Sangat Membantu

Rumus Konstanta Pegas


Contoh Soal Energi Potensial Pegas Dan Penyelesaiannya Soalfismat Com
soalfismat.com

Elastisitas Fisika Pengertian Rumus Hukum Hooke Dan Contoh Soal Pelajaran Sekolah Online
www.pelajaran.co.id

Panjang Pegas Mula Mula Adalah 2 Cm Setelah Diberi Beban Bermassa M Panjangnya Menjadi 9 5 Cm Brainly Co Id
brainly.co.id

Https Encrypted Tbn0 Gstatic Com Images Q Tbn 3aand9gcsbiy0rawgwcuuplvc7yfbzdqqo6e3ihiqklqrzhdd9rbebkoxs Usqp Cau
encrypted-tbn0.gstatic.com

Doc Benda Elastisis Bambang Gunawan Academia Edu
www.academia.edu

Hukum Hooke Ppt Download
slideplayer.info

Elastisitas Dan Hukum Hooke Rumus Contoh Soal
rumuspintar.com

Kelas X
fisikakontekstual.com

Rumus Elastisitas
www.slideshare.net

Https Encrypted Tbn0 Gstatic Com Images Q Tbn 3aand9gctc9fxpk4kq9gjlfygt5s8ep37fy4xqwv2tkaxij Myd2 Kqyj8 Usqp Cau
encrypted-tbn0.gstatic.com

Cara Menghitung Tegangan Regangan Dan Modulus Young Suatu Benda Myrightspot Com
www.myrightspot.com

Laporan Praktikum Fisika Tetapan Pegas
www.slideshare.net

Contoh Soal Elastisitas Dan Pembahasan
id.scribd.com

Pengertian Konstanta Pegas Rumus Satuan Dan Contoh Soal Fisika Sridianti Com
www.sridianti.com

Laporan Praktikum Pegas Fisika Dasar 1 Thinks Physics
www.thinksphysics.com

Hukum Hooke Rumus Bunyi Contoh Soal Pembahasan Lengkap
www.nesabamedia.com

Contoh Soal Hukum Hooke Dan Penyelesaiannya Soalfismat Com
soalfismat.com

Kelas 11 Fisika 2 Sri Handayani Pages 51 100 Flip Pdf Download Fliphtml5
fliphtml5.com

Contoh Soal Hukum Hooke Gurumuda Net
gurumuda.net

Pengertian Gaya Pegas Dan Contohnya 2020
jagoanilmu.net

Kumpulan Soal Dan Pembahasan Soal Ujian Nasional Un Fisika Sma Part 1 Gaya Konstanta Pegas Hukum Hooke Gammafis Blog
www.gammafisblog.com

Doc Soal Hukum Hooke Dan Pembahasannya Dherry Ara Academia Edu
www.academia.edu

Hukum Hooke Untuk Pegas Dan Susunan Seri Paralel Pegas Ayo Sekolah Fisika
www.ayo-sekolahfisika.com

Konstanta Pegas Sangat Bergantung Dari Beberapa Faktor
id.scribd.com

Soal Tentang Hukum Hooke Beserta Jawabannya Fokus Fisika
fokusfisika.com

Kelas X
fisikakontekstual.com

Rumus Periode Dan Frekuensi Pada Ayunan Dan Pegas Idschool
idschool.net

Gaya Pegas Pengertian Contoh Grafik Hukum Hooke Dasar Teori
www.dosenpendidikan.co.id

Pinter Pandai Soal 1 Sebuah Bola Besi Massanya Facebook
zh-cn.facebook.com

Bab 11 Elastisitas Dan Hukum Hooke
studylibid.com

Rumus Energi Potensial Pengertian Jenis Dan Contoh Soal
yuksinau.co.id

Konstanta Pengganti Pegas Identik Suksesprivat
les.suksesprivat.com

Panjang Awal Suatu Pegas Adalah 13 Cm Setelah Diberi Beban Bermassa 8 Kg Panjang Pegas Menjadi 62 Brainly Co Id
brainly.co.id

03 Konstanta Pegas
id.scribd.com

Prolog Materi Pengertian Konsep Rumus Persamaan Pegas Seri Zenius Net
www.zenius.net

Gaya Pegas Pengertian Rumus Konstanta Pegas Susunan
bacaboy.com

Menentukan Konstanta Suatu Pegas Dari Sebuah Grafik Soal Fisika
soalfisika85.blogspot.com

Pdf Rumus Elastisitas Pdf Andhiek Setiawan Academia Edu
www.academia.edu

15 Soal Elastisitas Dan Hukum Hooke Jawaban Pembahasan
soalkimia.com

Materi Gaya Pegas Rumus Contoh Soal Pengertian
www.cryptowi.com

Laporan Praktikum Fisika Dasar Tetapan Pegas
www.slideshare.net

Modul Rumus Soal Rangkaian Pegas Wardaya College
www.wardayacollege.com

Pada Percobaan Elastisitas Suatu Pegas Diperoleh Data Seperti Tabel Di Bawah Ini Dapat Disimpulkan Bahwa Nilai Konstanta Pegas Mas Dayat
www.masdayat.net

Elastisitas Benda
sumberbelajar.belajar.kemdikbud.go.id

Elastisitas Hukum Hooke Rumus Tetapan Pengganti Susunan Seri Parealel Pegas
ardra.biz

Hukum Hooke Elastisitas Fisika Pengertian Rumus Dan Contoh Soal
www.studiobelajar.com

Menghitung Dan Menentukan Nilai Konstanta Pegas
www.slideshare.net

Soal Dan Pembahasan Hukum Hooke Fisika Usaha321 Net
usaha321.net

Prolog Materi Definisi Prinsip Persamaan Pada Hukum Hooke Zenius Net
www.zenius.net

Rumus Getaran Pada Pegas
rumushitung.com

Kumpulan Soal Dan Pembahasan Susunan Pegas
www.edutafsi.com

Laporan Tetapan Pegas Dab Grafitas
www.slideshare.net

Modul Rumus Soal Hukum Hooke Wardaya College
www.wardayacollege.com

Sifat Elastisas Bahan Persamaan Gerak Harmonik Hukum Hooke Pegas Gaya Pemulih Ayunan Periode Frekuensi Fase Sudut
www.nafiun.com

Sistem Pegas Peredam Kejut Massa Taufiqur Rokhman
taufiqurrokhman.wordpress.com

Gaya Pegas Bunyi Hukum Rumus Contoh Soal
rumuspintar.com

Hukum Hooke Ppt Download
slideplayer.info

Pengertian Gaya Pegas Rumus Energi Rangkaian Dan Contohnya
pendidikan.co.id

Modulus Elastisitas Dan Hukum Hooke Beserta Contoh Dan Pembahasan
www.utakatikotak.com

Fisika Sma Pemahaman Hukum Hooke Dan Elastisitas
fisikasma233.blogspot.com

Rumus Elastisitas Fisika Dan Contoh Soal Elastisitas Fisika
rumusrumus.com

Konsep Dan Contoh Soal Elastisitas Dan Hukum Hooke Fisika Sma Kelas 11 Lakonfisika Net
www.lakonfisika.net

Rumus Elastisitas Fisika Dan Contoh Soal Elastisitas Fisika
materibelajar.co.id

Contoh Soal Dan Pembahasan Elastisitas Guru Ilmu Sosial
www.ilmusosial.id

Elastisitas Gaya Pegas
www.utakatikotak.com

Doc Bandul Sederhana Dan Pegas Tyas Bellap Academia Edu
www.academia.edu

Faktor Yang Mempengaruhi Periode Frekuensi Pegas Idschool
idschool.net

Pembahasan Soal Hukum Hooke Dan Elastisitas Gurumuda Net
gurumuda.net

Hukum Hooke Pada Pegas Rumus Dan Contoh Fisika Usaha321 Net
usaha321.net

Tentukanlah Konstanta Pegas Pengganti Tolong Dijawab Besertakan Cara Brainly Co Id
brainly.co.id

Menghitung Konstanta Pegas Karet Gelang Dan Karet Pentil
learnark13.blogspot.com

Hukum Hooke Pengertian Aplikasi Bunyi Rumus Contoh Soal
www.gurupendidikan.co.id

Rumus Elastisitas Fisika Tegangan Regangan Dan Hukum Hoke
passinggrade.co.id

Konstanta Gabungan Pada Susunan Pegas Adalah Brainly Co Id
brainly.co.id

My Life Konstanta Gaya Pegas
farhanalamsyachanas.blogspot.com

Susunan Seri Dan Paralel Pegas
id.scribd.com

Https Adoc Tips Download Getaran Pegas Seri Paralel Html

Soal Elastisitas Gaya Pegas
pdfslide.tips

Elastisitas
fisikakontekstual.com

Gaya Pegas Fisika
rumushitung.com

Sistem Pegas Peredam Kejut Massa Taufiqur Rokhman
taufiqurrokhman.wordpress.com

Contoh Soal Rangkaian Pegas Dan Pembahasan Pengertian
cpengertian.blogspot.com

Contoh Soal Energi Potensial Pegas Dan Penyelesaiannya Soalfismat Com
soalfismat.com

Rumus Osilasi Beserta Dengan Pengertian Dan Contoh Soalnya
rumus.co.id

Rumus Satuan Konstanta Gaya Pegas Ardra Biz
ardra.biz

Laporan Tetapan Pegas Dab Grafitas
www.slideshare.net

Https Encrypted Tbn0 Gstatic Com Images Q Tbn 3aand9gcq2xhzw Magwenl8rm482s4byfrfdjtmjxzgpxg8dgilsy4tkp Usqp Cau
encrypted-tbn0.gstatic.com

Hukum Hooke Sususan Pegas Fiska Kelas Xi Youtube
www.youtube.com

Bunyi Soal Rumus Aplikasi Hukum Hooke Elastisitas
www.yuksinau.id

Contoh Soal Fisika Elastisitas Perb
id.123dok.com

Rangkaian Listrik Seri Dan Paralel Pada Pegas Dan Resistor
blog.ruangguru.com

Rumus Periode Dan Frekuensi Pada Ayunan Dan Pegas Idschool
idschool.net

Https Encrypted Tbn0 Gstatic Com Images Q Tbn 3aand9gcsbiy0rawgwcuuplvc7yfbzdqqo6e3ihiqklqrzhdd9rbebkoxs Usqp Cau
encrypted-tbn0.gstatic.com

Blognya Waode Materi Dan Pembahasan Soal Elastisitas Dan Hukum Hooke
mellywaode.blogspot.com

Gaya Pegas Pengertian Rangkaian Rumus Contohnya Lengkap
seputarilmu.com

Beberapa Buah Pegas Identik Disusun Secara Berbeda Seperti Pada Gambar Di Bawah Berdasarkan Gambar Brainly Co Id
brainly.co.id

Elastisitas Dan Hukum Hooke Pengertian Sifat Rumus Dan Contohnya
soalkimia.com

Contoh Soal Susunan Seri Paralel Pegas Dan Penyelesaiannya Soalfismat Com
soalfismat.com

Konstanta Pegas Fisika Sma
fisikasma.xyz

Susunan Seri Dan Paralel Pegas Dan Konstanta Pengganti
www.edutafsi.com

Laporan Praktikum Fisika Dasar Tetapan Pegas
www.slideshare.net

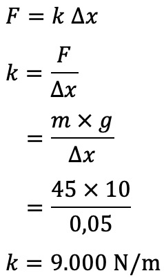
Seorang Siswa Memiliki Massa 45 Kg Bergantung Pada Ujung Pegas Sehingga Pegas Bertambah Mas Dayat
www.masdayat.net

Laporan Praktikum Fisika Dasar Tetapan Pegas
www.slideshare.net

Doc Judul Praktikum Menentukan Konstanta Pegas Pegas Hardi Rahayu Saputra Umri Academia Edu
www.academia.edu

close