Sangat Membantu

Rumus Fluks Magnetik


Hukum Faraday Mengenai Ggl Induksi Fisika Sekolah
www.fisikasekolah.com

Hukum Lenz Rumus Bunyi Konsep Induksi Gambar Dan Contoh Soal
quipper.co.id

Induksi Elektromagnetik Ppt Download
slideplayer.info

Pengertian Medan Magnet Sifat Satuan Rumus Contoh Soal
www.gurupendidikan.co.id

Medan Magnet Pengertian Penyebab Pembuatan Rumus Contoh Soal
bacaboy.com

Faraday
id.scribd.com

Persamaan Maxwell Ii Hukum Gauss Pada
studylibid.com

Induksi Dan Fluks Magnetik Bersama Contoh Soal Dan Jawaban
www.pinterpandai.com

Fsk
www.slideshare.net

Persamaan Maxwell Anggiamo Blog
blog.ub.ac.id

Pengertian Fluks Magnetik Rumus Satuan Dan Contoh Blog Usaha321 Net
blog.usaha321.net

Hukum Lenz Pengertian Dan Bunyi Hukum Lenz Teknik Elektronika
teknikelektronika.com

Soal Fluks Magnetik Dan Pembahasan Ayo Sekolah Fisika
www.ayo-sekolahfisika.com

Bahan Bahan Magnetik Electro World
endahswardani.wordpress.com

Pengertian Dan Rumus Fluks Magnetik Dalam Fisika
rumusrumus.com

Gaya Gerak Listrik Rumus Pengertian Sumber Penerapan
thegorbalsla.com

Mulyonoabdullah S Blog Just Another Wordpress Com Weblog
mulyonoabdullah.wordpress.com

Ppt Induksi Elektromagnetik Powerpoint Presentation Free Download Id 3435310
www.slideserve.com

Fluks Listrik
www.slideshare.net

Blogpribadipradipta
blogpribadipradipta.wordpress.com

Hukum Lenz Pengertian Rumus Bunyi Dan Contoh Soal
moztrip.com

Contoh Induksi Elektromagnetik Hukum Rumus Penerapan
www.dosenpendidikan.co.id

Doc Kumpulan Soal Magnet Dan Elektromagnet Akzha Jumiati Academia Edu
www.academia.edu

Pengertian Fluks Magnetik Rumus Satuan Dan Contoh Blog Usaha321 Net
blog.usaha321.net

Mahez S Site
blog.ub.ac.id

Pengertian Medan Magnet Sifat Satuan Rumus Contoh Soal
www.gurupendidikan.co.id

Doc Jawaban Forum 1 Hukum Induksi Tegangan Faraday Syadia Fitri Liani Academia Edu
www.academia.edu

Pengantar Ke Kinematika
web.unhas.ac.id

Ppt Induksi Elektromagnetik Powerpoint Presentation Free Download Id 3435310
www.slideserve.com

Nwdgfuaefdkkum

Mulyonoabdullah S Blog Just Another Wordpress Com Weblog
mulyonoabdullah.wordpress.com

Hukum Faraday Mengenai Ggl Induksi Fisika Sekolah
www.fisikasekolah.com

Contoh Soal Fluks Magnet Ggl Induksi Dan Pembahasan Soalfismat Com
soalfismat.com

Rumus Dan Satuan Serta Dimensi Dari Fluks Magnetik Brainly Co Id
brainly.co.id

Pelajar Smpn 1 Gabuswetan
ivantrio6.blogspot.com

Materi Induksi Dan Arus Ac Docx Document
fdokumen.com

Sebuah Bangun Abcdefgh Adalah Sebuah Kubus Dengan Sisi 5cm Terletak Dalam Medan Magnet Dengan B Brainly Co Id
brainly.co.id

Pdf Bab Ii Persamaan Maxwell 2 1 Persamaan Maxwell I Hukum Faraday Lenz Jeremy Tambunan Academia Edu
www.academia.edu

Bisakah Kita Menciptakan Arus Listrik Dari Magnet Simak Di Sini
www.quipper.com

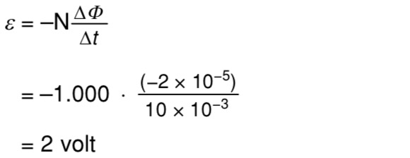
Sebuah Kumparan Memiliki Jumlah Lilitan 1 000 Mengalami Perubahan Fluks Magnetik Dari 3 Mas Dayat
www.masdayat.net

Https Encrypted Tbn0 Gstatic Com Images Q Tbn 3aand9gcsdghr5nxeqod9snpkkks6eeuesns9mp3hpnfyjqv1clqoxjlub Usqp Cau
encrypted-tbn0.gstatic.com

Fluks Magnetik Pengertian Rumus Contoh Soal
rumuspintar.com

Pengertian Induksi Elektromagnetik Hukum Faraday Hukum Lenz Gaya Gerak Listrik Induksi Ggl Rumus Contoh Soal Jawaban Praktikum Kumparan Medan Elektromagnetik Fisika
www.nafiun.com

Rumus Induksi Elektromagnetik
rumushitung.com

Fluks Magnetic Ggl Induksi Kawat Konduktor Rumus Dan Cara Menghitungnya
ardra.biz

Pinter Pandai Gudang Pengetahuan Pinterpandai
www.pinterpandai.com

Contoh Soal Dan Pembahasan Induksi Magnetik Guru Ilmu Sosial
www.ilmusosial.id

Suatu Kawat Melingkar Dengan Hambatan 6 Ohm Diletakkan Dalam Fluks Magnetik Yang Berubah Terhadap Brainly Co Id
brainly.co.id

Https Encrypted Tbn0 Gstatic Com Images Q Tbn 3aand9gcqpmszl1mozaxnhdwwdtwx2uo9bydh2vydofdhnuufruqz4sidh Usqp Cau
encrypted-tbn0.gstatic.com

Ppt Induksi Elektromagnetik Powerpoint Presentation Free Download Id 3435310
www.slideserve.com

Rangkaian Kopling Magnetik
studylibid.com

Fluks Magnetik Pengertian Rumus Fisika Sridianti Com
www.sridianti.com

Soal Grafik Fluks Magnetik Dan Ggl Induksi Pada Hukum Faraday Dan Pembahasan Ayo Sekolah Fisika
www.ayo-sekolahfisika.com

Contoh Soal Ggl Induksi Dan Rumus Gaya Gerak Listrik Lengkap Gambar Skema Rangkaian Elektronika
rangkaianelektronika.info

Kemagnetan Contoh Soal Fisika Smp Kelas 9 Youtube
www.youtube.com

Fluks Magnetik Wikipedia Bahasa Indonesia Ensiklopedia Bebas
id.wikipedia.org

Pengertian Dan Rumus Fluks Magnetik Dalam Fisika
rumusrumus.com

Fisika Dasar 2 Pertemuan 8 Kemagnetan Ppt Download
slideplayer.info

Pengertian Medan Magnet Sifat Satuan Rumus Contoh Soal
www.gurupendidikan.co.id

Contoh Induksi Elektromagnetik Hukum Rumus Penerapan
www.dosenpendidikan.co.id

Gaya Lorentz Induksi Medan Magnet Hukum Bio Savart Hukum Faraday
ardra.biz

Fisika Dasar 2 Pertemuan 8 Kemagnetan Ppt Download
slideplayer.info

Https Encrypted Tbn0 Gstatic Com Images Q Tbn 3aand9gcsi5wvvrd53jdr4 Oejrfrcnn8yog5slwp9izbqpklz3ib 9w0w Usqp Cau
encrypted-tbn0.gstatic.com

Menentukan Medan Listrik Menggunakan Hukum Gauss Gurumuda Net
gurumuda.net

Induksi Elektromagnetik Pengertian Dan Contohnya
ardra.biz

Contoh Soal Dan Pembahasan Induksi Magnetik Guru Ilmu Sosial
www.ilmusosial.id

30 Soal Medan Magnet Pilihan Ganda Dan Jawaban Pembahasan
soalkimia.com

Gelombang Elektromagnetik Contoh Soal Pembahasan
www.slideshare.net

Induksi Elektromagnetik Pengertian Rumus Hukum Contoh Penerapan
bacaboy.com

Pertemuan1
id.scribd.com

Pengertian Fluks Magnetik Rumus Satuan Dan Contoh Blog Usaha321 Net
blog.usaha321.net

Pengertian Fluks Magnetik Rumus Satuan Dan Contoh Blog Usaha321 Net
blog.usaha321.net

Rumus Arus Induksi Elektromagnetik Dan Contoh Soalnya
rumusrumus.com

Induksi Elektromagnetik Ppt Download
slideplayer.info

Hukum Ampere Dan Medan Magnetik
pt.slideshare.net

2

Pengertian Medan Magnet Sifat Satuan Rumus Contoh Soal
www.gurupendidikan.co.id

Hukum Lenz Pengertian Rumus Bunyi Konsep Dan Gambar
yuksinau.co.id

Soal Dan Jawaban Fisika Soal Dan Jawaban Induksi Elektromagnetik
soaldanjawabanfisika.blogspot.com

Bab 7 Induksi Elektromagnet Ppt Download
slideplayer.info

Rangkuman Contoh Soal Pembahasan Imbas Elektromagnetik
tanya-tanya.com

Makalah Fisika Magnet
www.slideshare.net

Contoh Induksi Elektromagnetik Hukum Rumus Penerapan
www.dosenpendidikan.co.id

Jawaban B Rumus Hukum Faraday
id.scribd.com

Rumus Fisika Sma Induksi Elektromagnetik
rumus-fisika-cepat.blogspot.com

Sebuah Solenoida Dengan Luas Penampang 3 Cm2 Panjang 120 Cm Berjumlah Lilitan 2000 Dan Solenoida Di Brainly Co Id
brainly.co.id

Pengantar Ke Kinematika
web.unhas.ac.id

Fluk Magnet Dan Kerapatan Fluk Magnet Teknik Listrik
kusumandarutp.blogspot.com

Induksi Elektromagnetik Ilmu Hitung
ilmuhitung.com

Induksi Elektromagnetik Ppt Download
slideplayer.info

1
encrypted-tbn0.gstatic.com

Learn Physics Together Belajar Fisika Bareng Fluks Magnetik Pada Solenoid
sohib-fisika.blogspot.com

Bisakah Kita Menciptakan Arus Listrik Dari Magnet Simak Di Sini
www.quipper.com

Soal Fluks Magnetik Dan Pembahasan Ayo Sekolah Fisika
www.ayo-sekolahfisika.com

Sebuah Kawat Melingkar Diletakkan Dalam Suatu Fluks Magnet Yang Berubah Terhadap Waktu Fluks Brainly Co Id
brainly.co.id

Pengendalian Suhu Ta151601021 Pengembangan Tungku Pemanas Induksi
ta151601021.wordpress.com

Hukum Faraday Mengenai Ggl Induksi Fisika Sekolah
www.fisikasekolah.com

Contoh Induksi Elektromagnetik Hukum Rumus Penerapan
www.dosenpendidikan.co.id

Rumus Rumus Untuk Ipho Versi 29 Januari Pdf Download Gratis
docplayer.info

Fluks Magnetik Pengertian Simbol Rumus Dan Satuan Hisham Id
hisham.id

Sebuah Cincin Kawat Yang Memiliki Hambatan 6 Ohm Melingkupi Fluks Magnet Yang Berubah Terhadap Brainly Co Id
brainly.co.id

Travo
id.scribd.com

Contoh Induksi Elektromagnetik Hukum Rumus Penerapan
www.dosenpendidikan.co.id

Hukum Faraday Dan Hukum Lenz Pada Ggl Induksi Myrightspot Com
www.myrightspot.com

close