Sangat Membantu

Rumus Frekuensi Dawai


Https Encrypted Tbn0 Gstatic Com Images Q Tbn 3aand9gcqdmk4sytajds2sxpafn1sbtdrcfzyc84hc8dc 41qo02zu4nmv Usqp Cau
encrypted-tbn0.gstatic.com

10 Menit Bisa Fisika Posts Facebook
www.facebook.com

Sumber Bunyi Sumber Bunyi Dawai Sumber Bunyi Kolom Udara
fisikazone.com

Siswa Tekun Belajar August 2019
siswatekunbelajar.blogspot.com

Greatedu
greatedu.co.id

Laporan Percobaan Melde Shifatimah
shifatimah.wordpress.com

Siswa Tekun Belajar Gelombang Stasioner Pada Dawai Senar
siswatekunbelajar.blogspot.com

Berikut Ini Ditampilkan Beberapa Contoh Soal Materi Gelombang Bunyi Dan Gelombang Mekanik Dibahas Di Kelas Xii
pdfslide.tips

Gelombang Stasioner Gelombang Berdiri Contoh Soal Un Gurumuda Net
gurumuda.net

Rumus Fisika Sedikit Ilmu Tentang Rumus Pendidikan
blog.ub.ac.id

Panjang Gelombang Cepat Rambat Gelombang A Frekuensi Nada Dasarnya Adalah 250 M S Pembahasan Pada Nada Atas Pertama Pipa Organa Terbuka Jumlah Simpulnya 2 Buah Sehingga Pipa
pdfslide.tips

Fisika 1 Fisika 1 Rumus Dimensi Momentum Adalah A
studylibid.com

Rumus Cepat Rambat Gelombang Dawai Guru Ilmu Sosial
www.ilmusosial.id

Doc Winda Winda Kharisma Academia Edu
www.academia.edu

Gelombang Bunyi Karakteristik Sifat Contoh Frekuensi
www.gurupendidikan.co.id

Soal Nomor Dawai
id.scribd.com

Pdf Aidia Propitious Kecepatan Partikel Percepatan Partikel Jayeng Andini Academia Edu
www.academia.edu

Sebuah Dawai Dengan Panjang 40 Cm Memiliki Massa 3 Gram Jika Dawai Tersebut Diberikan Gaya Brainly Co Id
brainly.co.id

2 Ppkm V2 3 Sri Jumini Pengaruh Cepat Rambat Gelombang Terhadap Frekuensi Pada Tali
studylibid.com

Persamaan Simpangan Gelombang Harmonik Berjalan Gurumuda Net
gurumuda.net

Cepat Rambat Bunyi Pada Dawai Ppt Download
slideplayer.info

Gelombang Berjalan Dan Stasioner Fisika Kelas 11 Quipper Blog
www.quipper.com

Sebuah Dawai Bergetar Dengan Frekuensi 300 Hz Pada Tingkat Nada Tertentu Pada Tingkat Nada Brainly Co Id
brainly.co.id

Nada Nada Pipa Organa Dan Dawai Contoh Soal Dan Pembahasannya
www.utakatikotak.com

Cepat Rambat Bunyi Klasifikasi Rumus Faktor Dan Contoh
www.dosenpendidikan.co.id

Bunyi Pba Pengembangan Bahan Ajar Fisika
jendeladunia209.wordpress.com

Disusun Oleh Kaharudin S Pd Smp Negeri 4 Randudongkal Ppt Download
slideplayer.info

Infis Materi Resonansi
dokumen.tips

Frekuensi Resonansi Pada Senar Dengan Panjang Tetap Selalu Bertambah Dengan Bertambahnya Besaran Mas Dayat
www.masdayat.net

Fisikastudycenter Docx Pdf Document
fdokumen.com

Gelombang Berjalan Contoh Soal Un Gurumuda Net
gurumuda.net

Nada Pada Dawai Dan Pipa Organa
id.scribd.com

Pdf Kumpulan Soal Fisika Kelas Xii Iyoes Tobing Academia Edu
www.academia.edu

Rangkuman Contoh Soal Pembahasan Gelombang Bunyi
tanya-tanya.com

Miftahul Famri Iqbal Dawai Pipa Organa Efek Doppler 1
www.slideshare.net

Pola Gelombang Bunyi Pada Dawai Dan Pipa Organa Myrightspot Com
www.myrightspot.com

Dawai Piano Yang Panjangnya 0
id.scribd.com

Sumber Resonansi Bunyi Pipa Organa Terbuka Dan Tertutup Contoh Soal Jawaban Rumus Fisika Frekuensi Panjang Gelombang Getaran Harmoni
www.nafiun.com

Contoh Soal Pipa Organa Dan Penyelesaiannya Soalfismat Com
soalfismat.com

About Physics Kelas Xii Gelombang Bunyi Pada Dawai Dan Pipa Organa
annisadk-fisika.blogspot.com

Fisika Lintas Minat Xi Ips Gelombang Bunyi Sumber Bunyi Dan Efek Doopler
www.sma1banda.sch.id

Soal Dan Pembahasan Gelombang Bunyi Fisika Pak Salim
www.fisika.idsalim.com

Sumber Bunyi Dawai Senar
rumushitung.com

Laporan Fisika4 Doc Doc Document
fdokumen.com

Gelombang Berjalan Dan Stasioner Fisika Kelas 11 Quipper Blog
www.quipper.com

Sumber Bunyi Dawai Senar
rumushitung.com

Jujuelok Contoh Soal Dan Jawaban Serta Pembahasan Un Fisika Sma
jujuelok.blogspot.com

Gelombang Bunyi Pengertian Sifat Karakteristik Taraf Intensitas Rumus Contoh
pastiguna.com

Gelombang Mekanik Rumus Pdf Free Download
docplayer.info

2 Buah Dawai Baja Yang Identik Mempunyai Nada Dasar Dengan Frekuensi 400 Hz Bila Tegangan Salah Brainly Co Id
brainly.co.id

Penjelasan Hukum Mersenne Brainly Co Id
brainly.co.id

2

Inilah Rumus Tegangan Dawai Dan Contoh Soalnya
rumusrumus.com

2

Fisika Lintas Minat Xi Ips Gelombang Bunyi Sumber Bunyi Dan Efek Doopler
www.sma1banda.sch.id

Https Encrypted Tbn0 Gstatic Com Images Q Tbn 3aand9gcsyn Ahl9vy2ajppy3n09qmucxotoy Ggc9b Wdb70s4tizya0w Usqp Cau
encrypted-tbn0.gstatic.com

Contoh Soal Dawai Dan Penyelesaiannya Soalfismat Com
soalfismat.com

Bahan Ajar Fisika Gelombang Pada Dawai
www.slideshare.net

Apa Itu Dawai
id.scribd.com

Soal Fisika Ttng Glombang Bunyi
dokumen.tips

Gelombang Bunyi Pada Dawai
id.scribd.com

Gelombang Mekanik
www.slideshare.net

Gelombang Bunyi Materi Fisika Lengkap
www.utakatikotak.com

Rumus Cepat Rambat Gelombang Pada Dawai Guru Ilmu Sosial
www.ilmusosial.id

109400454 Soal Dan Pembahasan Bunyi 1 Docx Soal Dan Pembahasan Bunyi Posted On November 7 2010 Filed Under Contoh Soal Berikut Ini Ditampilkan Course Hero
www.coursehero.com

Gelombang Bunyi
yoskin.wordpress.com

Gelombang Bunyi Ppt Download
slideplayer.info

Sumber Bunyi Dawai Senar
rumushitung.com

Frekuensi Nada Sumber Bunyi Pada Senar Atau Dawai Kelas 11 Youtube
www.youtube.com

Rumus Cepat Rambat Bunyi Pada Dawai Guru Ilmu Sosial
www.ilmusosial.id

Pembahasan Contoh Soal Fisika Cepat Rambat Gelombang Dawai Youtube
www.youtube.com

Rumus Resonansi Pengertian Rumus Dan Contohnya
passinggrade.co.id

Pdf Kecenderungan Over Generalize Penggunaan Prinsip Kolom Udara Pipa Organa Dalam Analisis Frekuensi Sumber Bunyi
www.researchgate.net

Kalkulator Frekuensi Dawai Soalfismat Com
soalfismat.com

Yang Pinter Mainkan Alat Musik Seabiknya Pinter Menghitung Frekuensi Nada Yang Dihasilkan Frekuensi Youtube
www.youtube.com

10 Menit Bisa Fisika Posts Facebook
www.facebook.com

Gelombang Bunyi Pengertian Ciri Ciri Rumus Cepat Rambat
rumusrumus.com

Pembahasan Soal Gelombang Bunyi Dawai Gurumuda Net
gurumuda.net

Sumber Bunyi Dawai Senar
rumushitung.com

Gelombang Mekanik Transversal Longitudinal Ppt Download
slideplayer.info

Print Soal Dawai Fisika
id.scribd.com

10 Tali Panjangnya 2 5 M Massa 5 Gram Ditegangkan Kemudian Digetarkan Jika Terdengar Nada Dasar Brainly Co Id
brainly.co.id

Dasar Teori Pdf Document
fdokumen.com

Pengertian Bunyi Dan Cara Menghitung Bunyi P2kk9872 Studocu
www.studocu.com

Blog Pembelajaran Fisika Dawai Dan Pipa Organa
tatasuharta.mapel.xyz

Gelombang Mekanik Rumus Pdf Free Download
docplayer.info

Belajar Fisika Bersama Asepthea Gelombang Bunyi
cepitem.blogspot.com

Bab Vi Getaran Gelombang Dan Bunyi
www.slideshare.net

Diktat Fisika 12 Bunyi
www.slideshare.net

Cepat Rambat Bunyi Pengertian Rumus Faktor Dan Contoh
ayoksinau.teknosentrik.com

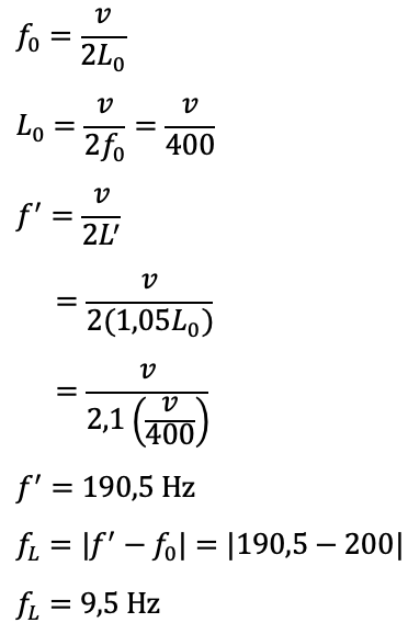
Dua Dawai Baja Sejenis Memberikan Nada Dasar 200 Hz Jika Panjang Salah Satu Dawai Ditambah 5 Mas Dayat
www.masdayat.net

86644010 45248243 Soal Dan Pembahasan Doc Soal Dan Pembahasan Kelas Smt Xii Ipa 1 Materi Gelombang Bunyi Soal 1 Gelombang Stasioner Pada Kawat The Course Hero
www.coursehero.com

Cepat Rambat Gelombang Bunyi Transversal Dawai Zat Padat Cair Dan Gas Rumus Fisika Contoh Soal Jawaban
www.nafiun.com

Gelombang Bunyi Karakteristik Taraf Intensitas Sumber Contoh Soal
www.studiobelajar.com

Gelombang Stasioner
www.slideshare.net

Rumus Cepat Rambat Gelombang Bunyi Pada Dawai Guru Ilmu Sosial
www.ilmusosial.id

Rumus Cepat Rambat Dawai Guru Ilmu Sosial
www.ilmusosial.id

Pdf Bab 12 Bunyi Tiwi Wulandari Academia Edu
www.academia.edu

Https Encrypted Tbn0 Gstatic Com Images Q Tbn 3aand9gcrb Cezs3ouciwy8tmswl17sdqh R4xgp0ngpxwxlxysjzgibjd Usqp Cau
encrypted-tbn0.gstatic.com

10 Menit Bisa Fisika Posts Facebook
www.facebook.com

Https Encrypted Tbn0 Gstatic Com Images Q Tbn 3aand9gct1tuiuulrnj9tsqf E Zfgockl4p6fm9ubgudali6go Mkpkdk Usqp Cau
encrypted-tbn0.gstatic.com

Diktat Fisika 12 Bunyi
www.slideshare.net

About Physics Kelas Xii Gelombang Bunyi Pada Dawai Dan Pipa Organa
annisadk-fisika.blogspot.com

Percobaan Melde
sumberbelajar.belajar.kemdikbud.go.id

close