Sangat Membantu

Rumus Km


Pertanyaanakhir Segmen 3 Perhatikan Gambar Berikut Ini Lengkapi Rumus Berikut Ab Bc Ac Akhir Brainly Co Id
brainly.co.id

Matematika Sd Kelas 6 Rumus Penjelasan Contoh Soal Dan Jawaban
www.pinterpandai.com

Rumus Berpapasan Dan Menyusul Idschool
idschool.net

Satuan Panjang Tangga Konversi Urutan Dan Contoh Soalnya
rumusbilangan.com

Pertanyaanakhir Segmen 3 Perhatikan Gambar Berikut Ini Lengkapi Rumus Berikut Ab Bc Ac Akhir Brainly Co Id
brainly.co.id

Konversi Satuan Panjang Lengkap Cara Menghitung Satuan Panjang
www.advernesia.com

Perhitungan Konversi Satuan Kumpulan Rumus Matematika
kurmat.blogspot.com

Hot Tips Ggl Tegangan Jepit Rumus
blogbendol.blogspot.com

1 Kg Berapa Gram Rumus 1 Ons Berapa Gram 1kg Berapa Ons
www.dosenpendidikan.co.id

Rumus Kecepatan Lengkap Rata Rata Jarak Waktu Contoh Soal
saintif.com

Menentukan Vektor Resultan Dengan Rumus Phytagoras
id.scribd.com

Gerak Lurus Berubah Beraturan Parabola Jatuh Bebas Atas Bawah Contoh Soal Rumus Perhitungan
ardra.biz

Menghitung Kepadatan Penduduk Halaman All Kompas Com
www.kompas.com

Rumus Kecepatan
www.scribd.com

Petunjuk Praktis Bagi Nelayan
www.fao.org

Https Encrypted Tbn0 Gstatic Com Images Q Tbn 3aand9gctcz Kldyp6fswoocoirdrjn1ntfjcydh4owhxrh4s Usqp Cau
encrypted-tbn0.gstatic.com

Https Encrypted Tbn0 Gstatic Com Images Q Tbn 3aand9gct24xf9tdgsyttoxpq9bxaj4ro3eytdz0yz5unzu2icom5akzur Usqp Cau
encrypted-tbn0.gstatic.com

Penjelasan Lengkap Teori Titik Henti Penggertian Dan Contoh Soal
cerdika.com

Https Iopscience Iop Org Article 10 1088 1742 6596 812 1 012097 Pdf

Tangga Konversi Satuan Ukuran Panjang Di Dalam Matematika
rumusrumus.com

Rumus Mencari Kilometer Brainly Co Id
brainly.co.id

Rumus Matematika Wallpaper For Android Apk Download
apkpure.com

Belajar Rumus Matematika Kelas 6 Sd For Android Apk Download
apkpure.com

Cara Mengubah Satuan Meter Sekon Menjadi Km Jam Solusi Matematika
solusimatematika85.blogspot.com

Rumus Berpapasan Dan Menyusul Idschool
idschool.net

Rumus Gradien Barometrik Gurugeografi Id
www.gurugeografi.id

Pin Di Fish
id.pinterest.com

Tips Cara Rumus Konversi Satuan Panjang Jarak Km Mil Yard Dengan Fungsi Convert Di Excel My Biarcool Info
my.biarcool.info

Free Space Path Loss Wikipedia
en.wikipedia.org

Mobil Bergerak Dengan Kecepatan 60 Km Jam Selama 1 Jam 20 Menit Berapa Jarak Yang Ditempuh Soal Fisika
soalfisika85.blogspot.com

Skala Pada Peta Dan Denah Mikirbae Com
www.mikirbae.com

Rumus Cara Menghitung Kekuatan Interaksi 2 Wilayah Lengkap
rumusbilangan.com

1 Meter Berapa Cm Rumus Cara Hitung Meter Ke Centimeter
rumusbilangan.com

Rumus Kecepatan Jarak Waktu Dan Contoh Soal
rumusrumus.com

Doc Pembuktin Rumus Pengungkit Nadya Naya Academia Edu
www.academia.edu

Contoh Bidang Miring Pengertian Keuntungan Mekanis Fungsi
www.dosenpendidikan.co.id

Pin By Saril Hafizh On Rumus In 2020 Primer Penampang Daya
in.pinterest.com

Tangga Km Km Hm Dam M Dm Cm Mm
www.utakatikotak.com

Pengertian Peta Dan Cara Mudah Menghitung Skala Pada Peta Pelajaran Sekolah Online
www.pelajaran.co.id

Rumus Kecepatan Power Poin
www.slideshare.net

Pdf Turunan Menemukan Konsep Notasi Dan Rumus Umum Annisa Prihartini Academia Edu
www.academia.edu

Cara Mudah Mengubah Km Jam Menjadi Meter Sekon Solusi Matematika
solusimatematika85.blogspot.com

Rumus Kecepatan Contoh Soal Pembahasan Lengkap
www.nesabamedia.com

Bunga On Twitter Km Ga Bole Mls
twitter.com

Rumus Cepat Waktu Berpapasan Guru Ilmu Sosial
www.ilmusosial.id

Rumus Dan Satuan Kuantitas
id.scribd.com

Tangga Konversi Satuan Ukuran Panjang Dalam Matematika Rumus Matematika Sd
datainfoguru.blogspot.com

Rumus Rindu Steemit
steemit.com

Fisika Kelas 8 Penerapan Dan Manfaat Prinsip Bidang Miring
blog.ruangguru.com

Satuan Panjang Menjumlahkan Dan Mengurangkan Km Hm Dam M Dm Cm Mm Youtube
www.youtube.com

Pin Di Ipa Science
id.pinterest.com

Reports Autonetmagz Part 11
autonetmagz.net

3 8 Perhitungan Debit Rencana
www.slideshare.net

Https Encrypted Tbn0 Gstatic Com Images Q Tbn 3aand9gcroktcmj3sqkutqoyrgcbqijmkbvtmtuuur Ky T50gunae9ieg Usqp Cau
encrypted-tbn0.gstatic.com

Rumus Berpapasan Dan Menyusul Idschool
idschool.net

Blog Lengkap Rumus Matematika
bloglengka.blogspot.com

Rumus Waktu Berpapasan Dan Susul Menyusul Dan Contoh Soalnya Lengkap Tutorialbahasainggris Co Id
tutorialbahasainggris.co.id

Rumus Skala Jarak Pada Peta Jarak Sebenarnya Idschool
idschool.net

Rumus Berpapasan Dan Menyusul Idschool
idschool.net

Satuan Panjang Pengertian Rumus Contoh Soal
rumuspintar.com

Rumus Jarak Dan Kecepatan Partnermatematika Com
www.partnermatematika.com

Materi Lengkap Satuan Panjang Rumus Matematika
rumus-matematika.com

Rumus Konversi Satuan Pengertian Materi Macam Contoh Soal
rumus.co.id

Cara Mengubah M S Menjadi Km Jam Fisika Dan Matematika
fismath.com

Pras Academy Smp Rumus Keuntungan Mekanik Pesawat Sederhana Pengungkit
smp.prasacademy.com

Rangkuman Ipa Kelas 8 1
studylibid.com

Gerak Sebuah Mobil Bergerak Menempuh Jarak 100 Km Dalam Waktu 4 Jam Besar Kecepatan Mobil Tersebut Adalah Km Jam 40 Km Jam 250 Km Jam 400 Km Jam Ppt Download
slideplayer.info

Index Of Wp Content Uploads 2018 07
idschool.net

Rumus Matematika Rumus Matematika
rumusforrangkah6surabaya.blogspot.com

Kebanyakan Menghitung Rumus Itu Bakal Ngaco Hasilnya Kompasiana Com
www.kompasiana.com

Rumus Gampang Untuk Hitung Km Liter Dari Biaya Bensin Dan Jarak Tempuh Mengupas Soal Motor
kupasmotor.wordpress.com

Perancangan Geometrik Jalan
www.slideshare.net

Rumus Matematika Photos Facebook
www.facebook.com

Satuan Luas Km Hm Dam M Dm Cm Mm Soal Jawaban Konversi Satuan Satuan Matematika
id.pinterest.com

Pin By Inna On Rumus Learning Physics Knowledge
www.pinterest.com

Rumus Gampang Untuk Hitung Km Liter Dari Biaya Bensin Dan Jarak Tempuh Mengupas Soal Motor
kupasmotor.wordpress.com

Sebuah Kapal Berlayar Dari Pelabuhan Ke Arah Utara Sejauh 30km Lalu Belok Kearah Barat Sejauh Brainly Co Id
brainly.co.id

Rumus Hidrologi Hss Limantara
www.slideshare.net

Pengertian Momentum Dan Impuls Rumus Contoh Soal Dan Jawaban Momentum Dan Impuls Lengkap Pelajaran Sekolah Online
www.pelajaran.co.id

Gerak Lurus Berubah Beraturan Parabola Jatuh Bebas Atas Bawah Contoh Soal Rumus Perhitungan
ardra.biz

Berpapasan Dan Menyusul Permasalahan Posisi Waktu Dan Kecepatan Dengan Excel Excel In Aja
excelinaja.wordpress.com

Rumus Menghitung Kecepatan Dan Contoh Soal
www.belajarmtk.com

Dimethyl Sulfoxide Wikipedia
en.wikipedia.org

Rumus Fisika Untuk Membantu Kamu Menjawab Berbagai Macam Soal
www.kelaspintar.id

Menentukan Vektor Resultan Dengan Rumus Phytagoras
dokumen.tips

Kumpulan Rumus Matematika Kelas 6 Sd Lengkap
saintif.com

2020 Rumus Matematika Wallpaper Android App Download Latest
www.99images.com

1 Km Berapa Meter Tangga Tabel Konversi Contoh Dan Penjelasannya
quipper.co.id

8 Education Photos Facebook
www.facebook.com

Menghitung Kepadatan Penduduk Halaman All Kompas Com
www.kompas.com

Cara Mengerjakan Cm Ke M Guru Ilmu Sosial
www.ilmusosial.id

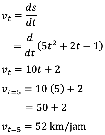
Suatu Sepeda Motor Bergerak Dengan Persamaan Jark S F T 5t2 2t 1 Dalam Km Kecepatan Mas Dayat
www.masdayat.net

Rumus Kecepatan Lengkap Rata Rata Jarak Waktu Contoh Soal
saintif.com

Yuk Bareng Bareng Mengukur Keliling Bumi Zenius Blog
www.zenius.net

Https Encrypted Tbn0 Gstatic Com Images Q Tbn 3aand9gcqpyjrnl Ihuielkyhp6cp6p Kv U4dvkjcevlnkd8pwbjjrcmt Usqp Cau
encrypted-tbn0.gstatic.com

1 Mil Berapa Km Konversi Satuan Mil Ke Kilometer
rumus.co.id

Sebuah Kapal Berlayar Ke Timur Sejauh 90 Km Kemudian Berputar Ke Arah Utara Sejauh 400 Km Maka Brainly Co Id
brainly.co.id

Soal No 8 Persiapan Unbk Smp Fisika Youtube
www.youtube.com

Insiden Sapu Tembus Kaca Kijang Innova Kalau Pakai Rumus Fisika Kecepatan Sapu Setara 113 Km Jam Halaman 2 Gridoto Com
www.gridoto.com

Media Tweets By Saviti M Karmani Tugektia Twitter
twitter.com

Rumus Bidang Miring Keuntungan Mekanis Gambar Dan Contoh Soal
rumusrumus.com

Tenaga Endogen Seisme 07 Guru Geografi Man 1 Gunungkidul Diy
andimanwno.wordpress.com

Fisika Kelas 8 Penerapan Dan Manfaat Prinsip Bidang Miring
blog.ruangguru.com

Abogoboga Docx
es.scribd.com

close