Energi Kinetik Partikel Sebesar 150 J Mas Dayat
www.masdayat.net

Fisika Kelas Xi Teori Kinetik Gas
fisikasmakelasxiipa.blogspot.com

Kecepatan Efektif Gas Gurumuda Net
gurumuda.net

Teori Kinetik Gas Fisika Kelas 11 Quipper Blog
www.quipper.com

Contoh Soal Teori Kinetik Gas Gurumuda Net
gurumuda.net

Kumpulan Soal Teori Kinetik Gas Lengkap Dengan Pembahasannya Jendela Ilmu
www.jendelailmu.net

Materi Teori Kinetik Gas Dan Termodinamika
fisikakontekstual.com

Materi Teori Kinetik Gas Dan Termodinamika
fisikakontekstual.com

Teori Kinetik Gas Zainal Abidin
www.slideshare.net

Teori Kinetik Gas Fisika Kelas 11 Quipper Blog
www.quipper.com

Teori Kinetik Gas Persamaan Gas Ideal Prinsip Ekuipartisi Energi Hukum Hukum Gas Rumus Contoh Soal Kunci Jawaban
www.nafiun.com

Teori Kinetik Gas Fisika Sma Smk Detail Catatan Mejakita
www.mejakita.com

Suhu Dan Energi Kinetik Rata Rata Partikel Gas Pengertian
cpengertian.blogspot.com

Sebuah Silinder Bervolume 1 M3 Berisi 5 Mol Gas Helium Pada Suhu 50 Derajat Celcius Jika Helium Brainly Co Id
brainly.co.id

Skl 3 Rumus Contoh Soal Pdf Google Drive
drive.google.com

Teori Kinetik Gas Sma Al Hikmah Muncar
www.smaalhikmah.sch.id

Https Encrypted Tbn0 Gstatic Com Images Q Tbn 3aand9gctdhr7fh8oxkyplmfmhdzngts6s3f8i51xetcon5vd73nnaul 3 Usqp Cau
encrypted-tbn0.gstatic.com

Bab 4teori Kinetik Gas 54 56
pdfslide.tips

Soal Dan Penyelesaian Ttg Kecepatan Efektif Dan Energi Kinetik Rata Rata Gas Ideal Ayo Sekolah Fisika
www.ayo-sekolahfisika.com

Teori Kinetik Gas Fisika Kelas 11 Quipper Blog
www.quipper.com

Teori Kinetik Gas Ideal Physics Fun
andriyanilisah.weebly.com

Kedudukan Skala Sebuah Mikrometer Sekrup Yang Digunakan Untuk Mengukur Diameter Sebuah Bola Kecil Seperti Gambar Berikut Berdasarkan Gambar Tersebut Ppt Download
slideplayer.info

Kadeek On Twitter Rumus Fisika Kelas 10 12
twitter.com

Fisika Teori Kinetik Gas 50 Lembar Docx Bab I Pendahulan A Latar Belakang Nilai Selalu Berada Di Setiap Kegiatan Kita Tanpa Kita Sadari Kegiatan Kita Course Hero
www.coursehero.com

Hukum Gas Ideal Teori Kinetik Gas Budaya Kaum Muda Sudut Teks Png Pngegg
www.pngegg.com

Teori Kinetik Gas Zainal Abidin
www.slideshare.net

Pdf Kumpulan Soal Jawab Teori Kinetik Gas Risqi Pratama Academia Edu
www.academia.edu

Teori Kinetik Gas Hukum Boyle Charles Gay Lussac
passinggrade.co.id

Teori Kinetik Gas Dan Hukumnya Halaman All Kompas Com
www.kompas.com

Teori Kinetik Gas Soal Dan Pembahasan Guru Ilmu Sosial
www.ilmusosial.id

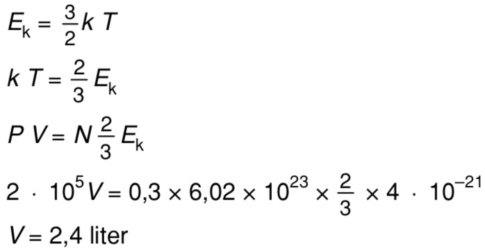
Dalam Sebuah Wadah Terdapat 0 3 Mol Gas Ideal Monoatomik Memiliki Energi Kinetik Rata Rata Mas Dayat
www.masdayat.net

Kecepatan Efektif Gas Ideal Ppt Download
slideplayer.info

Daftar Pustaka Kinetik
id.scribd.com

Teori Kinetik Gas Persamaan Umum Gas Hukum Gas Ideal Dan Pembahasan Contoh Soal Pelajaran Sekolah Online
www.pelajaran.co.id

Rangkuman Teori Kinetik Gas
id.scribd.com

Teori Kinetik Gas Ideal Physics Fun
andriyanilisah.weebly.com

Tekanan Gas Menurut Teori Kinetik Gas Ayo Sekolah Fisika
www.ayo-sekolahfisika.com

Soal Dan Jawaban Teori Kinetik Gas 20 Butir Doc Document
fdokumen.com

Teori Gas Ideal Kimia Sma Smk Detail Catatan Mejakita
www.mejakita.com

Materi 16
www.yumpu.com

Energi Kinetik Rata Rata Gas Gurumuda Net
gurumuda.net

Dapat Mendeskripsikan Sifat Sifat Gas Ideal Monoatomik Ppt Download
slideplayer.info

Teori Kinetik Gas Pengertian Hukum Standar Penerapan Contoh
blog.edukasystem.com

Teori Kinetik Gas Pengertian Hukum Standar Dan Contoh Soal
pastiguna.com

Doc Teori Kinetik Gas Gas Ideal Muhamad Ihsanul Faadil Academia Edu
www.academia.edu

Teori Kinetik Gas
studylibid.com

Teori Kinetik Gas Pengertian Hukum Rumus Dan Soal Latihan
bacaboy.com

Contoh Soal Dan Pembahasan Teori Kinetik Gas
www.utakatikotak.com

Gas Ideal Rumus Dan Serba Serbinya
rumushitung.com

Hukum Hukum Gas Ideal Hukum Boyle Charles Dan Gay Lussac
fisikazone.com

Soal Dan Pembahasan Tentang Gas Ideal Fisika Usaha321 Net
usaha321.net

Teori Kinetik Gas Adalah Konsep Yang Mempelajari Sifat Sifat Gas
id.123dok.com

Teori Kinetik Gas Fisika Kelas 11 Quipper Blog
www.quipper.com

Https Encrypted Tbn0 Gstatic Com Images Q Tbn 3aand9gctv Nawze7jxbw2zhmkk Ulqavjfrcimnhkkw Usqp Cau

Tentukan Energi Dalam Dari Satu Mol Gas Diatomik Pada Suhu 327 C Brainly Co Id
brainly.co.id

Materi Teori Kinetik Gas Dan Termodinamika
fisikakontekstual.com

Doc Gas Ideal Dan Teori Kinetik Gas Sahri Akisif Academia Edu
www.academia.edu

Https Encrypted Tbn0 Gstatic Com Images Q Tbn 3aand9gcstwdy0kqbbq4qugsq Mk3s8kwuzvab1jjqjh F2ccf7gdyzkv7 Usqp Cau
encrypted-tbn0.gstatic.com

Gas Saadah Blog
nsaadah75.wordpress.com

Teori Kinetik Gas
fisikastudycenter.com

Fluida Dinamis Persamaan Bernoulli Ciri Dan Contoh Soal
www.gurupendidikan.co.id

Doc Handout Teori Kinetik Gas Mutiara Cess Academia Edu
www.academia.edu

Teori Kinetik Gas Hukum Boyle Charles Gay Lussac
passinggrade.co.id

Teori Kinetik Gas Fisika Kelas 11 Quipper Blog
www.quipper.com

Https Encrypted Tbn0 Gstatic Com Images Q Tbn 3aand9gcrg72bwch04wbyezgtwtztv1duhdtygl1qfoinkrl9yxkfpb2rt Usqp Cau
encrypted-tbn0.gstatic.com

Gas Ideal Dan Teori Kinetik Gas Pengertian Rumus Dan Contohnya
soalkimia.com

Materi Teori Kinetik Gas
id.scribd.com

close