Sangat Membantu

Rumus Fungsi Eksponensial


Kumpulan Rumus Lengkap Sma Fungsi Eksponen Bentuk Akar
hernakuncoro.blogspot.com

Fungsi Eksponen Dan Logaritma Matematika Is Fun
zahwas.wordpress.com

Https Encrypted Tbn0 Gstatic Com Images Q Tbn 3aand9gctnqxoq Xa8lqhw7ysvbknryic0bdd Yfdyaxp5kf Ynsia2dh6 Usqp Cau
encrypted-tbn0.gstatic.com

Eksponensial Pengertian Bentuk Dan Sifat
tambahpinter.com

Kumpulan Soal Eksponen Guru Ilmu Sosial
www.ilmusosial.id

1 Fungsi Trigonometri Fungsi Eksponen
studylibid.com

Persamaan Pertidaksamaan Eksponen Pengertian Rumus Soal
bacaboy.com

Fungsi Eksponensial Fungsi Logaritma Ppt Download
slideplayer.info

Fungsi Eksponensial Lengkap Pengertian Bentuk Persamaan
materibelajar.co.id

Eksponen Pengertian Fungsi Persamaan Pertidaksamaan Cergaz Com
www.cergaz.com

Kumpulan Soal Persamaan Eksponen Dan Sistem Persamaan Eksponen
istanamatematika.com

Definisi Fungsi Eksponensial
studylibid.com

Bilangan Eksponen Sifat Jenis Contoh Eksponen
www.yuksinau.id

Materi Lengkap Fungsi Eksponen Dan Logaritma
www.utakatikotak.com

Rumus Rumus Kelas X Rumus Eksponen Dan Contohnya
mputrajsani.blogspot.com

Integral Fungsi Eksponen Dan Logaritma Materi Lengkap Matematika
www.materimatematika.com

Fungsi Eksponensial Dan Grafiknya Pendidikan Matematika Laman 2
yos3prens.wordpress.com

Belajar Matematika Online Turunan Fungsi Eksponensial
soulmath4u.blogspot.com

Bab 2 Logarithms Matematika Kimia
sites.google.com

Contoh Soal Integral Fungsi Logaritma Guru Ilmu Sosial
www.ilmusosial.id

Matdas Bab 8 M Gugun
gugunawan.wordpress.com

Fungsi Eksponensial Wikipedia Bahasa Indonesia Ensiklopedia Bebas
id.wikipedia.org

Https Smanika Sumbawabesar Sch Id Download Php File 8qfmv6 20matematika 20peminatan Fungsi 20eksponensial X Pdf

Fungsi Eksponen Bentuk Umum Serta Kegunaan
www.mahirmatematika.com

Ppt Bab 7 Eksponen Dan Logaritma Powerpoint Presentation Free Download Id 5519004
www.slideserve.com

Matdas Bab 8 M Gugun
gugunawan.wordpress.com

Himpunan Penyelesaian Persamaan Pangkat Eksponen F X H X G X H X Pangkat Sama Youtube
www.youtube.com

1
encrypted-tbn0.gstatic.com

Materi Lengkap Fungsi Eksponen Dan Logaritma Rumus Matematika
rumus-matematika.com

Grafik Fungsi Eksponen Dan Logaritma Konsep Matematika Koma
www.konsep-matematika.com

Menyederhanakan Bentuk Eksponen
maths.id

Definisi Fungsi Eksponensial
id.scribd.com

Fungsi Eksponen Grafik Contoh Dan Persamaanya
passinggrade.co.id

Contoh Soal Bentuk Akar Eksponen Logaritma Dan Pengertiannya Dosenpintar
dosenpintar.com

Integral Fungsi Eksponen Dan Logaritma Materi Lengkap Matematika
www.materimatematika.com

Rumus Matematika Fungsi Eksponen Dan Logaritma Sma Kelas 12
id.scribd.com

Bilangan Eksponen Pengertian Sifat Fungsi Rumus Contoh
rumusbilangan.com

Contoh Soal Fungsi Eksponensial Pilihan Ganda Pembahasan
soalkimia.com

Cara Menggambar Grafik Fungsi Eksponen Idschool
idschool.net

Fungsi Eksponen Dan Akar Pangkat
pt.slideshare.net

Materi Ajar Eksponensial
www.slideshare.net

Eksponen In Rumus Matematika Scoop It
www.scoop.it

Fungsi Eksponen
maths.id

Eksponensial Pengertian Bentuk Dan Sifat
tambahpinter.com

Modul Matematika Sma Ma Bentuk Pangkat Akar Dan Logaritma Flip Book Pages 1 14 Pubhtml5
pubhtml5.com

1
encrypted-tbn0.gstatic.com

Fungsi In Rumus Matematika Scoop It
www.scoop.it

Kumpulan Rumus Lengkap Sma Eksponen
hernakuncoro.blogspot.com

Fungsi Eksponen
maths.id

Rumus Dasar Integral Fungsi Eksponen
www.scribd.com

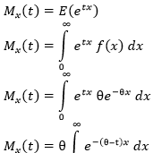
Mgf Distribusi Eksponensial
www.rumusstatistik.com

Fungsi Eksponen Nico For Math
elnicovengeance.wordpress.com

Fungsi Eksponensial Matematika Peminatan Kelas X M4th Lab
www.m4th-lab.net

Soal Dan Pembahasan Fungsi Eksponen Pangkat Mathcyber1997
mathcyber1997.com

Eksponen Muhammad Ardiansyah Academia Edu
www.academia.edu

Rumus Bilangan Eksponensial Muhsinbudiono
muhsinbudiono.com

Persamaan Eksponen Pengertian Rumus Sifat Contoh Soal
rumus.co.id

Fungsi Eksponen Dan Logaritma Rumushitung Com
rumushitung.com

Contoh Soal Pertidaksamaan Eksponensial Blog Pendidikan
ruangguru-392.blogspot.com

Menentukan Fungsi Eksponen Dari Grafiknya Konsep Matematika Koma
www.konsep-matematika.com

Matematika Fungsi Eksponen
www.slideshare.net

Eksponen Matematika Matematika Kelas 10 Quipper Blog
www.quipper.com

Mcmpjeo8sm3vdm

Contoh Soal Dan Pembahasan Grafik Fungsi Eksponen Dan Logaritma Guru Ilmu Sosial
www.ilmusosial.id

Persamaan Eksponen
studylibid.com

Eksponen Matematika Matematika Kelas 10 Quipper Blog
www.quipper.com

Fungsi Eksponen Dan Logaritma Rumushitung Com
rumushitung.com

Matematika Sma Kelas X Xi 12 Grafik Fungsi Eksponen Youtube
m.youtube.com

Diferensial Fungsi Eksponensial Dan Logaritma
id.scribd.com

Rumus Ekspresi Eksponensial Multiplikasi Angka Pemecahan Masalah Matematika Tulisan Tangan Biru Sudut Teks Png Pngwing
www.pngwing.com

Https Encrypted Tbn0 Gstatic Com Images Q Tbn 3aand9gcqjyitwvhero 2whmp0o4ocgbup9bqkylzziqeof0navwk7apfn Usqp Cau
encrypted-tbn0.gstatic.com

Sifat Sifat Fungsi Eksponen Tarokutu Com Ru
www.scoop.it

Aplikasi Fungsi Eksponen
www.slideshare.net

Ada Yang Tau Rumus Eksponen Brainly Co Id
brainly.co.id

Rumus Euler Wikipedia Bahasa Indonesia Ensiklopedia Bebas
id.wikipedia.org

Contoh Soal Dan Pembahasan Persamaan Eksponen
www.sheetmath.com

Tentukan Rumus F X Dari Grafik Fungsi Eksponen Berikut Brainly Co Id
brainly.co.id

Materi Fungsi Eksponen Dan Logaritma Matematika Lengkap
rumusrumus.com

Persamaan Logaritma Rumus Sifat Fungsi Dan Contoh Soal
www.gurupendidikan.co.id

Aplikasi Fungsi Eksponen
www.slideshare.net

Agenda 1 Aturan Rantai 2 Turunan Orde Tinggi 3 Turunan Fungsi Logaritma 4 Turunan Fungsi Eksponen 5 Turunan Fungsi Implisit Ppt Download
slideplayer.info

Http Www Man2kediri Sch Id Wp Content Uploads 2019 01 Matematika X Peminatan Pdf

Bilangan Eksponen Pengertian Fungsi Sifat Rumus Dan Contoh Soal
quipper.co.id

Pemodelan Eksponensial Dan Logaritma
www.utakatikotak.com

Tentukan Persamaan Grafik Fungsi Eksponen Pada Gambar Diatas Brainly Co Id
brainly.co.id

Fungsi Eksponensial Logaritma Invers Ppt Download
slideplayer.info

Persamaan Eksponen Rumus Contoh Soal Dan Pembahasan Pengertian
bpengertian.blogspot.com

Fungsi Eksponen Dan Logaritma Rumushitung Com
rumushitung.com

Lks Sma Mat X
www.yumpu.com

Doc Fungsi Eksponensial Arifianti Imaniah Academia Edu
www.academia.edu

Contoh Soal Dan Pembahasan Fungsi Eksponen Marthamatika
www.marthamatika.com

Fungsi Eksponensial Fungsi Logaritma Ppt Download
slideplayer.info

Invers Fungsi Eksponen Dan Logaritma Konsep Matematika Koma
www.konsep-matematika.com

Fungsi Eksponen Materi Lengkap Matematika
www.materimatematika.com

Fungsi Dan Sifat Logaritma Docx Document
fdokumen.com

Eksponen Matematika Sma
rumushitung.com

Cara Menggambar Grafik Fungsi Eksponen Idschool
idschool.net

Bjhqqhpfyrcham

Logaritma Adalah Pengertian Sifat Rumus Persamaan Contoh
www.dosenpendidikan.co.id

Eksponen Pengertian Sifat Fungsi Rumus Dan Contohnya Lengkap Tutorialbahasainggris Co Id
tutorialbahasainggris.co.id

Soal Dan Pembahasan Integral Dasar Fungsi Eksponensial 1 5 Istana Mengajar
istanamengajar.wordpress.com

Fungsi Eksponen Grafik Contoh Dan Persamaanya
passinggrade.co.id

Fungsi Eksponensial Grafik Fungsi Eksponensial Polinomial Rumus Matematika Sudut Teks Png Pngegg
www.pngegg.com

Derivatif Turunan Materi Matbis Ppt Download
slideplayer.info

close