Sangat Membantu

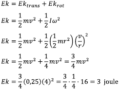
Rumus Energi Kinetik Total Silinder Pejal


Energi Kinetik Translasi Dan Rotasi Dinamika Rotasi Fisika Sma Youtube
www.youtube.com

V Adalah Kecepatan Bola A V Wr Dengan Menggunakan I 2 5 Mr2 Dan Menyelesaikan Persamaanpersamaan Di Atas Kita Akan Peroleh W Pdf Download Gratis
docplayer.info

Fisika Veritas Jika Bola Silinder Dan Cincin Balapan Mana Yang Finish Duluan
fisikaveritas.blogspot.com

Energi Pada Gerak Rotasi 4muda Com
www.4muda.com

Dinamika Rotasi Torsi Momen Gaya Momentum Sudut Rumus Contoh Soal
www.studiobelajar.com

Dinamika Rotasi
www.slideshare.net

Gerak Rotasi Benda Tegar
www.slideshare.net

Contoh Soal Energi Kinetik Rotasi Menggelinding Dan Pembahasannya Soalfismat Com
soalfismat.com

C Dinamika Rotasi161 198 Doc
id.scribd.com

Fisika Xi
yoskin.wordpress.com

Kumpulan Contoh Soal Contoh Soal Tentang Energi Kinetik Total
bakingupforlosttime.blogspot.com

Doc Soal Dinamika Rotasi Yhumex Efendi Academia Edu
www.academia.edu

Fisika Kelas 11 Cara Gampang Memahami Konsep Momen Inersia
blog.ruangguru.com

Siap Menghadapi Ujian Nasional Fisika 2013 Zainal Abidin
www.slideshare.net

Http Sman30jkt Sch Id Wp Content Uploads 2018 08 Modul Pembelajaran Fisika Pdf

Quiz Fisika Materi Keseimbangan Dan Gerak Rotasi Rules Dilarang Menjawab Secara Spam Atau Brainly Co Id
brainly.co.id

Momen Inersia Silinder Pejal Ardra Biz
ardra.biz

Kumpulan Contoh Soal Contoh Soal Tentang Energi Kinetik Total
bakingupforlosttime.blogspot.com

Sebuah Bola Pejal I 2 5 Mr 2 Bermassa 2 Kg Menggelinding Pada Sebuah Bidang Datar Dengan Brainly Co Id
brainly.co.id

Momen Inersia Pengertian Konsep Rumus Contoh Tabel
www.gurupendidikan.co.id

Contoh Soal Energi Kinetik Rotasi Menggelinding Dan Pembahasannya Soalfismat Com
soalfismat.com

Contoh Soal Dan Pembahasan
www.slideshare.net

Tentukan Besarnya Energi Kinetik Total Dari Sebuah Silinder Berongga Yang Sedang Menggelinding Pada Brainly Co Id
brainly.co.id

Dinamika Rotasi Fisika Kelas 11 Quipper Blog
www.quipper.com

Sebuah Silinder Pejal Yang Massanya 10 Kg Dan Jari Jari 20 Cm Menggelinding Dengan Kecepatan 8 M S Brainly Co Id
brainly.co.id

Energi Kinetik Total Sillinder Pejal Pembahasan Un Fisika Sma Tahun 2018 Youtube
www.youtube.com

Dinamika Rotasi Dan Kesetimbangan
studylibid.com

Fisika Xi
yoskin.wordpress.com

Kumpulan Contoh Soal Contoh Soal Tentang Energi Kinetik Total
bakingupforlosttime.blogspot.com

Soal Dan Pembahasan Rotasi Guru Ilmu Sosial
www.ilmusosial.id

Hitung Ek Total Silinder Pejal Atau Buktikan Besarnya Ek Total Pada Silinder Pejal Ekr 3 4 Brainly Co Id
brainly.co.id

Sebuah Silinder Pejal Dengan Jari Jari 20 Cm Dan Massa 2 Kg Berada Di Puncak Bidang Miring Dengan Brainly Co Id
brainly.co.id

Http Sman30jkt Sch Id Wp Content Uploads 2018 08 Modul Pembelajaran Fisika Pdf

Momen Inersia Pengertian Konsep Rumus Contoh Tabel
www.gurupendidikan.co.id

Menggelinding Docx
id.scribd.com

Materi Fisika Kelas Xi
studylibid.com

Soal Dinamika Rotasi Dan Pembahasan Guru Ilmu Sosial
www.ilmusosial.id

Gerak
id.scribd.com

Contoh Soal Dan Pembahasan Dinamika Rotasi Materi Fisika Kelas 2 Sma Pembahasan A Percepatan Gerak Turunnya Benda M Pdf Download Gratis
docplayer.info

Energi Kinetik Bola Pejal Yang Mengelinding Dinamika Rotasi Youtube
www.youtube.com

Physicprime Contoh Soal Dan Pembahasan Dinamika Rotasi Kelas 11
physicprime.blogspot.com

Dinamika Rotasi Fisika Kelas 11 Quipper Blog
www.quipper.com

Momen Inersia Silinder Pejal Ardra Biz
ardra.biz

Pengertian Gerak Rotasi Kinematika Dan Dinamika Rotasi Momen Gaya Inersia Kesetimbangan Benda Tegar Contoh Soal Kunci Jawaban
www.nafiun.com

Dinamika Gerak Rotasi1 Pdf Document
fdokumen.com

Silinder Pejal Terbuat Dari Besi Menggelinding Di Atas Lantai Datar Dengan Laju 10 M S Massa Brainly Co Id
brainly.co.id

Contoh Soal Dan Pembahasan Dinamika Rotasi
www.slideshare.net

Energi Kinetik Benda Menggelinding Fisika Sma Youtube
www.youtube.com

Soal Dinamika Rotasi
id.scribd.com

Kecepatan Bola Pejal Menggelinding Pada Bidang Miring Fisika Sma Youtube
www.youtube.com

Dinamika Rotasi
www.slideshare.net

Energi Kinetik Rotasi Ayo Sekolah Fisika
www.ayo-sekolahfisika.com

Momen Inersia Energi Kinetik
pdfslide.tips

Pembahasan Soal Un Fisika Sma Ma 2014 Gerak Menggelinding Gurumuda Net
gurumuda.net

Sebuah Katrol Berbentuk Silinder Pejal Ditarik Oleh Gaya F Seperti Pada Gambar Di Bawah Jika Brainly Co Id
brainly.co.id

Sebuah Silinder Pejal I 1 2mr Kuadrat Bermassa 10 Kg Menggelinding Tanpa Slip Pada Suatu Bidang Brainly Co Id
brainly.co.id

Roda Yang Berupa Silinder Pejal Massanya 3 Kg Dan Jari Jari 20 Cm Roda Tersebut Menggelinding Brainly Co Id
brainly.co.id

Kecepatan Percepatan Momen Gaya Bola Mengelinding Pada Bidang Miring Dinamika Rotasi Youtube
m.youtube.com

Momen Gaya Torsi Adalah Pengertian Rumus Dan Contoh Soal
rumus.co.id

Contoh Soal Energi Kinetik Rotasi Menggelinding Dan Pembahasannya Soalfismat Com
soalfismat.com

Energi Kinetik Bola Pejal 82sport Com
82sport.com

Contoh Soal Dan Pembahasan
www.slideshare.net

Dinamika Rotasi Fisika Kelas 11 Quipper Blog
www.quipper.com

Sebuah Silinder Berotasi Terhadap Sumbunya Dengan Kecepatan Sudut 120 Rpm Maka Masa Silinder 20 Brainly Co Id
brainly.co.id

10 Soal Dinamika Rotasi Dan Kesetimbangan Benda Tegar Jawaban
soalkimia.com

Soal No 1 Pembahasan
id.scribd.com

Dinamika Rotasi
www.slideshare.net

Contoh Soal Energi Kinetik Rotasi Menggelinding Dan Pembahasannya Soalfismat Com
soalfismat.com

Kesetimbangan Benda Tegar Gabungan Energi Kinetik Rotasi Dan Translasi Ppt Download
slideplayer.info

Rangkuman Energi Kinetik Rotasi Dan Contoh Soal Fisika
fisikasekolahmadrasah.blogspot.com

Energi Pada Gerak Rotasi
www.utakatikotak.com

Energi Kinetik Rotasi Berkelas
ilmuberkelas.blogspot.com

Fisika Veritas Jika Bola Silinder Dan Cincin Balapan Mana Yang Finish Duluan
fisikaveritas.blogspot.com

Soal Dan Pembahasan Fisika Part 2
www.slideshare.net

Energi Pada Gerak Rotasi
www.utakatikotak.com

Torsi Momen Inersia Momentum Anguler Energi Kinetik Rotasi
studylibid.com

Sebuah Silinder Pejal Bermassa 120 Gram Mengelinding Dengan Kecepatan Liner 5m S Energi Kinetik Brainly Co Id
brainly.co.id

Soal Dan Pembahasan Energi Kinetik Rotasi
www.edutafsi.com

Tugas Akhir Rahmat Widayat M0217058 Pdf Tema Rotasi Benda Tegar Program Analisis Momen Inersia Dan Energi Suatu Benda Berotasi Makalah Ini Disusun Course Hero
www.coursehero.com

Energi Kinetik Dan Momentum Sudut
www.slideshare.net

Dinamika Rotasi Fisika Kelas 11 Quipper Blog
www.quipper.com

Fisika Kelas 11 Cara Gampang Memahami Konsep Momen Inersia
blog.ruangguru.com

Energi Kinetik Bola Pejal 82sport Com
82sport.com

Fisika Veritas Jika Bola Silinder Dan Cincin Balapan Mana Yang Finish Duluan
fisikaveritas.blogspot.com

Dinamika Rotasi Fisika Kelas 11 Quipper Blog
www.quipper.com

Energi Kinetik Dan Momentum Sudut
www.slideshare.net

Kumpulan Rumus Momen Inertia Dan Dinamika Rotasi Ok A4
pt.scribd.com

Soal Fisika Xi 1
ro.scribd.com

Dinamika Rotasi Dan Kesetimbangan Benda Tegar
www.smalsa.sch.id

Soal Dinamika Rotasi Dan Pembahasan Guru Ilmu Sosial
www.ilmusosial.id

Tutorial Menghitung Energi Kinetik Pada Benda Yang Menggelinding Fisika Sma Youtube
www.youtube.com

Soal Dan Pembahasan Energi Kinetik Rotasi
www.edutafsi.com

Pengertian Gerak Rotasi Kinematika Dan Dinamika Rotasi Momen Gaya Inersia Kesetimbangan Benda Tegar Contoh Soal Kunci Jawaban
www.nafiun.com

Bagian E
www.slideshare.net

Momen Inersia Silinder Pejal Ardra Biz
ardra.biz

Silinder Pejal Terbuat Dari Besi Menggelinding Di Atas Lantai Datar Dengan Laju 10 M S Massa Brainly Co Id
brainly.co.id

Physicprime Contoh Soal Dan Pembahasan Dinamika Rotasi Kelas 11
physicprime.blogspot.com

Silinder Pejal Homogen Bermassa M Menggelinding Pada Lantai Datar Dengan Laju Tranoasi V Energi Brainly Co Id
brainly.co.id

Soal Dan Pembahasan Fisika Part 2
www.slideshare.net

Dinamika Rotasi Fisika Kelas 11 Quipper Blog
www.quipper.com

close