Sangat Membantu

Rumus Jumlah Suku Geometri


Barisan Dan Deret
id.scribd.com

Suku Ke 3 Dan Suku Ke 6 Suatu Barisan Geometri Berturut Turut Adalah 96 Dan 12 Suku Ke 10 Youtube
m.youtube.com

Cara Menghitung Deret Geometri Agoaga
www.agoaga.com

Ppt Barisan Dan Deret Powerpoint Presentation Free Download Id 5119599
www.slideserve.com

Apa Rumus Contoh Soal Barisan Dan Deret Geometri
belajargiat.id

Rumus Deret Geometri Pengertian Rumus Dan Contoh Soalnya
gurusekolah.co.id

Barisan Geometri Mempunyai Suku Pertama 3 Dan Suku Ke 6 96 Jumlah Empat Suku Pertama Dari Brainly Co Id
brainly.co.id

Barisan Dan Deret Matematika Kelas 11 Quipper Blog
www.quipper.com

Contoh Soal Deret Geometri Tak Hingga Pilihan Ganda Pembahasan
soalkimia.com

Baris Dan Deret Aritmatika Mathematics Quiz Quizizz
quizizz.com

Deret Aritmatika Dan Deret Geometri 2
id.123dok.com

Barisan Dan Deret Aritmatika Geometri Contoh Soal Pembahasan
www.yuksinau.id

Barisan Dan Deret Geometri Materi Lengkap Matematika
www.materimatematika.com

Deret Geometri Tak Hingga Matematika Kelas 11 Quipper Blog
www.quipper.com

Barisan Deret Bilangan Geometri
id.scribd.com

Modul Barisan Dan Deret
docs.google.com

Pembahasan Penting Dalam Barisan Dan Deret Geometri Rumus Matematika
rumus-matematika.com

Rumus Deret Geometri Contoh Soal Barisan Geometri Wiki Rumus
www.wikirumus.com

Deret Geometri Rumus Contoh Soal Tak Terhingga Dan Limit
www.dosenpendidikan.co.id

Deret Aritmatika Pengertian Rumus Sifat Dan Contoh Soal
www.berpendidikan.com

Rumus Barisan Aritmetika Dan Geometri Idschool
idschool.net

Contoh Soal Barisan Dan Deret Geometri Pembahasannya Jawaban Soalfismat Com
soalfismat.com

Barisan Dan Deret Pengertian Geometri Deret Geometri Hubungan Dan Contoh Soalnya Lengkap Tutorialbahasainggris Co Id
tutorialbahasainggris.co.id

Pengertian Dan Rumus Deret Geometri Dan Contoh Soal Deret Geometri Lontang Lantung
klontanglantung.blogspot.com

Deret Geometri Pengertian Rumus Sifat Dan Contoh
www.seputarpengetahuan.co.id

Barisan Dan Deret Geometri By Jeffrey Bivin Lake Zurich High School Last Updated October 11 Ppt Download
slideplayer.com

Barisan Dan Deret Aritmatika Dan Geometri Dedari Kheita Xiimia4 10
fourzaxiimia4.blogspot.com

Rumus Barisan Aritmetika Dan Geometri Idschool
idschool.net

Diketahui Barisan Geometri 32 16 8 4 2 Jumlah N Suku Pertama Barisan Tersebut Adalah Brainly Co Id
brainly.co.id

Rumus Cepat Barisan Dan Deret Geometri Guru Ilmu Sosial
www.ilmusosial.id

Deret Geometri Pendidikan Matematika
yos3prens.wordpress.com

Rumus Dan Contoh Soal Barisan Geometri Berpendidikan Com
www.berpendidikan.com

Rumus Barisan Dan Deret Aritmatika Dan Geometri Serta Pembahasan Dan Perbedaannya Jogjamatematika
jogjamatematika.wordpress.com

Deret Geometri Tak Hingga Rumus Dan Contoh Soal Guru Belajarku
gurubelajarku.com

Deret Geometri Tak Hingga Konsep Matematika Koma
www.konsep-matematika.com

Mencari Rumus Jumlah Suku Ke N Barisan Geometri Youtube
m.youtube.com

Deret Geometri Rumus Deret Geometri Sampai Latihan Soal Deret Geometri Ciptacendekia Com
ciptacendekia.com

Contoh Soal Barisan Dan Deret Aritmatika Geometri Pengertian Rumus Sifat Sifat Notasi Sigma Tak Hingga Hitung Keuangan Bunga Tunggal Majemuk Anuitas Matematika
www.nafiun.com

Rumus Barisan Deret Aritmatika Dan Contoh Soalnya
rumus.co.id

Calameo Baris Deret Kelas B
www.calameo.com

Doc Deret Geometri Joan Fatwa Fauzan Academia Edu
www.academia.edu

Simulasi Soal Sbmptn 2019 Rumus Deret Geometri Contoh Soal Dan Pembahasannya Mamikos Info
mamikos.com

Https Encrypted Tbn0 Gstatic Com Images Q Tbn 3aand9gcsi Rngbw9awf184 Rfv93yazme Cypj4w 1vsthbliy6rzgofo Usqp Cau
encrypted-tbn0.gstatic.com

Deret Geometri Beserta Soal Dan Pembahasan
www.utakatikotak.com

Rumus Jumlah Deret Geometri Tak Hingga
studylibid.com

Rumus Deret Geometri
id.scribd.com

Perbedaan Barisan Dan Deret Aritmetika Dengan Geometri Myrightspot Com
www.myrightspot.com

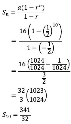
Jumlah 10 Suku Pertama Dari Deret Geometri 16 8 4 2 Adalah Mas Dayat
www.masdayat.net

Rumus Deret Aritmatika Barisan Sifat Dan Contoh Soal
www.dosenpendidikan.co.id

Contoh Soal Barisan Dan Deret Geometri Disertai Jawabannya
www.kontensekolah.com

Rumus Jumlah Geometri Brainly Co Id
brainly.co.id

Pembahasan Baris Atau Deret Geometri Dan Contoh Soalnya
www.belajarmtk.com

Doc Soal Deret Tak Terhingga Mega Juli Ika Lestari Academia Edu
www.academia.edu

Pengertian Dan Rumus Deret Geometri Dan Contoh Soal Deret Geometri Berpendidikan Com
www.berpendidikan.com

Ppt Barisan Dan D Eret Geometri Powerpoint Presentation Free Download Id 3879835
www.slideserve.com

Hitung Barisan Deret Aritmatika Dan Geometri Rumusq Id
rumusq.id

Mat Baris Dan Deret Materi78 2 Baris Dan Deret Rumus Suku Tengah Ut Berlaku Untuk Banyak Bilangan Ganjil Deret Atau Jumlah N Suku Pertama Sn Jika Baris Geometri Disisipkan K Buah
pdfslide.tips

Cara Cepat Menyelesaikan Deret Geometri Tak Hingga Beserta Rumus Suku Genap Dan Ganjil Matematikawan
matematikawan.com

Barisan Dan Deret
www.slideshare.net

Cara Mudah Belajar Kimia Cara Memilih Jumlah N Suku Pertama Deret Geometri
gerbangilmudasar.blogspot.com

Barisan Dan Deret Aritmatika Geometri Tak Hingga Rumus Contoh Soal
www.studiobelajar.com

Barisan Dan Deret Geometri Tak Hingga Materi Lengkap Matematika
www.materimatematika.com

Deret Geometri Pengertian Contoh Soal Dan Jawabannya
passinggrade.co.id

Rumus Cepat Mencari Rasio Geometri Guru Ilmu Sosial
www.ilmusosial.id

Matematika Inovatif 3 Konsep Dan Aplikasinya Konsep Dan Aplikasinya Ips By Ayu Rahayu Issuu
issuu.com

Matematika Kelas 11 Barisan Dan Deret Geometri Rumus Un Sn Dan Jenis Jenis Deret Geometri Tak Hingga
blog.ruangguru.com

Matematika Kelas 11 Barisan Dan Deret Geometri Rumus Un Sn Dan Jenis Jenis Deret Geometri Tak Hingga
blog.ruangguru.com

Rumus Barisan Dan Deret Aritmatika Dan Contoh Soal Aritmatika
rumusbilangan.com

Pembuktian Rumus Deret Aritmatika Dan Contoh Soal Edumatik Net
edumatik.net

Https Encrypted Tbn0 Gstatic Com Images Q Tbn 3aand9gcq87uokvrf3462alr3fcffxrm4zdk8jlhd4ulibm7zfupluzcuo Usqp Cau
encrypted-tbn0.gstatic.com

Barisan Deret Geometri Ppt Download
slideplayer.info

Deret Geometri Tak Hingga Dan Contoh Soalnya Madematika
www.madematika.net

Matematika Geometri Pinterpandai
www.pinterpandai.com

Deret Geometri Tak Hingga Dan Contoh Soal Edumatik Net
edumatik.net

Http Ananda Lecture Ub Ac Id Files 2017 02 Deret Tak Hingga Pdf

20 Jumlah N Suku Pertama Deret Aritmetika Dinyatakan Dengan 2 4 Suku Ke 9 Dari Deret Aritmetika Tersebut Adalah A 30 B 34 C 38 D 42 E Pdf Free Download
docplayer.info

Rumus Barisan Geometri Dan Deret Geometri Matematika
rumusrumus.com

Deret Geometri Pendidikan Matematika
yos3prens.wordpress.com

Penjelasan Mengenai Barisan Dan Deret Geometri Kumpulan Rumus Matematika
kurmat.blogspot.com

Bab 3 Barisan Dan Deret
www.slideshare.net

Barisan Dan Deret Geometri Beserta Contohnya
passinggrade.co.id

1
encrypted-tbn0.gstatic.com

Rumus Cepat Deret Geometri Tak Hingga Guru Ilmu Sosial
www.ilmusosial.id

Rangkuman Contoh Soal Pembahasan Barisan Deret
tanya-tanya.com

Kumpulan Rumus Barisan Deret Aritmatika Geometri Contoh Soal
hindayani.com

Barisan Dan Deret Learn With Alice
learnwithalice.wordpress.com

Deret Geometri
pt.slideshare.net

Deret Geometri Beserta Soal Dan Pembahasan
www.utakatikotak.com

Barisan Deret Geometri Ppt Download
slideplayer.info

Https Encrypted Tbn0 Gstatic Com Images Q Tbn 3aand9gctggqgqmquaucd7lnuovvrwu Fy 9ouoki4zaah8kmoq6rvng6q Usqp Cau
encrypted-tbn0.gstatic.com

Deret Aritmatika Deret Bilangan Rumus Deret Aritmatika Contoh Soal Deret Aritmatika Deret Aritmatika Dan Bilangan Geometri Arithmetic Progression Berbagaireviews Com
www.berbagaireviews.com

Matematika Inovatif 3 Konsep Dan Aplikasinya Konsep Dan Aplikasinya Ips By Ayu Rahayu Issuu
issuu.com

Rumus Barisan Aritmetika Dan Geometri Idschool
idschool.net

Buktikan Rumus Jumlah Suku Ke N Pertama Sn Contoh 2 Youtube
www.youtube.com

Barisan Dan Deret Geometri Soal Pembahasan
www.yuksinau.id

Belajar Singkat Trik Menghitung Panjang Lintasan Bola Deret Geometri Tak Hingga
www.belajarsingkat.com

Contoh Soal Jumlah Suku Pertama Deret Geometri Un Smk Akp 2018 Youtube
www.youtube.com

Simulasi Soal Sbmptn 2019 Rumus Deret Geometri Contoh Soal Dan Pembahasannya Mamikos Info
mamikos.com

Https Www Mediabelajar Uus Com 2019 02 Deret Geometri Html

Rumus Barisan Aritmetika Dan Geometri Idschool
idschool.net

Matematika Kelas 11 Barisan Dan Deret Geometri Rumus Un Sn Dan Jenis Jenis Deret Geometri Tak Hingga
blog.ruangguru.com

Soal Barisan Dan Deret 11
studylibid.com

A Baris Dan Deret Aritmatika
studylibid.com

Rencana Pelaksanaan Pembelejaran Rpp Pdf Free Download
docplayer.info

close