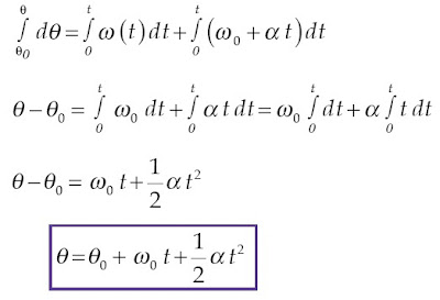
Sangat Membantu

Rumus Kecepatan Sudut Partikel


Momen Inersia Pengertian Momen Rumus Contoh Penerapan
pengajar.co.id

Doc Gerak Melingkar Daffa Ragil Academia Edu
www.academia.edu

Hubungan Percepatan Sentripetal Dengan Kecepatan Sudut Periode Atau Frekuensi
mafia.mafiaol.com

Pdf Aidia Propitious Kecepatan Partikel Percepatan Partikel Jayeng Andini Academia Edu
www.academia.edu

Konsep Gerak Melingkar Syaiflash Com
www.syaiflash.com

Soal Dan Pembahasan Gerak Melingkar Hajar Fisika
www.hajarfisika.com

Kecepatan Sudut Wikipedia Bahasa Indonesia Ensiklopedia Bebas
id.wikipedia.org

Rangkuman Soal Rumus Gerak Melingkar
id.scribd.com

Rumus Cepat Rambat Gelombang Berjalan Guru Ilmu Sosial
www.ilmusosial.id

Rumus Kecepatan Sudut Pengertian Cara Hitung Contoh Soal
rumus.co.id

Rotasi Sudut Kecepatan Sudut Sudut Sudut Posisi Agama Png Pngwing
www.pngwing.com

Pengertian Gerak Rotasi Kinematika Dan Dinamika Rotasi Momen Gaya Inersia Kesetimbangan Benda Tegar Contoh Soal Kunci Jawaban
www.nafiun.com

Kecepatan Sudut Pengertian Rumus Contoh Soal Kecepatan Sudut Dan Penyelesaiannya
walpaperhd99.blogspot.com

Contoh Soal Percepatan Sudut Dan Percepatan Tangensial Gurumuda Net
gurumuda.net

Percepatan Sudut Penjelasan Dan Rumus Pengertian
cpengertian.blogspot.com

Contoh Soal Fisika Dan Pembahasan Tentang Persamaan Gerak Lurus Dan Gerak Melingkar Pelajaran Sekolah Online
www.pelajaran.co.id

Contoh Soal Kecepatan Sudut Kecepatan Linear Gerak Melingkar Dan Pembahasan Soalfismat Com
soalfismat.com

Soal Rumus Gerak Melingkar Fisika Sma X
dokumen.tips

Rumus Gerak Melingkar Beraturan Dan Gerak Parabola Contoh Soal Asyik Belajar
asyikbelajar.com

Pengertian Gerak Melingkar Beraturan Berubah Ciri Contoh
www.gurupendidikan.co.id

Modul 4 Rancang
www.slideshare.net

Sebuah Partikel Bermassa 0 5 Gram Melakukan Gerak Melingkar Dengan Kecepatan Sudut Tetap 2 Rad S Mas Dayat
www.masdayat.net

Definisi Dan Rumus Kecepatan Sudut Anguler Gerak Melingkar Beserta Contoh Soal Dan Pembahasannya Fisikabc
www.fisikabc.com

Modul Rumus Soal Gerak Melingkar Berubah Beraturan Wardaya College
www.wardayacollege.com

Modul Rumus Soal Besaran Gerak Melingkar Wardaya College
www.wardayacollege.com

Pengertian Gerak Melingkar Beraturan Ciri Ciri Rumus Variabel Gmb Ilmupelajaran Com
www.ilmupelajaran.com

Definisi Dan Rumus Kecepatan Linear Tangensial Gerak Melingkar Beserta Contoh Soal Dan Pembahasannya Fisikabc
www.fisikabc.com

Dengan Lintasan Melingkar Dan Kecepatan Sudut W Di Setiap Titik Pada Benda Tersebut Besarnya Pdf Download Gratis
docplayer.info

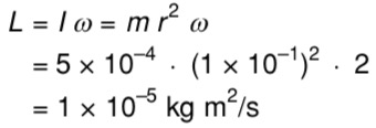
Contoh Soal Momentum Sudut Dinamika Rotasi Youtube
www.youtube.com

Gerak Melingkar
pt.slideshare.net

Rumus Kecepatan Sudut Pengertian Cara Hitung Contoh Soal
rumus.co.id

Rumus Mencari Kecepatan Sudut Brainly Co Id
brainly.co.id

Kelas Xi
fisikakontekstual.com

Oleh S A L A M S Pd Gerak Melingkar Posisi Sudut Kecepatan Sudut Ppt Download
slideplayer.info

Melingkar Berubah Beraturan Fisika Sekolah
www.fisikasekolah.com

Definisi Dan Rumus Percepatan Sudut Anguler Gerak Melingkar Beserta Contoh Soal Dan Pembahasan Fisikabc
www.fisikabc.com

20 Soal Gerak Melingkar Pilihan Ganda Dan Jawaban Pembahasan
soalkimia.com

Contoh Gerak Melingkar Beraturan Gmb Pengertian Contoh Rumus
passinggrade.co.id

Contoh Soal Perhitungan Rumus Kecepatan Linear Dan Kecepatan Sudut Anguler Ardra Biz
ardra.biz

Pengertian Dan Satuan Kecepatan Sudut
mafia.mafiaol.com

Pengertian Gerak Melingkar Beraturan Berubah Ciri Contoh
www.gurupendidikan.co.id

Pengertian Gerak Rotasi Kinematika Dan Dinamika Rotasi Momen Gaya Inersia Kesetimbangan Benda Tegar Contoh Soal Kunci Jawaban
www.nafiun.com

Kecepatan Sudut Dan Percepatan Sudut Ayo Sekolah Fisika
www.ayo-sekolahfisika.com

Yudhe1 This Wordpress Com Site Is The Bee S Knees
yudhe1.wordpress.com

Apakah Pengertian Kecepatan Sudut Fisika Usaha321 Net
usaha321.net

Oleh S A L A M S Pd Gerak Melingkar Posisi Sudut Kecepatan Sudut Ppt Download
slideplayer.info

Pembahasan A Kecepatan Partikel Saat T 2 Sekon Kecepatan Sesaat B Kecepatan Rata Rata Partikel Saat T 0 Sekon Hingga T 2 Sekon Pdf Download Gratis
docplayer.info

Contoh Gerak Melingkar Beraturan Gmb Pengertian Contoh Rumus
passinggrade.co.id

Ilmu Pengetahuan 2 Contoh Soal Fisika Gerak Melingkar Beraturan
ilmupopuler2.blogspot.com

Gerak Melingkar Pengertian Materi Rumus Dan Contoh Soal
rumus.co.id

Gerak Melingkar Beraturan Beserta Contohnya Siswapedia
www.siswapedia.com

Contoh Soal Percepatan Sudut Rotasi Dan Pembahasannya Soalfismat Com
soalfismat.com

Gerak Melingkar Beraturan Fisika Kelas 10 Quipper Blog
www.quipper.com

Dinamika Rotasi Torsi Momen Gaya Momentum Sudut Rumus Contoh Soal
www.studiobelajar.com

Pengertian Gerak Melingkar Beraturan Ciri Ciri Rumus Variabel Gmb Ilmupelajaran Com
www.ilmupelajaran.com

Contoh Soal Kecepatan Kumpulan Soal Pelajaran 3
kumpulansoal-113.blogspot.com

Hubungan Energi Kinetik Dengan Kecepatan Gerak Partikel
blog.ruangguru.com

Contoh Soal Percepatan Sentripetal Gurumuda Net
gurumuda.net

Rumus Gelombang Berjalan Dan Pengertian Serta Contoh Soal
rumusrumus.com

Gerak Melingkar
yoskin.wordpress.com

Rumus Keseimbangan Benda Tegar
www.yumpu.com

Gerak Melingkar
yoskin.wordpress.com

3 Cara Untuk Menghitung Percepatan Sudut Wikihow
id.wikihow.com

Rangkuman Contoh Soal Dinamika Rotasi Benda Tegar Dan Pembahasan
tanya-tanya.com

Contoh Soal Perhitungan Rumus Kecepatan Linear Dan Kecepatan Sudut Anguler Ardra Biz
ardra.biz

Ringkasan Materi Gerak Melingkar Beraturan Gmb Beserta Contohnya Gammafis Blog
www.gammafisblog.com

Soal Grafik Posisi Kecepatan Dan Percepatan Pada Gerak Lurus Dan Pembahasan Ayo Sekolah Fisika
www.ayo-sekolahfisika.com

Contoh Soal Percepatan Sudut Dan Percepatan Tangensial Gurumuda Net
gurumuda.net

Rumus Kecepatan Sudut
id.scribd.com

Gerak Rotasi Benda Tegar Pptx Powerpoint
fdokumen.com

Contoh Soal Perhitungan Rumus Kecepatan Linear Dan Kecepatan Sudut Anguler Ardra Biz
ardra.biz

Contoh Soal Perhitungan Rumus Kecepatan Linear Dan Kecepatan Sudut Anguler Ardra Biz
ardra.biz

Rumus Fisika For Android Apk Download
apkpure.com

Sebuah Partikel Bermassa 40 Gram Bergerak Melingkar Dengan Jari Jari 5 Cm Dan Kecepatan Sudut 2 Brainly Co Id
brainly.co.id

Rumus Gerak Melingkar Dan Besaran Ayokboco Com
www.ayokboco.com

Menentukan Kecepatan Sudut Dari Fungsi Percepatan Sudut Ilmu Hitung
ilmuhitung.com

Kinematika Gerak
www.utakatikotak.com

F103 Dinamika Rotasi Momentum Sudut Angular Dan Titik Pusat Massa Youtube
www.youtube.com

Gerak Melingkar Beraturan Beserta Contohnya Siswapedia
www.siswapedia.com

Soal Dan Jawaban Gerak Melingkar Berubah Beraturan
www.edutafsi.com

Gerak Melingkar Beraturan Rumus Fisika
www.wawasan-edukasi.web.id

Gerak Melingkar Beraturan Fisika Kelas 10 Quipper Blog
www.quipper.com

Materi Dinamika Rotasi Dan Keseimbangan Benda Tegar
fisikakontekstual.com

Rumus Gerak Melingkar Beraturan Dan Gerak Parabola Contoh Soal Asyik Belajar
asyikbelajar.com

Gerakmelingkar
www.slideshare.net

Getaran Fisika Dan Rumusnya
rumushitung.com

Ppt Fisika Iv Gerak Melingkar Powerpoint Presentation Free Download Id 3591856
www.slideserve.com

1 Grafik Di Atas Menggambarkan Posisi Suatu Partikel Yang Menjalani Gerak Parabola Dari Grafik Dapat Disimpulkan Sudut Elevasi Tembakannya Adalah
dokumen.tips

Gerak Melingkar Beraturan Fisika Kelas 10 Quipper Blog
www.quipper.com

Gerak Melingkar Wikipedia Bahasa Indonesia Ensiklopedia Bebas
id.wikipedia.org

Akselerasi Sudut Lingkaran Kecepatan Sudut Rotasi Pendahuluan Sudut Teks Png Pngegg
www.pngegg.com

Kinematika Fisika Bab 2 Ppt Powerpoint
vdocuments.site

Http Eprints Undip Ac Id 32359 7 M93 Suryoto Chapter Iii Pdf

Pengertian Gerak Melingkar Beraturan Berubah Ciri Contoh
www.gurupendidikan.co.id

Rumus Momentum Sudut Gaya Linier Dan Dimensi
rumusrumus.com

Gerak Rotasi Teknologi Pesawat
studylibid.com

Gerak Melingkar Beraturan Rumus Fisika
www.wawasan-edukasi.web.id

Dinamika Rotasi Torsi Momen Gaya Momentum Sudut Rumus Contoh Soal
www.studiobelajar.com

Gerak Melingkar
fisikastudycenter.com

Soal Rumus Gerak Melingkar Fisika Sma X
id.scribd.com

close