Sangat Membantu

Rumus Glbb Dipercepat


Contoh Soal Glbb Kumpulan Soal Pelajaran 3
kumpulansoal-113.blogspot.com

Gerak Lurus Dipercepat Beraturan
www.slideshare.net

Rumus Glbb Pengertian Contoh Glbb Grafik Glbb Glbb Dipercepat Dan Diperlambat
www.biomagz.com

1
encrypted-tbn0.gstatic.com

Contoh Soal Dan Jawaban Gerak Lurus Berubah Beraturan Siswapedia
www.siswapedia.com

Gerak Lurus Berubah Beraturan Glbb Fisika Kelas 10 Quipper Blog
www.quipper.com

K99 Veh4ih09zm

Kumpulan Rumus Fisika Smp Lengkap Dengan Keterangannya
www.utakatikotak.com

Gerak Lurus
www.slideshare.net

Materi Gerak Lurus Beraturan Dan Gerak Lurus Berubah Beraturan Disertai Contoh Soalnya Materi Kimia
materikimia.com

Contoh Soal Glbb 2020 Vertikal Kebawah Dan Keatas
rumus.co.id

Kene 66 Rumus Gerak Lurus Berubah Beraturan Glbb Dan Contoh Soal
fauzikene.blogspot.com

Contoh Soal Glb Dan Glbb Serta Pembahasan Guru Ilmu Sosial
www.ilmusosial.id

Rumus Gerak Lurus Berubah Beraturan Glbb Pengertian Contoh Dan Macamnya
passinggrade.co.id

Contoh Soal Gerak Lurus Beraturan Glb Rumus Dan Penjelasannya
passinggrade.co.id

1
encrypted-tbn0.gstatic.com

Pengertian Gerak Lurus Ciri Jenis Rumus Dan Contohnya
pendidikan.co.id

Gerak Lurus Berubah Beraturan Glbb Dokter Fisika
dokterfisika.blogspot.com

Media Belajar Online Gerak Lurus Berubah Beraturan Glbb
mediabelajaronline.blogspot.com

Mengetahui Konsep Gerak Lurus
blog.ruangguru.com

Lengkap Rumus Grafik Hingga Contoh Gerak Lurus Berubah Beraturan
cerdika.com

Gerak Jatuh Bebas Pengertian Rumus Dan Contoh Soal
rumus.co.id

Glbb Diperlambat
www.slideshare.net

Contoh Soal Gerak Lurus Beraturan Glb Rumus Dan Penjelasannya
passinggrade.co.id

Grafik Gerak Lurus Berubah Beraturan Glbb
rumushitung.com

Konsep Dan Rumus Gerak Lurus Pada Ilmu Fisika Blog Teknisi
blogteknisi.com

Gerak Lurus Berubah Beraturan Kinematika
kinematika.weebly.com

Gerak Lurus Berubah Beraturan Pengertian Rumus Komponen Contoh
blog.edukasystem.com

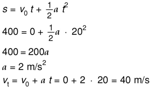
Sebuah Pesawat Terbang Memerlukan Waktu 20 S Dan Jarak 400 M Untuk Lepas Landas Jika Pesawat Mas Dayat
www.masdayat.net

Gerak Kedudukan Dan Perpindahan Kelajuan Dan Kecepatan Gerak Lurus Beraturan Glb Gerak Lurus Berubah Beraturan Glbb
www.aanwijzing.com

Pengertian Glbb Gerak Lurus Berubah Beraturan Dan Contoh Soalnya
www.sumberpengertian.id

Gerak Lurus Berubah Beraturan Glbb
jegeristik.blogspot.com

Modul Rumus Soal Gerak Lurus Wardaya College
www.wardayacollege.com

Glbb Diperlambat
pt.slideshare.net

Lengkap Rumus Grafik Hingga Contoh Gerak Lurus Berubah Beraturan
cerdika.com

Ipa Edukasi Menghitung Kecepatan Akhir Vt Pada Gerak Lurus Berubah Beraturan Glbb
ipaedukasi-supena.blogspot.com

Berpendidikan Pengertian Gerak Lurus Berubah Beraturan Glbb Dan Contohnya
id.scribd.com

Glb Glbb Gerak Lurus
studylibid.com

Soal Dan Pembahasan Gerak Lurus Berubah Beraturan Docx
id.scribd.com

15 Soal Glb Dan Glbb Dalam Bentuk Grafik Pembahasan
soalkimia.com

Fisika Kelas 10 Apa Perbedaan Glb Dan Glbb
blog.ruangguru.com

Gerak Lurus Berubah Beraturan Glbb Modul Fisika Sma Kelas X
lksfisika2015.wordpress.com

Cara Menghitung Jarak Kecepatan Dan Percepatan Dari Grafik Glb Glbb Fisikabc
www.fisikabc.com

Contoh Soal Dan Jawaban Glbb Dipercepat Contohsoal Net
contohsoal.net

Glbb Diperlambat
www.slideshare.net

Pembuktian Rumus Gerak Lurus Berubah Beraturan Glbb Dalam Fisika Master Matematika Fisika
mastermatfis.blogspot.com

Soal Dan Pembahasan Glbb Dan Glb
pdfslide.tips

Grafik Berikut Menunjukkan Hubungan Kecepatan V Terhadap Waktu T Suatu Benda Yang Sedang Brainly Co Id
brainly.co.id

Rumus Glbb Gerak Lurus Berubah Beraturan Contoh Soal
rumus.co.id

Contoh Soal Dan Pembahasan Gerak Lurus Berubah Beraturan Glbb
www.materikelasipa.net

Glbb Diperlambat
www.slideshare.net

Pengertian Rumus Dan Contoh Soal Gerak Lurus Berubah Beraturan Glbb Dalam Kehidupan Sehari Hari Berpendidikan Com
www.berpendidikan.com

Blog Feed Santri Ndagel
santrindagel.school.blog

Kelas10 Smk Fisika Smk Teknologi Endarko By Tanzil Al Aziz Issuu
issuu.com

Rumus Gerak Lurus Berubah Beraturan Glbb Pengertian Contoh Dan Macamnya
passinggrade.co.id

Gerak Lurus Berubah Beraturan Glbb Fisika Kelas 10 Quipper Blog
www.quipper.com

Lengkap Rumus Grafik Hingga Contoh Gerak Lurus Berubah Beraturan
cerdika.com

Lengkap Rumus Grafik Hingga Contoh Gerak Lurus Berubah Beraturan
cerdika.com

Gerak Lurus Berubah Beraturan Glbb Rumus Soal
rumuspintar.com

Gerak Lurus Berubah Beraturan Pengertian Rumus Dipercepat Diperlambat
bacaboy.com

Seorang Siswa Melakukan Percobaan Gerak 2 Benda Sebanyak Tiga Kali Seperti Tabel Diatas Jenis Brainly Co Id
brainly.co.id

Contoh Soal Glbb Dan Pembahasannya Jawaban Soalfismat Com
soalfismat.com

Pengertian Gerak Lurus Berubah Beraturan Glbb Dan Contohnya Berpendidikan Com
www.berpendidikan.com

Latihan Soal Grafik Hubungan V Dan T Pada Glb Dan Glbb Fisika Dan Matematika
fismath.com

Gerak Lurus Berubah Beraturan Glbb Lentera Ilmu
leoneyrha.wordpress.com

Soal Dan Pembahasan Glbb Doc Soal Dan Pembahasan Glbb Dan Glb Posted On November 7 2010 Filed Under Contoh Soal Contoh Soal Dan Pembahasan Tentang Course Hero
www.coursehero.com

Rumus Glbb Dipercepat Dan Diperlambat Brainly Co Id
brainly.co.id

Pembahasan Soal Gerak Lurus Gurumuda Net
gurumuda.net

Gerak Lurus Berubah Beraturan Kinematika
kinematika.weebly.com

Glbb Diperlambat
www.slideshare.net

Pengertian Rumus Glbb Gerak Lurus Berubah Beraturan Contohnya
rumusrumus.com

2

Contoh Soal Gerak Vertikal Ke Atas Gurumuda Net
gurumuda.net

Glbb Gerak Jatuh Bebas Gerak Vertikal Ke Atas Rumus Contoh Soal
www.studiobelajar.com

Gerak Lurus Berubah Beraturan Glbb Rumus Dan Contoh Soal
ilmubelajar.com

Https Encrypted Tbn0 Gstatic Com Images Q Tbn 3aand9gcqqrhdkrxv7wlkel5ntenlqnvymverzfhasib3klbsiwjxprsce Usqp Cau
encrypted-tbn0.gstatic.com

Tulislah Persamaan Gerak Lurus Berubah Beraturan Glbb Brainly Co Id
brainly.co.id

Blog Belajar Ipa Smp Gerak Lurus Berubah Beraturan Glbb
semi-yanto.blogspot.com

Glbb Docx
id.scribd.com

Pengertian Ciri Dan Rumus Gerak Lurus Berubah Beraturan Glbb Secara Lengkap
www.gurupendidikan.co.id

Modul Rumus Soal Gerak Lurus Berubah Beraturan Wardaya College
www.wardayacollege.com

Gerak Lurus Berubah Beraturan Definisi Ciri Jenis Rumus Grafik Contoh Soal Dan Pembahasan Fisikabc
www.fisikabc.com

Glbb Gerak Lurus Berubah Beraturan Selamat Datang Di Blog Dessy Roseanawati
dessytarunaputri.wordpress.com

4 Perbedaan Glb Dan Glbb Materi Terlengkap
cerdika.com

Soal Gerak Lurus Berubah Beraturan
id.scribd.com

Gerak Lurus Berubah Beraturan Kinematika
kinematika.weebly.com

Doc Gerak Lurus Basry Tang Academia Edu
www.academia.edu

Rumus Rumus Fisika Lengkap Gerak
id.scribd.com

Glbb Gerak Jatuh Bebas Gerak Vertikal Ke Atas Rumus Contoh Soal
www.studiobelajar.com

Https Sisfo Itp Ac Id Bahanajar Bahanajar Asnal Fisika Bab 205 20glb 20dan 20glbb Pdf

Gerak Lurus Berubah Beraturan Glbb Lengkap Dengan Rumus Dan Contoh Pelajaran Sekolah Online
www.pelajaran.co.id

Doc Literatur Glb Glbb Hk Newton Deesii Anggraini Academia Edu
www.academia.edu

Pengertian Glbb Dan Contoh Soalnya Lengkap
rumusbilangan.com

Gerak Lurus Berubah Beraturan Glbb Fisika Kelas 10 Quipper Blog
www.quipper.com

K99 Veh4ih09zm

Pengertian Rumus Dan Contoh Soal Gerak Lurus Berubah Beraturan Glbb Dalam Kehidupan Sehari Hari Info Pelajaran
www.infopelajaran.com

Pdf Artikel Glb Dan Glbb2 Copy Copy Aliefian El Islamy Academia Edu
www.academia.edu

Gerak Fisika Smp Rumushitung Com
rumushitung.com

Ppt Materi Gerak Lurus Kelas X
www.slideshare.net

Https Lib Unnes Ac Id 37011 1 5302415018 Optimized Pdf

Gerak Peluru Atau Parabola Docx
dokumen.tips

Thqmbwspu8 Mdm

Rumus Gerak Lurus Berubah Beraturan Glbb Dan Contohnya
passinggrade.co.id

1
encrypted-tbn0.gstatic.com

close