Sangat Membantu

Rumus Fibonacci


Fibonacci
www.slideshare.net

Asal Usul Barisan Fibonacci
maths.id

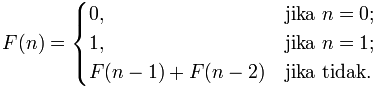
Rumus Fibonacci Dalam Lagu Lateralus Tool Grumbling Babbling Raven
grumblingbabblingraven.wordpress.com

Sum Of The Sequence 2 22 222 Geeksforgeeks
www.geeksforgeeks.org

Pola Bilangan Dan Rumus Un Suatu Pola Bilangan Idschool
idschool.net

Learning To Use Fibonacci For Forex Trading The Best Forex Signals 2019 No Repaint
forexsignal30.com

Barisan Fibonacci Dan Rasio Emas I Bermatematika
bermatematika.net

Nombor Fibonacci Wikipedia Bahasa Melayu Ensiklopedia Bebas
ms.wikipedia.org

Phi The Golden Ratio Golden Ratio Fibonacci Golden Ratio Fibonacci Sequence
ar.pinterest.com

Java Recursive Fibonacci Sequence Stack Overflow
stackoverflow.com

Rumus Fibonacci Dalam Forex Strategi Perdagangan Opsi Biner
strategipilihanbiner.logdown.com

Rumus Kuno Togel Fibonacci By Alvarezchelsea45 Issuu
issuu.com

Fibonacci Deret Angka Yang Konon Mampu Buktikan Keberadaan Tuhan
www.idntimes.com

Cara Menghitung Deret Fibonacci Dengan Gambar Wikihow
id.wikihow.com

Fibonacci Retracement Technical Analysis Mathematics
www.scribd.com

Rifandy Blog Pembuktian Rumus Suku Ke N Barisan Fibonacci Metode Induksi Matematika
rifandy23.blogspot.com

Rumus Baris Bilangan Dan Deret
id.scribd.com

Doc Mtk Soal Uas Anggun Novi Academia Edu
www.academia.edu

Doc Bab 19 Barisan Dan Deret Fixs Atsnan Fajar Academia Edu
www.academia.edu

Fell Free Fibonacci Rumus Binet Dan Aljabar Linier
nesscore.blogspot.com

Pola Bilangan Dan Rumus Un Suatu Pola Bilangan Updated
saintif.com

Cara Cepat Hitung Pola Bilangan Deret Angka Rumus Contoh Soal
hindayani.com

Fibonacci
www.slideshare.net

Fungsi Rumus Fibonacci Pada Judi Poker Link Situs Games Slot Super
norfolkedfound.org

Barisan Bilangan Fibonacci Barisan Bilangan Fibonacci
filmatbarbilfibo.blogspot.com

Fibonacci Deret Angka Yang Konon Mampu Buktikan Keberadaan Tuhan
www.idntimes.com

Rumus Perhitungan Rasio Level Fibonacci Teman Forex
temanforex.com

Fibonacci Rasio Emas Rumus Terhebat Yang Pernah Ada Beda Berita
www.bedaberita.com

Cara Menghitung Tingkat Fibonacci Retracement Dan Ekstension
dasarforex.com

Hitung Urutan Fibonacci Kiat 2020
id.wikicell.org

Rumus Bilangan Fibonacci
www.seputarpengetahuan.co.id

1
encrypted-tbn0.gstatic.com

Asal Usul Barisan Fibonacci
maths.id

Rumus Rumus Logaritma
id.pinterest.com

Belajar Mengenal Fibonacci Belajar Forex Forex Starmoon
forexstarmoon.com

Rumus Barisan Dan Deret Bilangan Matematika
www.danlajanto.com

Rasio Emas Wikipedia Bahasa Indonesia Ensiklopedia Bebas
id.wikipedia.org

Algoritma Menentukan Bilangan Fibonacci C Kelas Programmer
kelasprogrammer.com

Pqygzoxola5iqm

Rekursif Ppt Download
slideplayer.info

Https Encrypted Tbn0 Gstatic Com Images Q Tbn 3aand9gcswaywazgezo1qlvm3vu23ymfvjcwrcwamzoxnjjl7xo5x Lwsd Usqp Cau
encrypted-tbn0.gstatic.com

Monday January 9 2012 1 Barisan Bilangan Genap
id.scribd.com

Materi Pembelajaran
belajardaring.com

Program Dan Penjelasan Deret Fibonacci C Teachmesoft
www.teachmesoft.com

Algoritma Dynamic Program Sixv Com
www.sixv.com

Pola Bilangan Dan Rumus Un Suatu Pola Bilangan Idschool
idschool.net

Pola Bilangan Pola Bilangan
polabilangan49.blogspot.com

Berbagi Ilmu Pengetahuan Dan Informasi Contoh Pemrograman Deret Fibonacci Dengan Matlab
spatabang.blogspot.com

Rumus Fibonacci Forex Dalam Binara Options Trading Strategies
binaroptionsstrategi.logdown.com

Rangkuman Soal Dan Jawaban Pola Bilangan Belajar Dari Rumah Tvri Smp 4 Juni Halaman All Kompas Com
www.kompas.com

Pola Bilangan Dan Rumus Un Suatu Pola Bilangan Idschool
idschool.net

Calculate Fibonacci Retracements Automatically Tradinformed
www.tradinformed.com

1 618 Espiral De Fibonacci Geometria Divina Geometria Sagrada
www.pinterest.jp

Rumus Fibonacci Forex Dalam Binare Optionen Handels Strategien
binareoptionsstrategie.logdown.com

Prinsip Dasar Dari Urutan Angka Fibonacci Jumlah Dewa Angka Fibonacci Rasio Emas Angka Angka Fibonacci Di Alam
bankfs.ru

Rangkuman Soal Dan Jawaban Pola Bilangan Belajar Dari Rumah Tvri Smp 4 Juni Halaman All Kompas Com
www.kompas.com

Rekursif Di Java Fibonacci Dan Faktorial Imam Farisi
imamfarisi.com

Fibonacci
www.slideshare.net

Bilangan Fibonacci Wikipedia Bahasa Indonesia Ensiklopedia Bebas
id.wikipedia.org

The Golden Ratio What It Is And How To Use It In Design
www.invisionapp.com

Fakta Kabah Makkah Dan Misteri Angka Fibonacci 1 618 Mukjizat Islam Yayasanbaitulmaqdis
baitulmaqdis.com

Pola Bilangan Dan Barisan Bilangan Pengertian Rumus Contoh Soal
bacaboy.com

Fibonacci Adalah Indikator Penting Untuk Menganalisa Sentimen Pasar Tradelina
tradelina.com

Https Encrypted Tbn0 Gstatic Com Images Q Tbn 3aand9gcrcxohogwy0sbao8ntfhe575qxg6izvb9u Rnoqaqu Dnbtqedr Usqp Cau
encrypted-tbn0.gstatic.com

Tiga Suku Berikutnya Dari Barisan Fibonacci 1 1 2 3 5 Adalah Brainly Co Id
brainly.co.id

Fey Deret Fibonacci Dengan Bahasa C
feisalarmstrong.blogspot.com

Pengertian Pola Bilangan Macam Jenis Dan Contoh Pola Bilangan Lengkap Pelajaran Sekolah Online
www.pelajaran.co.id

Barisan Fibonacci Dan Bilangan Phi
studylibid.com

Contoh Program C Menampilkan Bilangan Deret Fibonacci Menggunakan Perintah While Do Hardifal
www.hardifal.com

Tutorial Dan Strategi Tools Fibonacci Terlengkap Provits Training Buy Or Sell Just Profit
www.provitstraining.com

Fibonacci Deret Angka Yang Konon Mampu Buktikan Keberadaan Tuhan
www.idntimes.com

Fibonacci
www.slideshare.net

Rumus Pohon Fibonacci Belajar Bareng Yuukk
malfanblog.wordpress.com

A Formula For Fibonacci Sequence Fibonacci Numbers Are One Of The Most By Julia Fisher Cantor S Paradise Medium
medium.com

Rumus Deret Fibonacci Bagaimana Mathematics Undercover Youtube
www.youtube.com

Representasi Bilangan Fibonacci Dalam Bentuk I 1 Dan I 2 Pdf Document
fdokumen.com

Fibonacci Rasio Emas Rumus Terhebat Yang Pernah Ada Beda Berita
www.bedaberita.com

Mengenal Indikator Pivot Point Senjata Ampuh Copet Intra Day
www.sahamonline.id

Balasan Dari 7 Rumus Matematika Yang Unik Kaskus
www.kaskus.co.id

Ppt Fungsi Rekursif Powerpoint Presentation Free Download Id 3300483
www.slideserve.com

Rumus Pola Bilangan Segitiga Persegi Fibonacci Ganjil Dan Genap
rumus.co.id

Rumus Digram Ppt Powerpoint
fdokumen.com

Fibonacci Rasio Emas Rumus Terhebat Yang Pernah Ada Beda Berita
www.bedaberita.com

Pola Bilangan Dan Rumus Un Suatu Pola Bilangan Idschool
idschool.net

Barisan Fibonacci Bermatematika
bermatematika.net

Sebuah Barisan Fibonacci Memiliki Suku Pertama U1 6 Dan U7 102 Suku Kedua Barisan Tersebut Youtube
m.youtube.com

Fibonacci Dan Kelinci Living Life With Joy
ajooy.wordpress.com

Rekursip
dinus.ac.id

Dua Suku Pertama Dari Barisan Fibonacci Ditentukan Oleh Bilangan 2 4 Lanjutkan Barisan Berikut Brainly Co Id
brainly.co.id

Fibonacci And Bonsai Bonsaiplace
bonsaiplace.net

Apa Tips Untuk Mengerjakan Soal Tps Tentang Barisan Dengan Cepat Quora
id.quora.com

Pola Bilangan Dan Rumus Un Suatu Pola Bilangan Updated
saintif.com

A Formula For Fibonacci Sequence Fibonacci Numbers Are One Of The Most By Julia Fisher Cantor S Paradise Medium
medium.com

The Fibonacci Betting System Ultimate Guide 2020 Update
www.thepunterspage.com

Rumus Umum Barisan Fibonacci Youtube
www.youtube.com

Phyllotaxis Dwi Kusuma Wahyuni Departemen Biologi Ppt Download
slideplayer.info

Contoh Program Menghitung Bilangan Fibonacci Di Java Okedroid Belajar Coding Java Android Tips Dan Trik
www.okedroid.com

Rumus Fibonacci Dalam Forex Best Binary Options Profit Calculator
binaryoptionsprofitcalculator.logdown.com

Cliff Pickover On Twitter Binet S Fibonacci Number Formula Https T Co Hrc3t4vpfq
twitter.com

Big Poin Jangan Ngasal Ngasal Auto Report Brainly Co Id
brainly.co.id

Cara Menghitung Deret Fibonacci Dengan Gambar Wikihow
id.wikihow.com

Gf Biochemicals Stocks
gf-biochemicals-stocks.bitcoindevkit.com

Fibonacci
www.slideshare.net

Https Encrypted Tbn0 Gstatic Com Images Q Tbn 3aand9gcsrtabblsrf Z710xtpmkipxj01k3691bdanqttfqhfl8uasslc Usqp Cau
encrypted-tbn0.gstatic.com

close