Sangat Membantu

Rumus Jumlah Partikel


Contoh Soal Dan Jawaban Perhitungan Mol Siswapedia
www.siswapedia.com

Kimia Massa Mol Jumlah Partikel Dan Konsep Mol
www.slideshare.net

Materi Fisika Modern Dan Radioaktivitas
fisikakontekstual.com

Ar Mr Massa Volume Bil Avogadro Pereaksi Pembatas Ppt Download
slideplayer.info

E Hukum Avogadro Rahmi Educations
rahmikimia.wordpress.com

Penjelasan Lengkap Mengenai Hubungan Mol Dengan Jumlah Partikel Bangku Sekolah
bangkusekolah.com

Hubungan Mol Dengan Jumlah Partikel Massa Volume Gas Dan Molaritas Larutan Contoh Soal Pembahasan Bagian 1 Blog Kimia
blogmipa-kimia.blogspot.com

Konsep Mol Dan Stoikiometri
id.scribd.com

Konsep Mol 1 Jumlah Partikel Dalam 1 Mol Zat Pdf Download Gratis
docplayer.info

Pengertian Konsep Mol Dalam Kimia
www.utakatikotak.com

Massa Atom Jumlah Partikel Dan Mol
pt.slideshare.net

Perhitungan Kimia Konsep Mol Idschool
idschool.net

Konsep Mol Dan Stoikiometri Sman 1 Krueng Barona Jaya Ppt Download
slideplayer.info

Konsep Mol Mol Merupakan Satuan Hitung Untuk By Dewi Nurmalasari Medium
medium.com

Hubungan Mol Dengan Jumlah Partikel Massa Volume Dan Molaritas
www.utakatikotak.com

Perhitungan Kimia Konsep Mol Idschool
idschool.net

Rangkuman Materi Stoikiometri Ngerangkum
ngerangkum.com

Https Encrypted Tbn0 Gstatic Com Images Q Tbn 3aand9gctmpdv Ja5jgvbi71a5wtxzx3n Udmafw4vtemfeplsylcyxrta Usqp Cau
encrypted-tbn0.gstatic.com

1 Rumus Kimia
sites.google.com

Konsep Mol Pengertian Mol Serta Penjelasan Mengenai Hubungan Mol Dengan Jumlah Partikel Dan Hubungan Mol Dengan Massa Panduan Kimia Riset
www.panduankimia.net

Kumpulan Rumus Rumus Kimia Sekolah Carapedia Rumus Kimia Kimia Ilmu Pengetahuan Alam
id.pinterest.com

Kimia Massa Mol Jumlah Partikel Dan Konsep Mol
www.slideshare.net

1
encrypted-tbn0.gstatic.com

Stoikiometri Chemistry Quiz Quizizz
quizizz.com

Konsep Mol Massa Dan Jumlah Partikel Stoikiometri Kimia Sbmptn Sma Youtube
www.youtube.com

Rangkuman Materi Stoikiometri Bisakimia
bisakimia.com

Hubungan Mol Dengan Jumlah Partikel Massa Zat Volume Zat Rumus Dan Contoh Penyelesaian Mol Rumus Kimia
www.rumuskimia.net

Materi Online Konsep Mol Docx
id.scribd.com

Partikel Dasar Penyusun Atom Kimia X Rumushitung Com
rumushitung.com

Stoikiometri Pengertian Jenis Dan Contoh Soal Haloedukasi Com
haloedukasi.com

1
encrypted-tbn0.gstatic.com

Stoikiometry Risa Sevtyana Academia Edu
www.academia.edu

Pengertian Stoikiometri Jenis Hukum Dan Perhitungan
www.gurupendidikan.co.id

Nitrogen Rumus Molekul N Massa Gram 28 Mol Jumlah Partikel Volume 0 C Atm Brainly Co Id
brainly.co.id

Pelajaran Soal Rumus Stoikiometri Senyawa Wardaya College
www.wardayacollege.com

Hukum Dasar Kimia Dan Konsep Mol
studylibid.com

Jumlah Partikel Yang Terkandung Dalam Setiap Satu Mol Zat Adalah Brainly Co Id
brainly.co.id

Mikromeritika Farmasi Fisika By Erindyah R M Si Apt
fayllar.org

Perhitungan Pengukuran Partikel Ruang Bersih Farmasi Industri
farmasiindustri.com

Perhitungan Kimia Konsep Mol Idschool
idschool.net

Doc Modul V Kimia Kelas X Agus Yuliana Academia Edu
www.academia.edu

Pengertian Partikel Subatom Kimia Bagian Dan Jenisnya Lengkap
www.seputarpengetahuan.co.id

Stoikiometri Konsep Mol Massa Molaritas Dan Molalitas Contoh Soal
soalkimia.com

Hubungan Mol Dengan Jumlah Partikel Biology Page
bioslugospages.blogspot.com

Perhitungan Kimia Konsep Mol Idschool
idschool.net

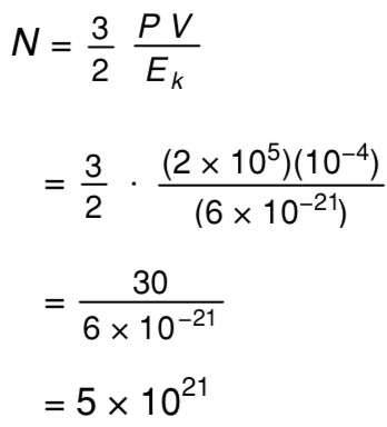
Tekanan Sebuah Gas Dalam Baskom Yang Volumenya 100 Cm3 Yaitu 200 Kpa Dan Rata Rata Energi Mas Dayat
www.masdayat.net

Massa Atom Jumlah Partikel Dan Mol
pt.slideshare.net

Http Jurnal Radenfatah Ac Id Index Php Orbital Article View 5487 3059

Gw Ngga Jago Kimia Tapi Mahasiswa Gw Sakti Catatan Nurina Anggraini
rinaunyiil.wordpress.com

Perhitungan Kimia Konsep Mol Idschool
idschool.net

Bab V Stoikiometri Nbsp Siswa Dapat Menentukan Rumus Empiris Senyawa Gas Metana Gas Oksigen Karbondioksida Uap Air Volume Gas Untuk Menyetarakan Atom C Dan H Dengan
pdfslide.tips

Rumus Dan Contoh Soal Dari Konsep Molaritas Kimia Materiedukasi Com
www.materiedukasi.com

Rumus Kimia Konsep Mol Dan Empiris For Android Apk Download
apkpure.com

Ringkasan Materi Konsep Mol Dan Contoh Soalnya Materi Kimia
materikimia.com

Perhitungan Berat Molekuler Udara Artikel Teknologi Indonesia
artikel-teknologi.com

Konsep Mol Dan Tetapan Avogadro Ilmu Sains
sainsmini.blogspot.com

Hubungan Antara Mol N Jumlah Molekul X Massa M Dan Volume Gas V Keadaan Stp
www.nafiun.com

Kimia Smoephy Solo Rumus Interconversi Satuan Jumlah Zat
djokosri.blogspot.com

Soal Menantang Bagian 12 Bukan Soal Un Kimia 2019 Urip Dot Info
www.urip.info

Rumus Dalam Konsep Mol Docx Document
fdokumen.com

Teori Dasar Wellysa Ilyas
sites.google.com

Stoikiometri Pengertian Rumus Hukum Dan Contoh Soal
www.dosenpendidikan.co.id

Bagan Konsep Mol Dan Contoh Soal
intanmanishanatalia.blogspot.com

Pengertian Dan Rumus Satuan Mol Siswapedia
www.siswapedia.com

Rumus Molaritas Molalitas Jumlah Mol Normalitas Fraksi Mol
www.dosenpendidikan.co.id

Molar Volume Massa Molar Mol Rumus Contoh Soal Dan Jawaban
www.pinterpandai.com

Saint Nicholas Skema Konsep Mol
nicholasadityas.blogspot.com

Perhitungan Kimia Konsep Mol Idschool
idschool.net

Contoh Soal Pembahasan Konsep Mol Stoikiometri
tanya-tanya.com

Rumus Sifat Koligatif Larutan Beserta Pengertian Sifat Koligatif
rumusrumus.com

Latihan 6 6 Hitunglah Tabel Berikut Brainly Co Id
brainly.co.id

Hubungan Mol Dengan Jumlah Partikel Massa Volume Gas Dan Molaritas Larutan Myrightspot Com
www.myrightspot.com

Konsep Mol
id.scribd.com

Cara Menyelesaikan Soal Mol Dalam Perhitungan Kimia Kelas 10 Sains Seru
www.sainsseru.com

Perhitungan Kimia Stoikiometri Dalam Persamaan Reaksi Sains Seru
www.sainsseru.com

Pengertian Konsep Rumus Mol Radenwinata Com
radenwinata.com

Pengertian Nomor Atom Dan Nomor Massa Penjelasan Contohnya
ardra.biz

Mol Mol Pengertian Dan Perhitungan Konsep Mol Dalam Reaksi Kimia
ladinaatqadar.blogspot.com

Cara Mudah Menyelesaikan Soal Stoikiometri
smktarunabangsa.sch.id

Latihan Soal Stoikiometri 16 30 Serta Pembahasan Soal
jempolkimia.com

Konsep Mol Massa Dan Jumlah Partikel Stoikiometri Kimia Sbmptn Sma Youtube
www.youtube.com

Perhitungan Kimia Hubungan Antara Jumlah Mol Partikel Massa Dan Volume Gas Dalam Persamaan Reaksi Materi Kimia
materikimia.com

Konsep Mol Dan Pdf Document
fdokumen.com

Konsep Mol Mol Merupakan Satuan Hitung Untuk By Dewi Nurmalasari Medium
medium.com

Https Encrypted Tbn0 Gstatic Com Images Q Tbn 3aand9gcqw7b Sw3g6g4wwsupj0z5wqnuuqxgmwdlnnoxoywgeuriiizqt Usqp Cau
encrypted-tbn0.gstatic.com

Latihan 6 6 Hitunglah Tabel Berikut Brainly Co Id
brainly.co.id

Konsep Mol Pengertian Satuan Rumus Sejarah Cadlewood
www.candlewoodlake.org

Konsep Mol Kimia Kelas 10 Pengertian Konsep Dan Latihan Soal
www.quipper.com

Elektron Proton Neutron Partikel Dasar Struktur Atom Pengertian Rumus Perhitungan Contoh Soal
ardra.biz

Stoikiometri Kimia Kelas 10 Pengertian Rumus Dan Persamaan Quipper Blog
www.quipper.com

Berapa Jumlah Partikel Ion Ca2 Dan Cl Jika Suatu Sampel Mengandung 12 Mol Cacl2 L 6 02 10 Brainly Co Id
brainly.co.id

Http Shintarosalia Lecture Ub Ac Id Files 2012 09 Kd Meeting 3 Pdf

Edukasi Sma Hukum Dasar Kimia Dan Perhitungan Kimia Keluarga Ilma95 Erman Ema Malini Fadhil Ilma Ihsan Ilma Salsabila Saumi Ilma
www.ilma95.net

Bab 6 Perhitungan Kimia Chemistry Learning
aisyahfitrirusianijisman.wordpress.com

Massa Atom Jumlah Partikel Mol
www.slideshare.net

Massa Atom Jumlah Partikel Dan Mol
pt.slideshare.net

Pengertian Konsep Mol Cara Perhitungan Dan Contoh Soalnya Ilmu Kimia
www.pakarkimia.com

Hukum Dasar Dan Perhitungan Kimia Mol Rumus Contoh Soal Pembahasan Praktikum Massa Volume Molar Gas Tetapan Avogadro
www.nafiun.com

Indikator 1 Dapat Mengkonversikan Jumlah Mol Dengan Jumlah Partikel Massa Dan Volum Zat Ppt Download
slideplayer.info

Rumus Kimia Konsep Mol Dalam Beberapa Keadaan Lengkap Kumpulan Rumus Matematika Kimia Dan Fisika
rumuslengkap.id

Konsep Mol Kimia Kelas 10 Pengertian Konsep Dan Latihan Soal
www.quipper.com

Stoikiometri Rumus Lengkap Perhitungan Kimia Mengenai Konsep Mol
jempolkimia.com

Keterangan D Kemolaran M Molaritas Menyatakan Jumlah Mol Zat Terlarut Dalam Tiap Liter Larutan Rumus Molaritas
id.scribd.com

Android Icin Rumus Kimia Konsep Mol Dan Empiris Apk Yi Indir
apkpure.com

close