Sangat Membantu

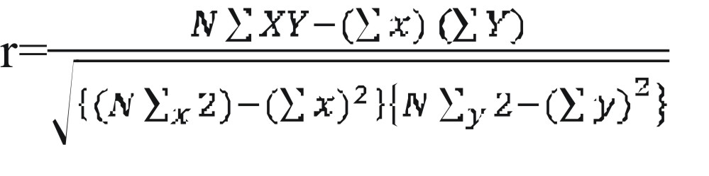
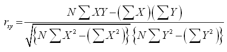
Rumus Korelasi Product Moment Dengan Angka Kasar


Validitas
www.slideshare.net

Semua Jenis Skripsi Beberapa Teknik Dalam Statistik
allofskripsi.blogspot.com

Doc Validitas Dengan Korelasi Product Moment Dengan Angka Kasar Jun Cha Academia Edu
www.academia.edu

Validitas Dengan Korelasi Product Moment Dengan Angka Kasar Ishaq Madeamin Blog
www.ishaqmadeamin.com

Pdf Evaluasi Pendidikan Roly Afriansyah Academia Edu
www.academia.edu

Cara Melakukan Analisis Korelasi Bivariate Pearson Dengan Spss Spss Indonesia
www.spssindonesia.com

Contoh Soal Dan Jawaban Koefisien Korelasi Product Moment Guru Ilmu Sosial
www.ilmusosial.id

Penjelasan Berbagai Jenis Uji Validitas Dan Cara Hitung Uji Statistik
www.statistikian.com

Teknik Korelasi Product Moment
id.scribd.com

Rumus Korelasi Pengertian Jenis Macam Macamnya Contoh Soal
rumus.co.id

Ppt Validasi Cct Irt
pt.scribd.com

Analisis Butir Soal
www.slideshare.net

Syarat Syarat Tes Yang Baik Ppt Download
slideplayer.info

Penjelasan Berbagai Jenis Uji Validitas Dan Cara Hitung Uji Statistik
www.statistikian.com

Penjelasan Berbagai Jenis Uji Validitas Dan Cara Hitung Uji Statistik
www.statistikian.com

Tehnik Validitas Dan Reliabilitas Instrumen Ppt Download
slideplayer.info

Rumus Korelasi Pengertian Jenis Macam Macamnya Contoh Soal
rumus.co.id

Produk Momen Korelasi Fifit Pitaloka Academia Edu
www.academia.edu

Hubungan Hasil Belajar Menggunakan Peralatan Dan Perlengkapan Ditempat Kerja Dan Minat Berwirausaha Dengan Hasil Belajar Memperbaiki Sistem Injeksi Bahan Bakar Diesel Pada Siswa Tingkat Ii Kompetensi Keahlian Teknik Kendaraan Ringan Smk Parulian 3
digilib.unimed.ac.id

Korelasi Product Moment Pearson Teorionline
teorionline.wordpress.com

Uji Validitas Dan Uji Reliabilitas Ppt Download
slideplayer.info

Kesimpulan Keputusan Yang Benar Data Valid Reliabel Ppt Download
slideplayer.info

Validitas Abdulloh Chakim Ppt Download
slideplayer.info

Kesimpulan Keputusan Yang Benar Data Valid Reliabel Ppt Download
slideplayer.info

Tes Dan Validitas Tes
www.slideshare.net

Validitas Oleh Nopem K S Ikip Budi Utomo Malang Ppt Download
slideplayer.info

Penjelasan Berbagai Jenis Uji Validitas Dan Cara Hitung Uji Statistik
www.statistikian.com

Arti Dan Rumus Validitas Eksternal Dalam Instrumen Penelitian
www.asikbelajar.com

Penjelasan Berbagai Jenis Uji Validitas Dan Cara Hitung Uji Statistik
www.statistikian.com

Validitas Dan Reliabilitas Anny
annymath.wordpress.com

Ppt Validitas Powerpoint Presentation Free Download Id 4313737
www.slideserve.com

Uji Validitas Dan Uji Reliabilitas Ppt Download
slideplayer.info

Validitas Dengan Korelasi Product Moment Dengan Angka Kasar
id.scribd.com

Https Encrypted Tbn0 Gstatic Com Images Q Tbn 3aand9gctgxkyxzchgwipucvluattkguyiiskpnsyngrbirxkatqd3pljc Usqp Cau
encrypted-tbn0.gstatic.com

Rumus Korelasi Pengertian Jenis Macam Macamnya Contoh Soal
rumus.co.id

Uji Validitas Dan Uji Reliabilitas Ppt Download
slideplayer.info

Rumus Korelasi Product Moment
id.scribd.com

Pdf Uji Validitas Dan Uji Reliabilitas Novitha Hood Academia Edu
www.academia.edu

Analisis Validitas Tes Objektif Ishaq Madeamin Blog
www.ishaqmadeamin.com

17549 Cara Mengetahui Validitas Alat Ukur
id.scribd.com

Validitas Macam Macam Validitas Ppt Download
slideplayer.info

Validitas Abdulloh Chakim Ppt Download
slideplayer.info

Validitas Abdulloh Chakim Ppt Download
slideplayer.info

Cara Melakukan Analisis Korelasi Bivariate Pearson Dengan Spss Spss Indonesia
www.spssindonesia.com

Penelitian Dan Evaluasi Pendidikan Cara Manual Analisis Validitas Butir Soal Bentuk Uraian
akbar-iskandar.blogspot.com

Http Staffnew Uny Ac Id Upload 132243651 Pendidikan S4 20pengujian 20instrumen Pdf

Uji Validitas Data Dengan Rumus Pearson Spss Konsistensi
www.konsistensi.com

Penjelasan Berbagai Jenis Uji Validitas Dan Cara Hitung Uji Statistik
www.statistikian.com

Doc Validitas Docx Rachak Jr Academia Edu
www.academia.edu

1qgh5 23ci151m

Cara Mengatasi Validitas Alat Ukur
dokumen.tips

Validitas Macam Macam Validitas Ppt Download
slideplayer.info

Uji Validitas Dengan Fungsi Correl Ishaq Madeamin Blog
www.ishaqmadeamin.com

Rumus Korelasi Product Moment
id.scribd.com

Statistika Pendidikan Unit 3
www.slideshare.net

Rumus Korelasi Pengertian Jenis Macam Macamnya Contoh Soal
rumus.co.id

Validitas Tak Lelah Belajar
taklelahbelajar.wordpress.com

Semua Jenis Skripsi Beberapa Teknik Dalam Statistik
allofskripsi.blogspot.com

Validitas Dan Realibilitas
www.slideshare.net

Penjelasan Berbagai Jenis Uji Validitas Dan Cara Hitung Uji Statistik
www.statistikian.com

Rumus Korelasi Pengertian Jenis Macam Macamnya Contoh Soal
rumus.co.id

Validitas Dengan Korelasi Product Moment Dengan Angka Kasar Ishaq Madeamin Blog
www.ishaqmadeamin.com

Arief1418 Pengertian Validitas Dan Reliabialitas
arief1418.blogspot.com

Doc Korelasi Product Moment Product Moment Correlation Oleh Sadriadi 10911005042 Labib Abdul Academia Edu
www.academia.edu

K O R E L A S I Adalah Teknik Korelasi Dengan Pearson Atau Dikenal Dengan Correlation Product Moment Pdf Document
fdokumen.com

Doc Uji Korelasi Anile Elin Academia Edu
www.academia.edu

Rumus Korelasi Pengertian Jenis Macam Macamnya Contoh Soal
rumus.co.id

Korelasi Product Moment Pearson Teorionline
teorionline.wordpress.com

Analisa Korelasi Product Moment Geograph88
geograph88.blogspot.com

Cara Melakukan Analisis Korelasi Bivariate Pearson Dengan Spss Spss Indonesia
www.spssindonesia.com

Validitas Dengan Korelasi Product Moment Dengan Angka Kasar Ishaq Madeamin Blog
www.ishaqmadeamin.com

Validitas Tak Lelah Belajar
taklelahbelajar.wordpress.com

Statistika Pendidikan Unit 3
www.slideshare.net

Uji Validitas Dengan Fungsi Correl Ishaq Madeamin Blog
www.ishaqmadeamin.com

Colle Baca Pinned على تويتر Cm Guys Ada Yg Punya Textbook Atau Jurnal Ttg Rumus Uji Validitas Pake Teknik Korelasi Product Moment Tp Yg Bahasa Inggris Soalnya Dosbimku Referensiny Harus
twitter.com

English Inside 2015 Unisba Analisis Kualitas Tes Dan Butir Soal
englishinside2015.blogspot.com

Kuliahe Triyus Di Uin Suka Yogyakarta Validitas Dan Reliabilitas Instrumen
triyusuin.blogspot.com

Doc Korelasi Product Momen Contoh Uji Statistik Amy Ndcan Academia Edu
www.academia.edu

Realibilitas Tes Objektif Dengan Fungsi Correl Ishaq Madeamin Blog
www.ishaqmadeamin.com

Rumus Korelasi Product Moment Docx
pt.scribd.com

Validitas Dengan Korelasi Product Moment Dengan Angka Kasar Ishaq Madeamin Blog
www.ishaqmadeamin.com

Tes Dan Validitas Tes
www.slideshare.net

Analisis Butir Soal
www.slideshare.net

Rumus Korelasi Pengertian Jenis Macam Macamnya Contoh Soal
rumus.co.id

Rumus Korelasi Pengertian Jenis Macam Macamnya Contoh Soal
rumus.co.id

Tes Validitas
pdfslide.net

Validitas Macam Macam Validitas Ppt Download
slideplayer.info

Doc Rumus Korelasi Product Moment Muhammad Hasanuddin Academia Edu
www.academia.edu

Validitas Dan Realibilitas Ppt Download
slideplayer.info

Menentukan Validitas Soal Dan Instrumen Simpel Pas
simpelpas.wordpress.com

Contoh Soal Dan Jawaban Koefisien Korelasi Product Moment Guru Ilmu Sosial
www.ilmusosial.id

Rumus Korelasi Pengertian Jenis Macam Macamnya Contoh Soal
rumus.co.id

Menentukan Validitas Soal Dan Instrumen Simpel Pas
simpelpas.wordpress.com

Contoh Soal Dan Jawaban Koefisien Korelasi Product Moment Guru Ilmu Sosial
www.ilmusosial.id

6 Korelasi Dan Regresi
www.slideshare.net

Http Staffnew Uny Ac Id Upload 132243651 Pendidikan S4 20pengujian 20instrumen Pdf

17549 Cara Mengetahui Validitas Alat Ukur
www.scribd.com

Rumus Korelasi Product Moment Dengan Simpangan 7 Hadi Sutrisno 1998 Metodologi Course Hero
www.coursehero.com

Validitas Dengan Korelasi Product Moment Dengan Angka Kasar Ishaq Madeamin Blog
www.ishaqmadeamin.com

Bahan Ajar Minggu Ke 14 Analisis Instrumen
studylibid.com

Http Staffnew Uny Ac Id Upload 132243651 Pendidikan S4 20pengujian 20instrumen Pdf

close