Sangat Membantu

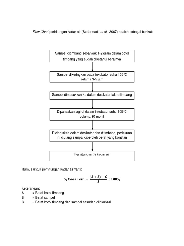
Rumus Kadar Air


Prinsip Dasar Pengeringan Biji Bijian Pengeringan Lapis Tipis Perhitungan Kadar Air Faktor Faktor Yang Mempengaruhi Emc Gambar Metode Statis Untuk Pengukuran Emc Kurva Kadar Air Vs Waktu Pengeringan Penentuankonstanta Pengeringan Duniakumu
duniakumu.com

10 Uji Kadar Air Agregat
id.scribd.com

Cukup Sekali Klik Aplikasi Dehidration Test Bisa Ketahui Kadar Air Di Tubuh Anda Kompasiana Com
www.kompasiana.com

Doc Laporan Praktikum Teknologi Produksi Benih Pengujian Kadar Air Benih Nurma Fauzaniar Academia Edu
www.academia.edu

200 Ml Larutan Alkohol Dengan Kadar 70 Berat Dicampur Dengan 60 Ml Air A Berapa Persen Kadar Brainly Co Id
brainly.co.id

Doc Kompaksi Syarif Dwi Saputra Academia Edu
www.academia.edu

X100 Kering Basis Sampel Berat Bsa Bsak Pdf Document
fdokumen.com

Pengujian Sand Cone Lauw Tjun Nji
lauwtjunnji.weebly.com

Doc Bab Iv Dendy Riswanda Scn Academia Edu
www.academia.edu

1 Pengujian Kadar Air Tanah Astm D 2216 98 Electrocivil Ec
electrocivil.wordpress.com

Penentuan Kadar Air Cara Pengeringan
www.slideshare.net

Https Encrypted Tbn0 Gstatic Com Images Q Tbn 3aand9gctogzzsqzxc5i 51lxndskosdf4kbx15ehr25mdb82ucc Ndavw Usqp Cau
encrypted-tbn0.gstatic.com

Analisis Kadar Abu Agroindustry Virtual Laboratory
labvirtual.agroindustri.upi.edu

Lampiran A Perhitungan Standarisasi Simplisia Pdf Document
fdokumen.com

Https Encrypted Tbn0 Gstatic Com Images Q Tbn 3aand9gcqbej0iraxvxky1ucf1wt5ylkga3y Cnvaycsxd70ol4gqqck6p Usqp Cau
encrypted-tbn0.gstatic.com

Simplisia Herba Pegagan Centella Asiatica L Urban Ppt Download
slideplayer.info

Analisis Kadar Lemak Agroindustry Virtual Laboratory
labvirtual.agroindustri.upi.edu

Http Bbppmbtph Tanamanpangan Pertanian Go Id Assets Front Uploads Document Materi 20bimtek 20penetapan 20kadar 20air 20 202018 Pdf

Rumus Kadar Air Pdf
id.scribd.com

Pengujian Kadar Air Water Content Steemit
steemit.com

Rumus Dan Perhitungan Densitas Komposisi Kadar Air Dan Kadar Abu Sampah
id.scribd.com

Penetapan Kadar Air Metode Dean Strak Osaaa999 Blog
www.osaaa999.com

Kadar Air Kristal Dalam Senyawa Feso4 Xh2o 26 47 Jika Diketahui Mr Feso4 152 Dan Mr H2o 18 Brainly Co Id
brainly.co.id

Pdf Bab I Kadar Air Nadia Rahma Pramesti Academia Edu
www.academia.edu

Kesuburan Tanah Penetapan Kadar Air Tanah Kering Udara Penetapan Kadar Air Kapasitas Lapang Penetapan Kemasaman Tanah Ph Dan Penetapan Kadar Garam Total Penetapan Kadar Bahan Organik Tanah
edped3.blogspot.com

Analisa Kadar Air Dengan Metode Oven
www.slideshare.net

Analisis Kadar Abu Agroindustry Virtual Laboratory
labvirtual.agroindustri.upi.edu

Kadar Air Bahan Ikhlasnya Berbagi
udai08.blogspot.com

Kuliah Pengeringan Kayu Ppt Download
slideplayer.info

Laprak Analisis Kadar Air Fix
www.slideshare.net

Contoh Soal Dan Jawaban Geoteknik Cara Menentukan Kadar Air Kepadatan Basah Kepadatan Kering Angka Pori Porositas Dan Derajat Kejenuhan Helm Proyeku
helm-proyeku.blogspot.com

Pdf Pengukuran Kadar Air Agregat Dan Beton Segar Dengan Menggunakan Microwave Oven
www.researchgate.net

Analisis Kadar Air Ppt Download
slideplayer.info

V Kadar Air Agregat
www.slideshare.net

Analisis Kadar Air Agroindustry Virtual Laboratory
labvirtual.agroindustri.upi.edu

X Y Z Kadar Air X 100 Y Kadar Bahan Kering Sampel Dapat Diketahui Dengan Rumus Bahan Kering Bk 100 Kadar Air Pdf Download Gratis
docplayer.info

Penentuan Kadar Sari Modul 5
es.scribd.com

Teknologi Pangan
www.tekpang.com

Ppt A I R Dan A B U Powerpoint Presentation Free Download Id 4182281
www.slideserve.com

Dunia Mahasiswa Metode Analisis Kadar Air Es Krim Sirup Dan Bumbu
duniakuliahmahasiswa.blogspot.com

Estimasi Ketidakpastian Pengukuran Penetapan Kadar Air 1 Cara Kerja
id.scribd.com

Iklasnya Berbagi Kadar Air Bahan
catatan-udai.blogspot.com

Flowchart Kadar Air Aw
id.scribd.com

Http Blogs Unpad Ac Id Zufialdizakaria Files 2009 11 Zufialdi Zakaria 2006 Analisis Dayadukung Tanah Pdf

Pengeringan Lanjutan Ppt Download
slideplayer.info

Laporan Praktikum Penentuan Kadar Air Tanah Geograpik
geograpik.blogspot.com

Latihan Soal Kadar Air Auto Saved
id.scribd.com

Laporan Resmi Mekanika Tanah
www.slideshare.net

X Y Z Kadar Air X 100 Y Kadar Bahan Kering Sampel Dapat Diketahui Dengan Rumus Bahan Kering Bk 100 Kadar Air Pdf Download Gratis
docplayer.info

Kadar Air Tanah
dokumen.tips

Analisa Kadar Air Dengan Metode Oven
www.slideshare.net

Penentuan Kadar Air Cara Pengeringan
www.slideshare.net

Rumus Pembuatan Ekstrak
id.scribd.com

Kadar Air Tanah
studylibid.com

Bahan Ilhamhasbayny
ilhamhasbayny.wordpress.com

Kumpulan Metode Dan Materi Workshop Pengujian Kadar Air
metodedanmateri.blogspot.com

Http Shintarosalia Lecture Ub Ac Id Files 2012 05 Srd Pengeringan Pdf

Penentuan Kadar Air Pada Sampel Pupuk Za Kimia Analisis Terpadu
nursyamsuduha.wordpress.com

Penetapan Kadar Air Metode Thermogravimetri Osaaa999 Blog
www.osaaa999.com

Https Www Studocu Com Id Document Universitas Diponegoro Analisis Zat Gizi Practical Laporan Praktikum Vitamin C 4548808 View

Analisis Proksimat Analisa Kadar Air Metode Oven
fawinas.blogspot.com

Metode Analisis Gravimetri
www.slideshare.net

Penentuan Kadar Protein Metode Kjeldahl Dan Lowry Kanalis Polban
kanalispolban.wordpress.com

Teknologi Pangan
www.tekpang.com

Gambar 2 Kurva Aliran Untuk Penentuan Batas Cair Tanah Asli Metode Download Scientific Diagram
www.researchgate.net

Kadar Air
id.scribd.com

Specific Gravity Berat Jenis Pada Emas
almeganews.wordpress.com

Doc Uji Berat Volume Tanah Rizal Triono Academia Edu
www.academia.edu

Https Media Neliti Com Media Publications 225936 Pengaruh Variasi Konsentrasi Tepung Kede 7ad3124b Pdf

Doc Laporan Kadar Air Hifa Dzakiyaa Academia Edu
www.academia.edu

Analisa Kadar Air Metode Thermogravimetri Cakrawala Pangan
cakrawala-pangan.blogspot.com

Pengaruh Kadar Air Pada Granul Dalam Pembuatan Tablet
almeganews.wordpress.com

Http Repository Unib Ac Id 7229 1 B12 Pdf

Cara Mengetahui Kadar Air Dalam Kayu Jati Gudang Art Design
gudangart.com

4 Cara Penetapan Kadar Air Pt Hyprowira Adhitama
hyprowira.com

Doc Kadar Air Aoac Elen Wima Husen Academia Edu
www.academia.edu

Kadar Air Tanah
id.scribd.com

Doc Contoh Soal Dan Jawaban Teknik Sipil Bilal Rhobani Academia Edu
www.academia.edu

Doc Praktikum Analisis Kadar Air Abu Dan Mineral Rizki Lutfiani Academia Edu
www.academia.edu

Materi 1 Pengeringan Biji Bijian Teknik Pengolahan Hasil Pertanian Agriculture Engineering
aerikuriyansyah-ringkasantphp9.blogspot.com

Penentuan Kadar Air Cara Pengeringan
www.slideshare.net

Laporan Praktikum Penentuan Kadar Air Tanah Geograpik
geograpik.blogspot.com

Pengeringan Biji Bijian Agriculture Engineering Of Sriwijaya University
hersayadiabdl.wordpress.com

Mulki Smak Penetapan Kadar Air Cara Xylol
kimiaterpadusmakma20143b20.blogspot.com

Penentuan Kadar Air Cara Pengeringan
www.slideshare.net

Teknologi Pangan
www.tekpang.com

Penentuan Kadar Air Cara Pengeringan
www.slideshare.net

Pengujian Sand Cone Lauw Tjun Nji
lauwtjunnji.weebly.com

Analisis Kadar Lemak Agroindustry Virtual Laboratory
labvirtual.agroindustri.upi.edu

Rizaldy Berbagi Data Kepadatan Berat Modified
rizaldyberbagidata.blogspot.com

Doc Penentuan Kadar Air Dan Kadar Abu Dalam Bahan Pangan Ervan Togatorop Academia Edu
www.academia.edu

Penentuan Kadar Air Cara Pengeringan
www.slideshare.net

Laporan Kadar Air Benih Autosaved
www.slideshare.net

Lampiran Ii
id.scribd.com

Teknologi Pangan
www.tekpang.com

Lap Kadar Air Kadar Uap Kadar Cu
id.scribd.com

Analisa Kadar Air Docx
id.scribd.com

Pdf Penentuan Kadar Air Dan Kadar Abu Pada Biskuit Zulfahnur Isna Oktaviana Academia Edu
www.academia.edu

Uji Kadar Air
dokumen.tips

Mengukur Kadar Air Pada Kayu Oleh Kelompok 3 Anggota Aprilia Intan Putri Arrahman Arif Diana Mayang Sari Febri Febrian Fella Delviero Frya Jemi Oktadova Ppt Download
slideplayer.info

Analisa Kadar Air Tugas Hari9 Youtube
www.youtube.com

Buku Petunjuk Praktikum Mekanika Tanah
www.slideshare.net

close