Sangat Membantu

Rumus Koefisien Viskositas Fluida


Doc Percobaan F2 Viskositas Fluida Kaona Eddie Academia Edu
www.academia.edu

Hukum Stokes Kecepatan Terminal Ppt Download
slideplayer.info

Rumus Fluida
fisikakontekstual.com

Kekentalan Zat Cair
www.slideshare.net

Hukum Stokes Dan Viskositas Pengertian Rumus Dan Contoh
moztrip.com

Rumus Kecepatan Terminal Beserta Hukum Stokes Dan Contoh Soal
rumusrumus.com

Apa Itu Viskositas
rumushitung.com

Hukum Stokes My Physics
sitinorjanah.wordpress.com

Hukum Stokes Dan Viskositas Rumus Pengertian Dan Contoh
rumus.co.id

Http Yasmanrianto Staff Gunadarma Ac Id Downloads Files 59416 M12 Pdf

Rumus Viskositas Pengertian Viskositas Koefisien Dan Fakto
www.seputarpengetahuan.co.id

Pengertian Viskositas Pengaruh Contoh Dan Rumus Viskositas Dan Fluida Viskositas Fisika Terlengkap Pelajaran Sekolah Online
www.pelajaran.co.id

Viskositas Dinamis Dan Kinematis Pengertian Rumus Contoh Manfaat
materibelajar.co.id

Viskositas Pengertian Dampak Rumus Dan Contoh Lengkap
pakdosen.pengajar.co.id

Viskositas Fluida
studylibid.com

Viskositas Pages 1 12 Text Version Anyflip
anyflip.com

Contoh Soal Dan Pembahasan Viskositas Guru Ilmu Sosial
www.ilmusosial.id

Contoh Soal Dan Pembahasan Viskositas Guru Ilmu Sosial
www.ilmusosial.id

Viskositas Ditiniautami S Blog
ditiniautami.wordpress.com

Pengertian Viskositas Macam Rumus Dan Contoh Dalam Kehidupan Sehari Hari Diadona Id
www.diadona.id

Https Jurnal Unej Ac Id Index Php Jpf Article Download 8606 5862

Viskositas Dinamis Dan Kinematis Pengertian Rumus Contoh Manfaat
materibelajar.co.id

Doc Viskositas Apapunadadisini Apapunadadisini Academia Edu
www.academia.edu

6 Viskositas Dan Hukum Stokes Duniafisikaasyik
duniafisikaasyik.wordpress.com

Viskositas Pages 1 12 Text Version Anyflip
anyflip.com

Fisika Dasar Fluida
www.slideshare.net

Kimia Fisika Ii Viskositas
www.slideshare.net

Viskositas
id.scribd.com

Http Etheses Uinmataram Ac Id 3212 1 Khaeratin 20shoaliha 20160108011 Pdf

Kumpulan Contoh Soal Contoh Soal Viskositas Fluida
bakingupforlosttime.blogspot.com

Rumus Gaya Stokes Adalah Brainly Co Id
brainly.co.id

Viskositas Fluida
id.scribd.com

Berbagi Ilmu Viskositas
myblogthyfa.blogspot.com

Https Core Ac Uk Download Pdf 143963241 Pdf

Hukum Stokes Dan Viskositas Rumus Pengertian Dan Contoh
rumus.co.id

02 Fluida Statis
pdfslide.tips

Soal Dan Pembahasan Viskositas Guru Ilmu Sosial
www.ilmusosial.id

Viskositas Atau Kekentalan Pengertian Pengaruh Viskositas
fisikazone.com

Hukum Stokes
pdfslide.tips

Kekentalan Zat Cair
www.slideshare.net

Soal Viskositas Fluida Dan Pembahasannya Ayo Sekolah Fisika
www.ayo-sekolahfisika.com

Doc Viscosity Viskositas Docx Ayu Eka Mekar Sari Academia Edu
www.academia.edu

Hukum Stokes Kecepatan Terminal Ppt Download
slideplayer.info

Koefisien Kekentalan Ardra Biz
ardra.biz

Sains Is Fun Pengaruh Suhu Terhadap Viskositas
kuliahsains.blogspot.com

Pengertian Viskositas Jenis Rumus Faktor Sifat Pengukuran
pendidikan.co.id

Doc Viskositas Merupakan Efek Dari Transfer Momentum Molekul Triyono 093 Academia Edu
www.academia.edu

Soal Dan Pembahasan Viskositas Guru Ilmu Sosial
www.ilmusosial.id

Http Journals Itb Ac Id Index Php Joki Article Download 3974 2075

Kimia Fisika Ii Viskositas
www.slideshare.net

Hukum Stokes Kecepatan Terminal Ppt Download
slideplayer.info

Fluida Statis Dan Fluida Dinamis Asyik Belajar
asyikbelajar.com

Viskositas Bola Jatuh
www.slideshare.net

Kekentalan Zat Cair
www.slideshare.net

Hukum Stokes Dan Viskositas
www.utakatikotak.com

Doc Laporan Koefisien Kekentalan Zat Cair Wahdini Ramli Academia Edu
www.academia.edu

Soal Viskositas Fluida Dan Pembahasannya Ayo Sekolah Fisika
www.ayo-sekolahfisika.com

Menentukan Koefisien Viskositas Berbagai Fluida Menggunakan Tabung Kaca Bekas
id.scribd.com

Fisikawan Muda Hukum Poiseuille
yuliusfisikawan.blogspot.com

Fluida Statis Pengertian Rumus Contoh Soal Latihan
bacaboy.com

Viskositas Pengertian Dampak Rumus Serta Contohnya Lengkap Tutorialbahasainggris Co Id
tutorialbahasainggris.co.id

Fisika Rumus Fluida Statis Hidrostatika Rumus Matematika Fisika
rumusmatfis.blogspot.com

Http Digilib Its Ac Id Public Its Paper 41711 2113030036 Presentationpdf Pdf

Jurnal Viskositas
id.scribd.com

Https Media Neliti Com Media Publications 290895 Rancang Bangun Alat Ukur Viskositas Dala Fc63faee Pdf

Fisika Kelompok 4
www.slideshare.net

Https Jurnal Unimus Ac Id Index Php Jtm Article Download 614 666

Apa Itu Viskositas Dan Rumus Viskositas Berserta Satuannya Brainly Co Id
brainly.co.id

Laporan Viskositas Berbagai Larutan Docx Document
fdokumen.com

Viskositas Audina S Blog
erviaudina.wordpress.com

Contoh Soal Tegangan Permukaan Kapilaritas Viskositas Dan Hukum Stokes Soalfismat Com
soalfismat.com

Koefisien Kekentalan Ardra Biz
ardra.biz

Http Journals Itb Ac Id Index Php Joki Article Download 3974 2075

Hukum Stokes Dan Viskositas Pengertian Rumus Dan Contoh
moztrip.com

Pengertian Manfaat Macam Macam Rumus Viskositas Dan Laporan Viskositas
marketmedan.com

Pengertian Pengaruh Dan Rumus Viskositas Fisika
rumusrumus.com

Doc Praktikum Viskositas Fluida Shifa Fauziyah Academia Edu
www.academia.edu

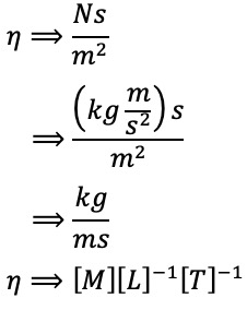
Dimensi Dari Koefisien Viskositas Suatu Cairan Kental Dinyatakan Dalam Dimensi Pokok Mas Dayat
www.masdayat.net

Kuman Fisika Flip Book Pages 51 100 Pubhtml5
pubhtml5.com

Viskositas Pengertian Rumus Materi Laporan Contoh Manfaat
rumus.co.id

Dimensi Dari Koefisien Viskositas Suatu Cairan Kental Dinyatakan Dalam Dimensi Pokok Mas Dayat
www.masdayat.net

Viskositas Pengertian Rumus Pengertian
cpengertian.blogspot.com

Http Etheses Uinmataram Ac Id 3212 1 Khaeratin 20shoaliha 20160108011 Pdf

Pengertian Viskositas Macam Faktor Konsep Dan Satuan
www.gurupendidikan.co.id

Viskositas Ppt Download
slideplayer.info

Koefisien Kekentalan Zat Cair
id.scribd.com

Rumus Viskositas
id.scribd.com

Hukum Stokes Dan Viskositas Pengertian Rumus Dan Contoh
moztrip.com

Viskositas Atau Kekentalan Pengertian Pengaruh Viskositas
fisikazone.com

Https Jurnal Unimus Ac Id Index Php Jtm Article Download 614 666

Apa Itu Viskositas
rumushitung.com

Viskositas Atau Kekentalan Pengertian Pengaruh Viskositas
fisikazone.com

Kumpulan Contoh Soal Contoh Soal Viskositas Fluida
bakingupforlosttime.blogspot.com

Kekentalan Zat Cair
www.slideshare.net

Kimia Fisika Ii Viskositas
www.slideshare.net

Hukum Stokes Kecepatan Terminal Ppt Download
slideplayer.info

Tugas Pendahuluan
studylibid.com

Pengertian Viskositas Jenis Rumus Faktor Sifat Pengukuran
pendidikan.co.id

Viskositas Audina S Blog
erviaudina.wordpress.com

Https Jurnal Unej Ac Id Index Php Jpf Article Download 8606 5862

close