Sangat Membantu

Rumus Hambatan Jenis Pada Kawat Penghantar


Pdf 35 Listrik 4 Hukum Ohm Wildan Rahman Academia Edu
www.academia.edu

Cara Menghitung Hambatan Jenis Suatu Penghantar
mafia.mafiaol.com

Diketahui Sebuah Kawat Pengahntar Memiliki Panjang 100 M Luas Penampang 2 5 Mm2 Mas Dayat
www.masdayat.net

Pengaruh Panjang Kabel Dan Diameter Kabel Terhadap Tahanan Listrik Teknik Otomotif Com
www.teknik-otomotif.com

Daya Hantar Listrik Edukasikini Com
www.edukasikini.com

Contoh Soal Hambatan Listrik Lengkap Dengan Materi Dan Pembahasannya Gammafis Blog
www.gammafisblog.com

Pengertian Nilai Simbol Rumus Hingga Contoh Soal Hambatan Listrik
cerdika.com

Panjang Suatu Kawat Penghantar Adalah 150 Meter Dengan Luas Penampang 5 10m Jika Besar Hambatan Brainly Co Id
brainly.co.id

Contoh Soal Hambatan Kawat Penghantar Pengertian
hpengertian.blogspot.com

Pengertian Nilai Simbol Rumus Hingga Contoh Soal Hambatan Listrik
cerdika.com

Arus Dan Hambatan Ppt Download
slideplayer.info

Ipa4 4 Hambatan Kawat Youtube
www.youtube.com

Hambatan Penghantar Fisika Sma
fisikasma.xyz

Contoh Soal Hambatan Listrik Lengkap Dengan Materi Dan Pembahasannya Gammafis Blog
www.gammafisblog.com

Contoh Soal Hambatan Listrik Lengkap Dengan Materi Dan Pembahasannya Gammafis Blog
www.gammafisblog.com

Contoh Soal Kuat Arus Listrik Rumus Kuat Satuan Hambatan Anak Sma
marketmedan.com

Hambatan Pada Kawat Penghantar Guru Goo Blog
gurugooblog.blogspot.com

Besaran Listrik Arimustofa
arimustofa.wordpress.com

Hambatan Kawat Penghantar Dan Rangkaian Hambatan Merlina900301 S Blog
merlina900301.wordpress.com

Contoh Soal Hambatan Listrik Gurumuda Net
gurumuda.net

Hambatan Pada Suatu Kawat Penghantar Sch Paperplane
sch.paperplane-tm.site

Hambatan Penghantar Fisika Sma
fisikasma.xyz

Hambatan Listrik Dan Hambatan Jenis Bahan Penghantar Listrik
fisikazone.com

Rumus Daya Listrik Pengertian Hambatan Tetangan Dan Contoh
www.dosenpendidikan.co.id

Pengertian Listrik Dinamis Beserta Rumus Dan Contoh Soal Listrik Dinamis Pustakapengetahuan Com
www.pustakapengetahuan.com

Hambatan Listrik Jenis Hambatan Dan Mengukur Hambatan Kawat Penghantar Bacajuga Com
bacajuga.com

Bab 2 Listrik Dinamis Pdf Document
fdokumen.com

Faktor Yang Mempengaruhi Besar Kecilnya Hambatan Pada Kawat Penghantar
babab.net

Bab Viii Listrik Dinamis
studylibid.com

Rumus Hambatan Kawat Penghantar Arus Listrik Idschool
idschool.net

Rumus Hambatan Kawat Penghantar Arus Listrik Idschool
idschool.net

Rumus Hambatan Kawat Penghantar Arus Listrik Idschool
idschool.net

Listrik Dinamis Pengertian Makalah Rumus Contoh Manfaat
www.dosenpendidikan.co.id

Hukum Ohm Pengertian Bunyi Teori Rumus Dan Contoh Soal
www.gurupendidikan.co.id

Daya Hantar Listrik
mafia.mafiaol.com

Rangkaian Arus Searah
sumberbelajar.belajar.kemdikbud.go.id

Cara Menghitung Besar Hambatan Listrik Dengan Hukum Ohm Myrightspot Com
www.myrightspot.com

Menghitung Nilai Tahanan Resistansi Dan Resistivitas
abi-blog.com

Rumus Hambatan Kawat Penghantar Arus Listrik Idschool
idschool.net

Listrik Dinamis Pengertian Rumus Contoh Soal Gambar
pengajar.co.id

Https Repository Usd Ac Id 23580 2 031424001 Full Pdf

Soal Dan Pembahasan Listrik Dinamis Guru Ilmu Sosial
www.ilmusosial.id

Cara Menghitung Hambatan Jenis Suatu Penghantar
id.scribd.com

Rumus Hambatan Kawat Penghantar Arus Listrik
www.utakatikotak.com

Doc Kawat Penghantar Bekti Nur Adha Academia Edu
www.academia.edu

Pengertian Dan Cara Menghitung Hambatan Jenis Suatu Penghantar Teknik Otomotif Com
www.teknik-otomotif.com

Bab 1 Rangkaian Arus Searah Fisika Kelas Xii Erlangga Kurtilas Solusiwiki
solusiwiki.com

Dunia Ipa Hambatan Kawat
blogduniaipa.blogspot.com

Hukum Ohm
www.slideshare.net

Hukum Ohm Pengertian Bunyi Penerapan Rumus Contoh Soal
seputarilmu.com

Bbm 11 Listrik Dinamis Pendahuluan Pdf Free Download
docplayer.info

Hambatan Jenis
id.scribd.com

Listrik Statis Adalah Pengertian Rangkaian Rumus Dan Jenisnya
passinggrade.co.id

Pengertian Dan Cara Menghitung Hambatan Jenis Suatu Penghantar Beserta Contoh Soal Terlengkap Pelajaran Sekolah Online
www.pelajaran.co.id

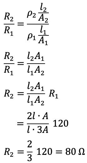
Sebuah Kawat Penghantar Memiliki Panjang L Luas Penampang A Dan Hambatan Sebesar 120 W Mas Dayat
www.masdayat.net

Cara Menghitung Hambatan Jenis Suatu Penghantar
id.scribd.com

35 Perhitungan Hambatan Jenis Youtube
www.youtube.com

Ppt Listrik Arus Searah Powerpoint Presentation Free Download Id 4714580
www.slideserve.com

Hukum Ohm Pengertian Bunyi Teori Rumus Dan Contoh Soal
www.gurupendidikan.co.id

Hambatan Listrik Pada Kawat Penghantar Teknik Listrik
kusumandarutp.blogspot.com

Faktor Yang Mempengaruhi Besar Kecilnya Hambatan Pada Kawat Penghantar
babab.net

Rumus Hambatan Kawat Penghantar Arus Listrik Idschool
idschool.net

Contoh Soal
dokumen.tips

Hantaran Listrik Bahan Fajar Tomayou
fajartomayou.com

Listrik Dinamis Pengertian Rumus Contoh Soal
www.yuksinau.id

Hambatan Kawat Penghantar Dan Rangkaian Hambatan Merlina900301 S Blog
merlina900301.wordpress.com

Pengertian Dan Rumus Hambatan Listrik Serta Contohnya Sains Seru
www.sainsseru.com

Hambatan Listrik Pada Suatu Penghantar Sinibelajar
sinibelajar.com

Hambatan Kawat Penghantar
studyres.com

Hambatan Jenis
www.slideshare.net

By Syamsul Arifin Smkn 1 Kalianget Ppt Download
slideplayer.info

Arus Dan Hambatan Ppt Download
slideplayer.info

Pengertian Dan Cara Menghitung Hambatan Jenis Suatu Penghantar Beserta Contoh Soal Terlengkap Pelajaran Sekolah Online
www.pelajaran.co.id

Rumus Kuat Arus Listrik Lengkap Dengan Contoh Soal
rumusrumus.com

Hambatan Listrik Pada Suatu Penghantar Sinibelajar
sinibelajar.com

Pengertian Dan Cara Menghitung Hambatan Jenis Suatu Penghantar Beserta Contoh Soal Terlengkap Pelajaran Sekolah Online
www.pelajaran.co.id

Hambatan Listrik Pada Kawat Penghantar Teknik Listrik
kusumandarutp.blogspot.com

Pengertian Rumus Dan Contoh Soal Listrik Dinamis Beserta Cara Penyelesaian Lengkap Anggara Trisna Nugraha S T M T
lecturer.ppns.ac.id

Hukum Ohm Rumus Rangkaian Dan Contohnya
passinggrade.co.id

Listrik Dinamis Pengertian Rumus Dan Contoh Soal
materibelajar.co.id

Pengertian Dan Rumus Hambatan Listrik Jenis Kawat Materi Pelajaran
www.materipelajaran.web.id

Rumus Hambatan Jenis Pengganti Kawat Dalam Lampu Contoh Soal
laelitm.com

Sebutkan 4 Faktor Yg Memengaruhi Tahanan Dalam Resistansi Sebuah Kawat Penghantar Brainly Co Id
brainly.co.id

Listrik Dinamis Pengertian Rumus Contoh Soal Umum
rumus.co.id

Fisika Sma Kelas X Joko Sumarsono Pages 151 200 Text Version Anyflip
anyflip.com

Http Eprints Uny Ac Id 46753 13 Modul 20teknik 20listrik Pdf

Luas Penampung Sebuah Kawat Penghantar Adalah 0 25 Mm Apabila Hambatan Dan Hambata Jenis Kawat Brainly Co Id
brainly.co.id

Pengertian Dan Rumus Hambatan Listrik Serta Contohnya Sains Seru
www.sainsseru.com

Rumus Hambatan Listrik Pengertian Macam Macam Contoh Soal
rumus.co.id

Rumus Arus Listrik Paralel Ampere Contoh Soal
laelitm.com

Memahami Hambatan Listrik Hukum Ohm Dengan Analogi Perahu
blog.ruangguru.com

Https Ardra Biz Topik Pengaruh Temperature Pada Hambatan Jenis

Contoh Soal Kuat Arus Listrik Rumus Kuat Satuan Hambatan Anak Sma
marketmedan.com

Listrik Dinamis
studylibid.com

Hambatan Kawat Penghantar Fisika Smp Detail Catatan Mejakita
www.mejakita.com

Ada Dua Cara Untuk Menentukan Ukuran Kabel Yang Pertama Dengan Cara Melihat Tabel Kha Kabel Dan Yang Kedua Dengan Rumus Pdf Free Download
docplayer.info

Https Repository Usd Ac Id 23580 2 031424001 Full Pdf

Rumus Hambatan Kawat Penghantar Arus Listrik
www.utakatikotak.com

Hambatan Jenis
www.slideshare.net

Hambatan Listrik Dan Hambatan Jenis Bahan Penghantar Listrik
fisikazone.com

close